土木在线论坛 \ 暖通空调 \ 制冷技术 \ 如何打造高效制冷空调机房?

如何打造高效制冷空调机房?

发布于:2023-03-02 17:29:02 来自:暖通空调/制冷技术 [复制转发]

随着双碳政策的发展,高效机房的应用范围越来越广,那么如何打造高效机房?


一、高效机房解决方案流程

图片


二、建筑空调负荷动态全年模拟分析

通过能源模拟分析软件,动态模拟建筑空调全年8760H负荷,了解和分析全年空调负荷特性,包括空调逐时负荷、空调峰值负荷、空调负荷比重分布等重要信息。

图片

以办公室建筑为例,满载负荷占比时间极少,主要运行集中在40%-60%负荷段。


三、系统优化及设备选型

1、水利优化

 · 流程优化、设计平衡

主要设备容量及配置比选,系统流程确定,确保设备出力平衡。例如不同型号等压降设计、不同支路等压降设计。

 · 水力核算、控制压降

对系统进行详细水力计算,准确控制设备、阀组及管路压降,保证系统管路水力平衡,控制最不利系统压降。例如选用低压降主机、低压降止回阀、过滤器,适当采用45度弯头和顺水三通,适当放大管径等。

图片
图片

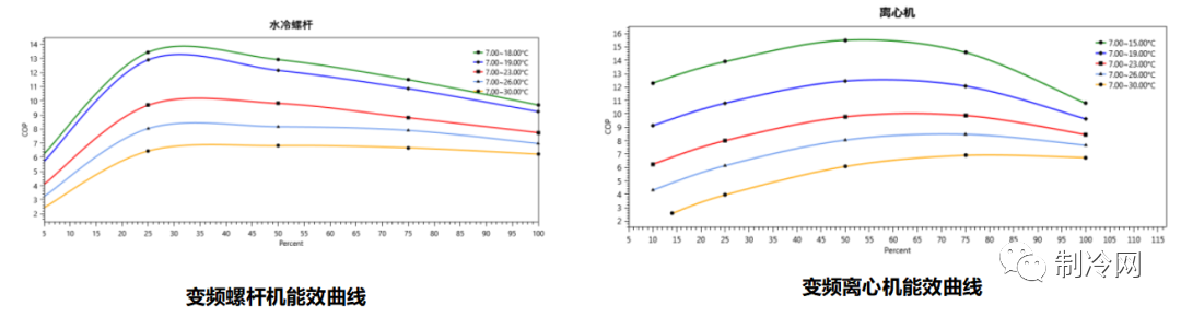
2、主机选型

· 能效:设计工况、全年运行工况10-100%负荷能效选型;

· 压降:蒸发器、冷凝器在设计工况下的压降;

· 驱动方式:变频驱动、直流驱动、磁悬浮驱动;

· 压缩方式:离心、螺杆;

·其他条件:重启时间、是否变流量机组、电气条件、安装条件、变频驱动应控制谐波干扰。

图片

3、冷却塔选型

 · 项目所在地室外设计湿球温度、典型气象年湿球温度分布;冷却水处理逼近度;

 · 冷却塔在设计工况、实际运行典型工况电脑选型;热力性能经过CTI认证;

 · 驱动:变频驱动、直流驱动;风机:高效风机;高风电比;谐波系数≤5%;

· 布水器确保冷却水量在30%-100%变化时均匀布水;

· 抗风等级、节水、防火性能;现场布置位置、与主导风向关系;

图片

4、水泵选型

 · 系统水力计算-扬程;

 · 供回水温差-流量;

 · 水泵汽蚀余量-系统汽蚀余量;

 · 水泵高效率-设计工况点在高效区间;

 · 泵头效率、电机效率;

 · 水泵形式:双吸泵、单吸泵;

 · 变频电机驱动、谐波处理;

 · 水泵设计工况、变转速工况性能曲线;

 · 多台泵并联,不同台数泵运行时运行工况分析;

图片

四、系统能效模拟

格力中央空调系统能效仿真平台

 · 针对不同湿球温度条件下不同负荷工况,匹配主机、冷冻水泵、冷却水泵、冷却塔运行工况,通过模拟组合和能效比较,确定最优运行模式组合,并确定全年运行策略。

 · 根据全年8760H空调负荷、对应环境湿球温度和运行策略,模拟全年运行能效。

图片
图片
图片

五、精准智能控制

1、高效机房群控设计

 · 以冷机能效特性为核心,解决制冷系统能效耦合问题,实现冷却水泵、冷却塔风机、冷机的能耗之和最低;

 · 按需调节冷机台数及出水温度,降低机组能耗;

 · 按需调节冷冻水泵频率,降低水泵能耗;

 · 按需调节冷却塔风机频率,均匀布水变频运行。

图片

六、工程实施优化

1、BIM三维技术

 · 通过BIM三维建模技术指导现场施工,可大幅提升设计与现场施工的一致性;

 · BIM模块化预制可实现场外基础构建施工,现场无明火拼装,缩短整体施工周期。

图片

2、运输规划与安装施工

 · 提前规划设备进出场路线,保证设备运输进场效率,减少重复运输;

 · 配备现场专家指导施工,确保施工按设计要求完成;

图片

3、节点检查、过程控制

 · 对安装施工过程关键工艺进行提前交底、关键节点参与指导和检查,在系统安装符合规范的前提下,确保系统水力平衡和压降可控,确保高效机房配套电气系统、智能控制及能效监测系统设备、管线安装符合要求。

七、调试与跟踪

1、调试运维服务

 · 在系统运行前,对机房施工进行技术督导,对辅助设备的质量和技术参数进行审核等;

 · 在系统投入使用后,配套良好的售前售后服务,根据系统负荷运行特点,跟踪负荷和设备效率,指导系统调适。

图片

2、调试内容:

 · 单机调试:负责主机等设备调试;

 · 联合试运转调试:水系统水力平衡调试和阀门的设定,各种模式的联合试运转,水系统过滤器清洗;智能控制系统按照控制逻辑逐一运行检查;

 · 试运行调适:结合运行负荷、设计指标对系统设备及关键参数进行优化设定,检查各设备及系统参数是否符合要求;对智能控制系统的参数设定、步程、裕度进行调整;

 · 舒适性指标测试和调试:可协助客户进行空调区域温度、湿度、洁净度、风速、正负压、噪音测试和调试;

 · 响应性指标测试和调试:冷热源机房供回水温度、压力等参数达到设定值所需时间,主机、水泵、换热器出力测试和调试;智能控制系统响应性测试和调试;

 · 能效指标测试和调试:对系统实际能效数据与模拟分析数据进行对比分析,对系统进行进一步调适;远程监测系统能效和关键参数,按需干预,以全年能效指标进行考核;

八、智慧检测诊断

1、能效维持

 · 系统节能性运维

主机、水泵、冷却塔及管路系统按照节能性运维标准进行维护保养,确保设备保持高效状态。

 · 智能控制及监测系统维护

对智能控制系统、监测系统定期进行维护,确保智能控制的精准性和能效监测系统数据准确性。

 · 远程监测、能效预警

通过系统运行数据的远程监测,能效对标,及时对系统影响能效的因素进行预警处理。

 · 云端分析持续调优

通过对系统运行数据进行人工智能分析,给出系统优化运行建议和改进措施。

2、高效机房数据管理平台

3、冷站监测

· 实时运行情况:在不同工况下分别实时动态显示机房运行参数。

· 故障报警:设备出现故障时,界面中的相应位置会高亮闪烁显示并发出报警提示音。

4、专家诊断

· 能效优化:建立设备健康运行分析模型,对空调设备开展智能化健康度分析与节能诊断,针对不合理环节采取对应解决方案,提升设备运行能效。

· 诊断建议:自动生成相应的综合诊断建议,以及相应的诊断报告。



知识点:如何打造高效制冷空调机房?

相关推荐:

数据中心高效制冷技术及应用



全部回复(0 )

只看楼主 我来说两句抢沙发
这个家伙什么也没有留下。。。

制冷技术

返回版块

14.67 万条内容 · 883 人订阅

猜你喜欢

阅读下一篇

暖气片与地暖混装

有人经常问既然地暖有地暖的好处,暖气片有暖气片的优点,为什么不混装呢? 实践当中可以这样做! 如下为混装的系统图。

回帖成功

经验值 +10