土木在线论坛 \ 道路桥梁 \ 桥梁工程 \ 主被动结合 实现桥梁多角度防船撞管控

主被动结合 实现桥梁多角度防船撞管控

发布于:2023-02-14 13:34:14 来自:道路桥梁/桥梁工程 [复制转发]
图片

奥克兰海湾大桥


世界各国桥梁建设的高峰期,依时间先后分别发生在美国、欧洲、日本和中国。这些时期修建的桥梁构成了各国交通系统的关键环节。但伴随着桥梁建设过程,跨越水上航线的桥梁结构船撞问题突出,导致的桥梁损伤、倒塌危害巨大,船撞风险在桥梁结构规划、设计以及运营全寿命过程中不可忽视。无论是大跨缆索承重桥梁的桥塔结构,还是梁桥、拱桥等的墩台,对河流和海洋环境都有一定程度的影响。同时通航船只对桥梁的撞击作用也是跨河、跨海桥梁面临的一大威胁。


桥梁撞击问题是国内外既有和在建桥梁工程长期面临的问题。而大跨桥梁等复杂结构的灾变和防控问题研究,也被列入了2006年国务院颁布的《2006-2020年国家中长期科学和技术发展纲要规划》中。随着桥梁船撞事故被越来越重视,桥梁船撞相关的研究也逐渐增多。一方面要关注船撞作用下的结构响应,另外防撞技术和管理养护也是一个重要研究方面。


“基于性能”为规范与标准提供思路


桥梁船撞规范与标准现况


美国道路工程师协会(AASHTO)于1991年编写的《公路桥梁船撞设计指南》(该指南于2009年进行了修订),其专门针对美国内河桥梁提出了基于风险的船撞设计技术标准和设计方法。1996年美国铁路工程协会(AREMA)出版了《防撞保护系统设计规范》。欧洲用于指导桥梁船撞设计的规范是1997年出版的欧洲统一规范中的Eurocode1.2.7分册。我国第一部专门的船撞设计指南是《重庆市三峡库区跨江桥梁船撞设计指南》。中国公路学会2018年发布了《公路桥梁防船撞装置技术指南》,以此来规范公路桥梁防船撞装置的技术要求,提升桥梁防船撞产品的质量水平。


中、美、欧规范的船撞桥条款比较中,美国桥梁船撞设计指南全面采用了基于风险的设计思想,方法系统化,但具体规定有待完善,如投资效益分析条款实际可操作性不强。欧洲船撞设计规范虽考虑到桥梁船撞是风险事件,编写时也考虑到了失效概率问题,但船撞力的确定方法过于简化。重庆市桥梁船撞设计指南与美国、欧洲规范主要思路一致,均是引用风险分析方法。我国行业内将桥梁按重要性分为A、B、C三类的前提下,根据船撞重现期来分级设定桥梁船撞设防标准,有详细的船撞力计算公式。但三种规范计算模型均采用静力方法,不能考虑撞击的动力效应。


“基于性能”的设计方法近年来在土木工程领域得到了广泛研究和应用,最早体现在结构抗震设计方面。《重庆市三峡库区跨江桥梁船撞设计指南(DBJ/T50-106-2010)》也尝试去实现“基于性能”的设计思想,尽管某些方面还有待完善,但给三峡库区新桥建设和旧桥防撞加固设计、施工提供了依据,也为交通部正在着手编制的《公路桥梁船撞设计指南》提供了借鉴。


概率模型研究及船撞力确定


近些年国内外专家学者对船撞桥梁发生的概率做了大量的统计研究工作,并形成了相关的概率计算模型和方法。典型的船撞桥梁概率模型包括:AASHTO规范模型、Larsen模型(也称IABSE模型)、欧洲规范模型、KUNZI模型、三参数路径积分模型等。


图片

图1 欧洲规范中的船-桥碰撞概率模型图

图片

图2 KUNZI模型图

图片

图3 三概率参数积分路径模型图


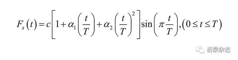
船舶撞击桥梁后,其严重程度与船撞力的大小密不可分。目前,国际上提出了多种船舶撞击力的简化估算公式,如AASHTO 规范公式、欧洲规范公式、我国规范公式等,其实质均为等效静力分析方法。由于现有规范中力学计算模型均采用静力方法,不能考虑撞击的动力效应。通过简化桥梁冲击荷载时程分析模型,以预测桥梁在船舶撞击下的动态响应。其简化模型采用抛物线表达式修正的半正弦波函数,来捕捉冲击力时程的上述特征。函数的形式如下:

图片


该模型的有效性在桥梁模型案例分析中得到了验证。该作者还以某连续梁桥为例,进行了接触碰撞反应与撞击力时程响应分析,并将修正半波正弦荷载模型的响应求解误差分为3类,讨论了这3种误差对结构响应的影响大小。


主动引导航行 被动防撞设施配套


按船撞桥的部位不同,桥梁防船撞的任务大体可以分为:防御船撞通航孔主墩、防御船撞非通航孔的桥墩、防御船撞桥梁的下弦三大类。


对于通航桥梁来说,“一跨过江,主槽无墩”是解决船撞桥梁最彻底的办法,但大多数桥梁需设置不同类型的防护结构。这些桥梁防船撞设施,一般分为主动防撞设施和被动防撞设施。主动防撞设施包括航标、桥涵标及相关警示标志、导航系统、预警系统等,用以引导船舶沿正确航道行驶。被动防撞设施通常采用桥梁自身抗撞、附着式防撞、独立防撞设施等方式,避免损失或减少损失。常见被动防撞设施可见表1。

图片


另外,柔性防船撞装置是新一代的防船撞设施,其核心组件是内、外钢围和防撞圈,如图4所示。以防撞圈为主要元件的柔性防撞装置,能减低船撞力,延长撞击历时,化集中力为分布荷载,使船头尽早转向,带走比较多的动能,从而达到该装置的最高效果——“三不坏”——“船不坏、桥不坏、装置不坏(简单维修后继续使用)”。现已应用在湛江海湾大桥、象山港跨海大桥、三门湾大桥等。目前防撞元件已经从弹性和弹塑性防撞元件,发展到黏滞性高耗能防撞元件。黏滞性高耗能复合防撞元件与弹性外钢围等组成的防撞装置,被撞后消耗掉大部分撞击能量并能够恢复,多次使用。


图片

图4 柔性防船撞设施


新材料应用研究中,纤维增强聚合物(FRP)蒙皮泡沫填充格构复合材料防撞体系(FLCBS)能有效减小冲击力并延长冲击过程,如图5所示石臼湖大桥的分析结果表明了FLCBS的优越性能。钢-泡沫铝填充材料的防撞钢套箱装置安装于斜拉桥桥塔下部的措施,也可保障桥梁使用的安全。而通过UHPC墩柱的落锤冲击试验分析受压墩柱的冲击响应和破坏形态,为UHPC材料应用于桥墩防撞设计提供了参考。


图片

图5 速度为1m/s时正面碰撞冲击力时程


对于辅助墩、过渡墩和水中引桥墩等非通航孔桥墩来说,自身承受水平力的能力较差,在偏航的船撞作用下极易破坏。非通航孔桥梁通常采用拦阻索系统阻止船舶靠近,以避免发生碰撞。现已应用拦阻索系统的有杭州湾跨海大桥、日本本州四国连络桥等。


船舶撞击桥梁上部结构是船撞桥事故的种类之一。在上部结构防撞方面,川槎大桥通航孔的钢桁架结构防撞限高架,属于国内首例水上钢结构限高防撞工程,见图6。该工程案例属于刚性方案,它与拉索结构型式的柔性方案相比,从拦截效果、造价及后期维修方面都具有更多优势,适用于桥梁跨度较小的河道。拉索结构型式限高架上部结构轻便,适用于水域较宽的河道。


图片

图6 川槎大桥防撞限高架实景图片


智能化管控桥梁运营安全


为了杜绝桥塌、船沉、人亡的灾害性事故,桥梁在运营期间除设置必要的防船撞设施外,还须清楚船撞桥事故的原因,提高安全意识。分析总结运营期间桥梁船撞事故的原因,可归结为人员失误、船舶设备故障、 相关部门管理不当、桥梁自身问题、自然环境恶劣五类原因。除自然环境不可控制外,前四类都与人的能动性有关,只是表现形式不同。由此可见,桥梁管理者、船舶拥有者和驾驶人员三者责任重大。三方均有所作为、提高认识,才可避免或减轻船撞桥的风险。因此,宜从航道、航行管理、人员培训、桥梁管理等方面采取助航和预警措施,以降低船撞桥梁几率。


基于模糊逻辑的船桥碰撞预警方法,可保证桥梁运营的安全性,该方法综合考虑了船舶特性、桥梁参数和自然环境。建立了包括输入层、模糊推理层和输出层的三层框架(见图7),将碰撞风险分为临界条件和自然环境两部分。从船舶位置、船舶轨迹方向、船舶与桥梁的距离、船舶速度等方面,分析了船舶与桥梁的碰撞情况。这些因素与自然环境一起作为输入变量。然后通过引入船-桥碰撞条件,对船-桥碰撞过程中的船舶细节和桥梁参数进行了考虑和模糊化,建立IF-THEN规则,进行模糊推理,得出船舶与桥梁的碰撞风险,船桥碰撞风险评估的模糊逻辑盒如图8所示。


图片

图7 基于模糊逻辑的船桥碰撞风险模型

图片

图8 船桥碰撞风险评估的模糊逻辑盒


主动安全防护系统、复合防撞及报警系统、可追溯式监控系统三种智能化桥梁管理系统,通过主被动结合的方式,可实现对船撞桥事故的全方位、多角度管控,为桥梁防撞提供了有益思路。


桥梁使用过程中除了要加强VTS监管、有效监控船舶的动态、加设预警及智能化桥梁管理系统之外,还要从以下几方面做好防撞工作以确保运营安全:


①完善航道交通管理设施,规范交通秩序。

② 积极研制新型防船撞装置,减少事故损失。

③ 相关部门的规范管理和船舶的安全驾驶。

④ 注重桥梁质量检测维护,延长桥梁使用寿命。


另外,运营过程中,防船撞设施作为重要的桥梁附属结构,在满足防撞功能的前提下,应最大限度地与周围环境协调一致,力争做到“一桥一景”,以丰富桥梁美学的内涵。


船撞桥问题属于典型的交叉学科,船撞桥事故的发生因素涉及人、船舶、通航条件和环境、管理等多个方面。为了从根源上解决这一安全隐患,除了规范航道管理、谨慎通行以外,桥梁设计过程中还要采用合理的船舶撞击力设防标准,加强结构设计、开发新型防撞装置和智能监测防控系统,因地制宜、多管齐下才能切实维护好通航水域的桥梁安全和桥区水域的水上交通安全。未来还需进一步深耕的研究包括:


1. 现行规范中桥梁船撞部分条款需进一步完善。如规范计算模型均采用静力方法,不能考虑撞击的动力效应。这方面的深入研究和成果积累,将为规范相应条文进一步优化做准备。另如,对船舶撞击作用,我国公路规范划分为内河船舶和海轮两类。对3000t(3000DWT)江海直达的船舶,依据两类表格查的结果分别为1400kN和19600kN。此船在船速、船重都不改变的情况下,撞击力本也不会改变,但结果相差十多倍,让设计者无所适从。


2. 对桥梁撞击事故中人为因素和组织因素引起的因果概率分析,仍缺乏数据和具有不确定性。为得到可靠的结果,需进一步考虑不确定性的概率推理方法,并建立国内桥梁船撞安全评估数据库。


3. 要从新材料、新工艺、新结构及结构自修复等方面实践“三不坏”设计理念,研制新型船桥防撞装置和智能防控系统,为桥梁构筑多道防护屏障。如泡沫铝、FRP等应用于桥梁防船撞及桥梁加固方面的研究已经开始,进一步的系统研究需加强。


4. 基于性能的桥梁防船撞设计理论研究。即基于性能的设计理念,意味着要考虑寿命期内的风险、投资效益和桥梁拥有者的决策等新理念。比如,允许设计者或桥梁所有者根据结构物的重要性和用途选择目标性能水平,由不同性能目标提出相应的设防标准,以使结构具有预期功能。

内容源于网络,旨在分享,如有侵权,请联系删除


相关资料推荐:

固定式复合材料桥梁防撞设施 桥梁防撞护舷 防船撞装置

https://ziliao.co188.com/p63235131.html



知识点:主被动结合 实现桥梁多角度防船撞管控



全部回复(2 )

只看楼主 我来说两句抢地板
  • 阿巅2019
    阿巅2019 沙发

    非常不错的资料,谢谢分享。。。。

    2023-02-16 10:11:16

    回复 举报
    赞同0
  • 内德维德
    内德维德 板凳

    不错的资料,谢谢分享。。。。

    2023-02-15 10:00:15

    回复 举报
    赞同0
这个家伙什么也没有留下。。。

桥梁工程

返回版块

19.44 万条内容 · 655 人订阅

猜你喜欢

阅读下一篇

长大桥梁钢箱梁疲劳养护现状及关键技术

近年来,得益于国家宏观政策的引导以及全社会的关注和投入,我国桥梁养护技术得到了快速提升和发展。从初期的“重建轻养”到目前的“建养并重”,迎来了新的发展局面。目前,我国长大桥梁管养工作仍面临一系列矛盾和挑战。一方面,日益快速增长的交通量与桥梁养护技术的研发相对滞后之间,矛盾问题突出;另一方面,我国桥梁的“老龄化”问题将会随着桥梁建造数量和服役时间的增加,逐步凸显。今后,如何养好一座大桥,充分发挥桥梁的社会经济价值,降低桥梁全寿命周期养护成本,是桥梁养护管理工作者目前面临的重大技术挑战。

回帖成功

经验值 +10