土木在线论坛 \ 暖通空调 \ 中央空调 \ 诱导型变风量末端装置

诱导型变风量末端装置

发布于:2023-03-03 14:06:03 来自:暖通空调/中央空调 [复制转发]
一、诱导型变风量末端装置基本结构

诱导型变风量系统是一种半集中式空调系统。经过集中空调器处理的一次风由风机送入设在各空调房间内的诱导型末端装置中。一次风进入诱导型末端装置,经喷嘴高速射出(20~30m/s)。由于喷出气流的引射作用,在诱导型末端装置内局部区域形成负压,室内空气被吸入,与一次风混合后从出风口送出。

诱导型变风量末端装置由箱体、喷嘴、调节风阀等部件组成。图3-6是某种诱导型变风量末端装置示意图。

图片
二、诱导型变风量末端装置基本形式

诱导型变风量末端装置的基本形式见表3-3。

图片

三、诱导型变风量系统特点

诱导型变风量系统具有变风量系统的所有优点,而且可以在较小的一次风量下仍能保持良好的热舒适性。诱导型末端装置的性能指标之一是诱导比n。对于结构形式确定的末端装置,在一定风量范围内,诱导比是定值。暖通设计杜老师提醒:在工程中,可以通过改变进口压力、进口风速、下游的压力损失和在诱导口设置风阀等措施达到调节诱导比的目的。

图片

在供冷模式时,与其他系统相比,诱导型变风量系统具有下列优点:

(1)适合于送风温度高于9℃的低温送风变风量空调系统;

(2)当次风量被调节到设计风量的20%时,诱导型变风量末端装置的总送风量仍能达到设计一次风量的60%左右,它允许集中空调器在比其他形式的变风量系统更小的循环风量下工作。这种变风量系统尤其适用于部分负荷情况下运行以及在室内无人的情况下仍要维持一定室内空气温度的场合﹔

(3)与单风道节流型变风量系统比较,诱导型变风量系统能向房间提供足够的循环空气量,能确保室内空气充分混合,保持良好的气流组织。

在供热模式时,节流型变风量末端的再热装置将对设计风量的30%~40%的一次风量进行再热,产生冷、热抵消现象,而诱导型变风量系统最小只需将20%左右的一次风进行再热。该系统还可回收吊平顶内照明设备等的散热量。用吊平顶内空气与一次风进行混合,可延迟再热盘管工作,降低再热能量消耗。

图片
四、诱导型变风量末端装置性能参数 (1)诱导型末端装置一次风量与总送风量关系

诱导型末端装置总送风量是一次风量和诱导风量之和。装置的诱导比是入口静压、入口风速和下游压力损失三个变量的复合函数。入口静压越高,入口风速越低,下游的压力损失越小,诱导比就越大,即总风量通常比-一次风送风量大很多。

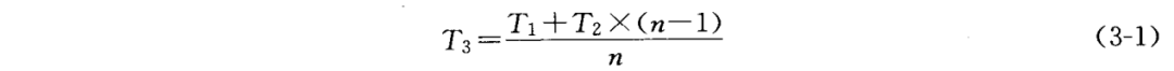
(2)诱导型变风量末端装置送风温度确定

诱导型变风量末端装置的送风温度介于一次风进风温度和被诱导空气温度之间。其送风温度的计算公式为:

图片

式中:

T1——一次风进风温度,℃;

T2——被诱导空气温度,℃;

T3—送风温度,℃;

n——末端装置诱导比。

(3)诱导型末端装置下游压力损失和入口静压的确定

诱导型变风量末端装置下游压力损失是指离开末端装置后的空气流过下游风管及送风散流器的阻力损失。末端装置下游阻力损失一般在20~60Pa范围内,标准数值为30Pa,当下游阻力非30Pa时,应对诱导型变风量末端装置的总送风量进行修正。

诱导型变风量末端装置入口静压需保证一次风能够克服末端装置中喷口等装置内部阻力和末端装置下游风管和送风散流器等的阻力损失。入口静压值应根据产品生产厂的样本资料进行选型计算确定,工程上推荐的静压选择范围是150~250Pa,此入口静压值比其他类型末端装置的入口静压值稍大些。

图片


本文来源于网络,如有侵权,请联系删除

知识点:诱导型变风量末端装置

相关推荐:

空调变风量末端装置


全部回复(0 )

只看楼主 我来说两句抢沙发
这个家伙什么也没有留下。。。

中央空调

返回版块

30.71 万条内容 · 848 人订阅

猜你喜欢

阅读下一篇

温湿度独立控制空调系统及应用

回帖成功

经验值 +10