土木在线论坛 \ 道路桥梁 \ 桥梁工程 \ 增强抗震性能的有效工具

增强抗震性能的有效工具

发布于:2023-02-08 15:18:08 来自:道路桥梁/桥梁工程 [复制转发]
图片


地震对桥梁结构的威胁最大,每次发生后,公路桥梁的设计规范都会被重新修订。例如在日本,阪神地震(1995年)和东北大地震(2011年)事件之后,公路桥梁的设计规范被修改了几次,其中包括桥梁的最大允许损失量。但是目前仍存在许多由旧的规范设计的桥梁。这些桥梁的抗震性能需要通过新的抗震设计规范标准进行评估。如果抗震性能不理想,应对现有的桥梁进行加固改造。为此,许多阻尼器,例如流体黏滞阻尼器、固体黏弹性阻尼器、滑动摩擦阻尼器、ADAS阻尼器、屈曲约束支撑(BRB)等都正在抗震设计中使用。这其中,BRB是设计工程师们常用的一种阻尼器。值得注意的是,BRB已被证明在耐用性和可靠性方面具有优势。


BRD阻尼器的力学性能


BRB仅使用于建筑抗震设计,但自1988年首次被使用以来,已逐步开发用于桥梁抗震设计中。对钢拱桁架桥进行分析研究发现,其中的斜向构件和横向支撑构件可以由BRB代替。该方法不仅可以解决抗震的设计问题,而且还可以改造现有的钢桁架桥。从以前的研究中可以看出,BRB通常以这样的方式使用,即它们可以取代桁架桥的部分构件。


屈曲约束支撑(BRBs)通常被认为是属于支撑系统中的一部分,而不是抗震设计中阻尼系统的一部分。因此,可以把BRB看作独立的构件,或者是一种外部的阻尼器,而不再作为支撑系统或结构中的一部分。在本文所研究的案例中,把这种阻尼器称为屈曲约束阻尼器(BRD)。BRD与BRB具有相同的特性和设计过程。它们都属于金属阻尼器,其工作原理都是基于钢的塑性及屈服准则。


图片

图1 带有非屈服部分的屈曲约束阻尼器(BRD)


为了使用BRD增强桥梁的抗震性能,应考虑设计参数,如BRD的长度、横截面积、位置和倾斜度。关于BRD的长度,文献中有一些研究。对BRD的整个模型进行了分析和实验研究,其中包括屈服部分和刚性部分。屈服芯的长度与BRD的总长度之间的比值取为0.20.4,并且轴向应变高于3%。对于普通的BRB,长度比通常在0.6~0.8之间变化,轴向应变为1%~2%。因此,在两种情况下研究了BRD的屈曲载荷:屈服芯放置在BRD的中间,以及屈服芯放置在BRD的一端。除此之外,还比较了BRD消耗的能量与减少的屈服部分长度和传统BRD消耗的能量。研究表明,当较短的屈服芯放置在BRD的一端时,可以获得更高的屈曲能力。因此,短芯的BRD比传统BRD的能量吸收能力高出1.3倍。


随着屈服芯长度的减少,BRD上的塑性应变增加,其能量吸收能力变得更大。因此,BRD可以有效地维持结构的抗震性能。尽管先前已经研究过BRD屈服芯长度的有效性,但是尚未评估其在实际地震条件下,对现有桥梁的抗震性能的影响。此外,还没有评估其他参数的有效性,例如BRD屈服芯的倾斜度和横截面积。因此,本研究将考虑BRD设计参数的有效性,例如BRD的长度、横截面积、位置、倾斜度,对现有钢桁架桥的抗震性能的影响。


建立桁架桥的分析模型


无BRD的抗震模型


以跨度为74.4m的单跨简支钢桁架桥为例,桥面板为钢筋混凝土结构,宽度为10.6m,厚度为0.2m。钢材为SM490Y和SM400。本研究未考虑混凝土桥面板的损坏,因此,采用简化的弹性模型来考虑动态分析中的空间刚度和惯性。


图片

图2 桁架桥模型


在ABAQUS中,采用B33型三维梁单元。10个有限单元用于横向支撑的每个构件,5个用于其他桁架构件。每个桁架构件的节点被定义为完全刚性连接,节点处的约束类型对桥梁的动态响应几乎没有影响。混凝土桥面采用S4R型壳单元建模。桥面板与下面的梁进行刚性连接。该模型总共使用了1180个梁单元和168个壳单元。


图片

图3 新泻地震波


采用隐式动态分析方法,其中动态分析方程中使用的最大时间增量为0.03s。采用瑞利阻尼,参考模型的前两阶主振模态,假设混凝土桥面板的阻尼比为0.03,钢构件的阻尼比为0.02。


图片

图4 受损构件的应力时程分析结果


本研究未考虑人群及车辆荷载,但根据日本规范考虑了荷载分布系数,分别取1.7和1.5来表示桥梁中的非结构构件的质量,及螺栓的质量。使用最大加速度1.164g的新泻地震波作为输入波,评估桥梁的抗震性能。该地震波比2级(II型)设计地震波的强度更大。需要注意的是,规范中的 2级(II型)地震作用,通常有三个方向的地震波用于公路桥梁的抗震设计,其中最大的加速度为0.828g。


现有的桥梁最初都是根据旧的抗震设计规范进行设计,当时采用的还是1995年阪神地震前的中等强度的地震波,然而到目前为止尚未对现有桥梁进行抗震改造。通采用新泻地震时的加速度值,以及当前日本抗震设计规范的标准来评估现有桥梁的抗震性能。为此,需要采用非线性时程分析方法。非线性时程分析可以提供更多的信息来预测损伤量,从而评估地震造成的任何风险,并且非线性时程分析也是采用规范中的2级地震作用,进行抗震设计的推荐方法。


该分析只考虑了沿桥梁纵向上的地震响应,因此考虑到材料的几何非线性,分析分为两个步骤,即当构件受拉时的应力为正和受压时的应力为负。满足上述两个条件的构件是安全的;否则,被视为已损坏。图5显示了地震时桁架桥的变形形状。从图5b中可以看出,受损构件也以黑色突出显示在图上。


图片

图5 桁架桥的变形图

(a.恒荷载作用;b.受压方向的地震作用;c.受拉方向的地震作用)


有BRD的抗震模型


如上面所述,在大地震下钢桁梁桥纵向的抗震性能不足,因此需要改造桥梁。鉴于此目的,将两对BRD分别安放在桥台和垂直连杆的底端之间,垂直连杆的底端刚性连接到桁架桥下弦杆处的接头。两对垂直连杆被视为绝对刚体,在本研究中不考虑它们的变形。BRD被模拟为端部固定的一种连接,该连接由两部分组成:屈服部分和非屈服部分。此外,屈服芯采用钢材LY225,放置在BRD的一端。BRD的屈服部分由两节点的桁架单元T3D2来模拟,而BRD的非屈服部分被认为是绝对刚性的。两个梁单元和两个桁架单元用于两对BRD的建模。假设带有BRD模型的阻尼特性与没有BRD模型定义的阻尼特性相同。


非线性动态有限元分析,是基于BRD不会因重力作用而减小构件的初始应力状态这种假设来进行的。值得注意的是,计算分两步进行:第一步,在重力作用下,对无BRD的桁架桥进行静力分析;第二步,基于第一步得到的初始应力状态,对两对BRD桥进行非线性动力分析。


图片

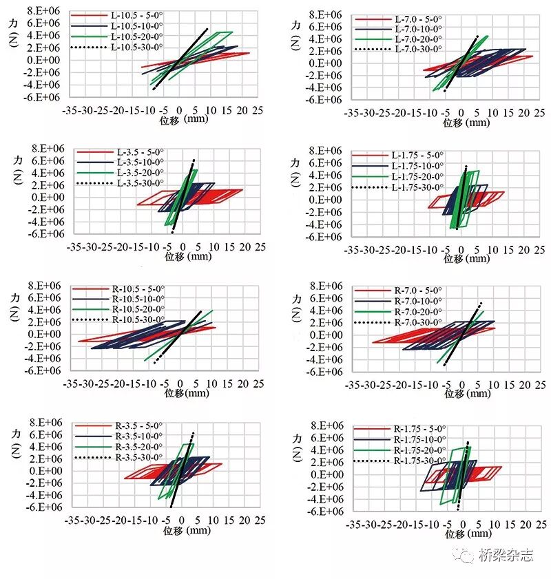
图6 BRD不同参数特性下的力与位移的关系图


BRD的参数评估


进行非线性动态有限元分析,评估BRD参数的有效性,即材料非线性、边界非线性、几何非线性。研究了以下四个不同的参数,即BRD的位置(左侧和右侧)、屈服芯的长度(10.5m、7m、3.5m、1.75m)、屈服芯的横截面积(5cm2、10cm2、20cm2、30cm2、40cm2)、倾斜角(0°、5°、10°、15°)。数值研究是在桥梁受损构件满足安全条件的控制下进行的。


BRD位置的影响


为了探讨BRD位置对桁架桥受损构件轴向应力的影响,从带有各种BRD的模型中确定应力值。虽然位置有限,但参数分析是基于两个可能的BRD设计位置完成的:靠近固定支撑;靠近桥梁的滑动支撑。比较对应于BRD每个位置的最终地震响应,图6a-d显示了具有不同特征的L-BRD的滞后响应,图6e-h显示了具有不同特征的R-BRD的滞后响应。


BRD对受损构件的轴向应力的影响,对于L-BRDs,受压和受拉应力分别减小17.9%~78.4%和5.1%~41.9%;而对于R-BRDs,这些值分别为5.4%~60.2%和4.3%~6.3%。因此,L-BRDs满足安全条件,而R-BRDs不能满足安全条件。这表明BRD设计在右侧位置无效,或者R-BRDs无法维持桥梁的抗震性能。


损坏可能是由构件的轴向变形引起的。因此,对于BRD,需要确定受损构件的可移动端处的水平位移。


R-BRDs不能有效地减小受损构件的可移动端处的水平位移。值得注意的是,L-BRDs使受压方向的水平位移减小了59.3%,而R-BRDs减少了16.4%。此外,L-BRDs和R-BRDs分别使受拉方向的水平位移减小了91.6%和83.0%。


从这些比较中可以清楚地看出,与L-BRDs相比,R-BRDs在减小受损构件的轴向位移方面具有微小的作用,并且L-BRDs满足两种安全条件。这说明了该桁架桥的右端或滑动支撑附近的BRD设计不合适。


图片

图7 BRD设计参数的有效性


屈服芯长度的影响


基于L-BRDs模型,讨论BRD屈服芯长度对受损构件轴向应力的影响。因此,屈服芯的长度与BRD的总长度之间的比值,取0.85、0.6、0.3、0.15,并且根据这些值,屈服芯长度分别取10.5m、7m、3.5m、1.75m。


对于屈服芯长度的取值,轴向压应力分别降低17.9%~68.0%、23.3%~72.1%、24.5%~76.6%、52.0%-78.4%,轴向拉应力也分别减少了5.1%~13.8、5.2%~21.3%、5.6%~33.7%、6.1%~41.9%。可以发现,随着屈服芯长度的减小,轴向应力也减小。由于构件的长度可能发生损坏,因此,从每个BRD模型确定受损构件的可移动端的水平位移,以验证上述观察。


对于初始模型,由地震引起的受压方向和受拉方向的约束位移分别由8.468mm和67.525mm确定。当BRD芯长度为10.5m~1.75m时,受压方向的水平位移减小了7.4%~59.3%,而在受拉方向上的水平位移减少了74.9%~91.6%。这表明随着屈服芯长度的减小,受损构件的可移动端处的水平位移也减小。结果证明,轴向应力可以显著减小,从而表明缩短BRD的屈服部分,不仅可以有效地减少该连接处的水平位移,而且还有助于减小受损构件上的轴向应力。


横截面积的影响


BRD屈服芯的横截面积对受损构件轴向应力的影响,从结果中可以看出,当屈服芯长度为3.5m时,其横截面积取5cm2、10cm2、20cm2、30cm2、40cm2,轴向压应力分别降低24.5%、44.5%、72.2%、74.7%、76.6%,轴向拉应力分别降低5.6%、6.3%、22.5%、27.2%、33.7%。这表明随着屈服芯的横截面积增加,轴向应力也可以显著减小。还可以通过比较受损构件的可移动端的水平位移来验证此结果。


随着横截面积的增大,水平位移减小。值得注意的是,当横截面积从5cm2增加到40cm2时,受压方向上的水平位移减小了7.1%~69.4%,而在受拉方向上,水平位移为71.6%~95.8%。结果证明,随着屈服芯的横截面积的增加,受损构件的可移动端的水平位移减小,因此轴向应力减小。


倾角的影响


基于已知的有效横截面积和长度的模型,在该部分中评估BRD倾斜角对受损构件的轴向应力的影响。


对于L-BRDs,倾斜度取0°、5°、10°、15°,受损构件的轴向压应力减小了72.2%、73.6%、45.0%、63.1%。受损构件的轴向拉应力分别减小了22.5%、6.02%、5.97%、6.46%。对于R-BRDs,即使引入各种倾斜角,也不满足安全条件。因此,倾斜角对于该桁架桥的受损构件的轴向应力是无效的。


随着倾斜角度的增加,受损构件的可移动端的水平位移没有显著减小。这也证明了BRD设计时,任何的倾斜角度,对于改造这种桁架桥都是无效的。


基于性能的研究证明,BRD适用于现有的桁架桥,可以帮助桥梁抵抗大地震。图7表明,不同设计参数的BRD,可以减少受损构件的轴向压应力和拉应力,而这些参数也被证明是有效的。此次研究结果为现有桥梁使用BRD提高抗震性能,提供了可行性方案。

内容源于网络,旨在分享,如有侵权,请联系删除


相关资料推荐:

结构抗震性能设计解读

https://ziliao.co188.com/p63411553.html



知识点:增强抗震性能的有效工具



全部回复(2 )

只看楼主 我来说两句抢地板
这个家伙什么也没有留下。。。

桥梁工程

返回版块

19.44 万条内容 · 655 人订阅

猜你喜欢

阅读下一篇

七类拉索典型事故分析

桥梁拉索是拉索支承桥梁(包括吊索拱桥、斜拉桥和悬索桥等)最重要的承载构件,是桥梁的生命线,其耐久性与可靠性直接关系到桥梁的安全运行与使用寿命。然而,桥梁拉索的使用现状不容乐观,几乎所有的在役桥梁,其拉索都存在不同程度的病害,并且日益恶化。因桥梁拉索断裂造成桥梁垮塌的严重事故,也时有发生。桥梁拉索病害严重威胁桥梁的安全及正常使用。海恩法则告诉我们:每一起严重事故的背后,必然有29次轻微事故和300起未遂先兆以及1000起事故隐患。要杜绝拉索事故的再次发生,要让拉索实现正常的使用寿命,必须防患于未然。

回帖成功

经验值 +10