土木在线论坛 \ 道路桥梁 \ 桥梁工程 \ 看各国如何进行UHPC抗疲劳设计

看各国如何进行UHPC抗疲劳设计

发布于:2023-01-29 10:25:29 来自:道路桥梁/桥梁工程 [复制转发]
图片

普通混凝土结构的尺寸和自重均较大,使得活载应力低,疲劳问题并不突出。相比之下,超高性能混凝土(UHPC)具有优异的力学性能和耐久性,基于该材料设计的结构往往趋于轻薄化,导致结构中的动力荷载比例越来越高,疲劳问题不容忽视。本文介绍了UHPC的轴压、轴拉、弯拉疲劳性能,并简要分析各国规范在UHPC抗疲劳设计方面的要求。

疲劳问题的分类 


疲劳可定义为在反复荷载作用下,材料或结构性能的永久性、渐进性改变过程,该过程伴随着裂缝的萌生与扩展,并最终导致疲劳断裂。结构的疲劳损伤一般在远低于承载力的荷载下出现,其过程具有持续性,且破坏时往往具有突发性,因而疲劳破坏可能带来灾难性后果,应通过合理设计予以避免。


根据疲劳荷载的循环次数,疲劳问题可分为低周疲劳、高周疲劳和超高周疲劳。


国内外学者已对UHPC开展了一些疲劳试验研究,揭示了UHPC的基本疲劳性能。总体而言,UHPC中无粗骨料,基体致密,且掺入了大量钢纤维,基体开裂后,钢纤维能够传递应力并阻止裂缝扩展,从而表现出很强的应力与变形重分布能力。因此, UHPC的疲劳性能要远优于普通混凝土和钢纤维混凝土。


图片

UHPC的轴压疲劳性能 


宏观损伤的三个不同阶段


方志等对不同含量钢纤维的UHPC进行了轴压疲劳试验,钢纤维的直径和长度分别为0.16mm、12mm,共考虑了三种纤维体积含量,即0%、1.5%和3%。以应力水平控制疲劳荷载:最大应力水平为Smax=0.4、0.6、0.8。这里Smax定义为最大应力与UHPC静力抗压强度的比值,即Smax=σmax/fc,最小应力水平为Smin=0.267。


疲劳试验表明,素UHPC(无钢纤维)的疲劳破坏形态表现为劈裂破坏,而含钢纤维UHPC的疲劳破坏形态为剪切破坏。根据疲劳裂纹的演变过程,UHPC的宏观损伤具体可分为3个不同的阶段,如图1所示。


图片

图1 UHPC宏观裂纹的三阶段演变模式


在裂纹潜伏阶段,试件的上、下两端出现数条竖向短裂纹,但裂缝并未迅速延伸。在裂纹稳定扩展阶段,UHPC表现出两种情况:当不含钢纤维时,试件中部出现一条纵向裂纹,并不断向两端延伸,最终形成贯通的纵向主裂缝;而当含1.5%或3%的钢纤维时,试件端部的纵向短裂缝沿约40度角向试件中部发展,裂纹长度和宽度稳定增加。在失稳破坏阶段,主裂纹迅速扩展直至贯通,试件最终疲劳破坏:当不含钢纤维时表现为劈裂破坏,当含钢纤维时表现为剪切破坏。


疲劳寿命随钢纤维含量发生变化


Ludger Lohaus对一批UHPC圆柱体试件(Φ60×180mm)进行了轴压疲劳试验,并对各组疲劳试验数据进行处理,建立了UHPC的轴压S-N曲线,如图2所示。


图片

图2 UHPC轴压S-N曲线


余自若等对大量轴压疲劳试验数据统计后发现,UHPC的疲劳寿命分布很好地服从两参数Weibull分布,并基于试验结果建立了S-N曲线。


钢纤维含量对UHPC的疲劳强度和寿命均有一定影响。图3示意了钢纤维含量的具体影响规律。可以看出,随着钢纤维含量的增加,UHPC的疲劳寿命提高;而随着应力水平的提高,UHPC的疲劳寿命降低。


图片

图3 疲劳寿命随钢纤维含量的变化规律


疲劳后的剩余强度


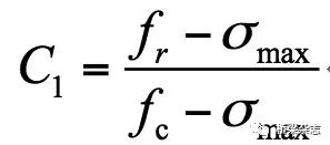
余自若等对UHPC抗压疲劳性能进行了系统研究,采用的是Φ70×210mm圆柱体试件。试件共分为三组,一组进行轴压静力试验,一组进行轴压疲劳试验,一组进行疲劳后的剩余强度试验。疲劳试验中控制Smax=0.7~0.9、Smin=0.045~0.048。为描述UHPC经历疲劳加载后剩余抗压强度的衰减规律,定义经历疲劳荷载后UHPC的抗压强度衰减率C1为:


图片


式中,fr为经历疲劳试验后的剩余抗压强度;σmax为疲劳荷载中的最大疲劳应力;fc为静载下的抗压强度。


根据试验结果,UHPC的抗压强度衰减率如图4所示。由该图可知,总体而言,当疲劳循环次数不超过其疲劳寿命的70%时,UHPC的剩余疲劳强度衰减较为缓慢,随后UHPC的抗压强度急剧衰减。


图片

图4 疲劳荷载下的UHPC剩余疲劳强度衰减率


UHPC的轴拉疲劳性能 


与钢材相似的疲劳断裂过程


Makita和Brühwiler对不配筋UHPC试件开展了轴拉疲劳试验。UHPC中钢纤维尺寸为Φ0.16mm×13mm,体积含量为3%,试件尺寸为40mm×150mm ×750mm。


试验中先对试件进行轴拉静力试验,以获得完整的应力-应变曲线,然后开展疲劳试验。疲劳试验考虑三类最大疲劳荷载水平Smax(定义为最大疲劳荷载Fmax与试件弹性极限荷载Fe之比)情形如图5。S1系列的目的是确定UHPC在弹性范围内的疲劳极限,S2和S3系列的目的则是模拟UHPC分别处于应变硬化和应变软化阶段的疲劳行为。


图片

图5 UHPC的三种轴拉疲劳试验情形


UHPC的疲劳断裂过程与钢材具有一定相似性。首先,裂缝萌生于最薄弱位置,并随应力循环不断扩展,试件逐渐丧失承载力,伴随着模量降低现象,当剩余面积不足以承担荷载时,试件断裂。疲劳扩展面较为光滑,而最终断裂产生的断裂面较为粗糙。扫描电镜分析发现,UHPC试件的疲劳断裂面具有以下三个特征:UHPC基体的剥离与粉碎;光滑断裂面;锈色粉末产物。


图片

图6 不同试件的轴拉疲劳试验结果


图6给出了各组疲劳试验的S-N曲线。对于S1系列,由于无法测定疲劳试件的实际弹性极限强度,只能通过平行的静力试验获取相应强度值;而对于S2和S3系列,由于在疲劳试验前进行了静力加载,可以获得每个试件的弹性极限强度fe,i。


配筋UHPC的疲劳S-N曲线


为探明钢筋对UHPC轴拉疲劳性能的影响,Makita和Brühwiler还对配筋UHPC进行了轴拉疲劳试验,试件尺寸及试验装置与不配筋UHPC相同。每个试件中配置三根直径8mm的钢筋,钢筋间距为40mm。钢筋的名义屈服强度为500MPa。


首先对配筋UHPC试件进行轴拉静力试验,以获得试件的极限抗拉荷载及应力-变形曲线。如图7所示,配筋UHPC的轴拉荷载-变形曲线大致经历四个阶段——弹性阶段、UHPC多裂缝阶段、钢筋屈服阶段、钢筋断裂阶段。


图片

图7 静力荷载下配筋UHPC试件的荷载-变形曲线


随后对同批制作的试件进行轴拉疲劳试验,考虑到配筋UHPC的疲劳性能与钢筋的疲劳行为密切相关,疲劳荷载主要根据钢筋应力确定。疲劳试验过程如下:对试件进行静力试验,并控制拉应变在1000~1500με之间,然后卸载;按预期的最大、最小荷载进行疲劳试验,加载频率为10Hz。试验中,作者仍然定义试件的常幅疲劳极限为一千万次。


根据试验结果,对于发生疲劳破坏的试件,其破坏模式均为钢筋断裂。钢筋疲劳断裂面上存在两个明显的区域,即光滑断裂面和粗糙断裂面。光滑断裂面由疲劳裂纹稳定增长引起,而粗糙断裂面为钢筋剩余面积不足以承担所施加的荷载时,突然断裂所引起。


根据钢筋断裂面上两个区域的大小,可推断出钢筋断裂的先后顺序。图8中,最左边的钢筋光滑断裂面分布面积最大,为最先断裂,原因是三根钢筋共同承担荷载时疲劳应力较低,使得疲劳裂纹缓慢扩展,形成光滑断裂面;最右边的钢筋粗糙断裂面区域最大,由最后断裂时的高应力引起,同时,该钢筋断裂后伴随着明显的颈缩现象。


图片

图8 UHPC中钢筋的断裂顺序与特征


作者共对12组(共19个)配筋UHPC试件进行了轴拉疲劳试验,图9示意了试验结果,图中“溜号”试件是指经历一千万次循环仍未破坏的试件。同时,通过数据拟合得到了配筋UHPC的轴拉疲劳S-N曲线方程。

图片

图9 配筋UHPC轴拉疲劳试验结果


根据试验结果,当最大荷载水平Smax小于0.54时,所有试件均未出现疲劳破坏。因此,配筋UHPC的疲劳极限强度(对应一千万次疲劳寿命)可取Smax=0.54,应用中可偏保守地取Smax=0.5。


UHPC的弯拉疲劳性能 


弯拉疲劳破坏模式与特征


曹霞等对UHPC试件进行了弯拉疲劳试验,试件尺寸为35mm×35mm×244mm。共包含45个试件,分为四组,最大应力水平Smax分别为0.75、0.8、0.85、0.9,这里Smax定义为最大疲劳荷载引起的拉应力与试件静力弯拉强度之比。


根据试验结果,试件的疲劳裂缝发展可分为以下三个阶段——裂缝潜伏阶段、裂缝稳定扩展阶段、失稳破坏阶段。


Farhat F.A.等对疲劳破坏后的试件断面进行成像,定量分析了破坏断面上的钢纤维分布密度,如图10,证实了UHPC试件弯拉疲劳寿命与钢纤维分布的关联性:高疲劳寿命试件中的钢纤维分布一般较为均匀。


图片

a)疲劳寿命:4次

b)疲劳寿命超过100万次

图10 UHPC试件疲劳断口中的钢纤维分布密度云图

(单位:根/cm2,断面尺寸:100mm×100mm)


Graybeal B.A.等对预加载至开裂的UHPC试件进行了弯拉疲劳试验,结果表明,随着疲劳荷载循环次数的增加,初始裂缝逐渐增大,一些位于试件底部的钢纤维被拔出,而另一些钢纤维发生疲劳断裂,试验中可听到钢纤维拔断的声音,图11a)示意了无损钢纤维的断面微观形貌,图11b)示意了疲劳断裂的钢纤维的断面形貌。这一现象说明,当UHPC基体开裂后,由于应力重分布,钢纤维中的拉应力较高,可能出现钢纤维自身疲劳断裂现象。


图片

a)原始钢纤维

b)疲劳断裂后的钢纤维

图11 钢纤维断面扫描电镜照片


弯拉疲劳强度和S-N曲线


Parant E.等对尺寸为200mm×40mm×600mm的UHPC试件进行了四点弯曲疲劳试验,UHPC中的钢纤维掺量高达11%,弯拉强度可达61 MPa。试验中控制最大疲劳应力水平为Smax=0.7~1.03,这里的Smax定义为最大弯拉应力与UHPC静力弯拉强度特征值(已考虑纤维取向系数)之比。图12示意了主要试验结果。不难看出,当Smax不超过0.65时,所有试件的疲劳寿命均超过200万次。因此,这种UHPC的疲劳极限约为Smax=0.65。 


图片

图12 最大疲劳应力-荷载循环次数关系


Al-Azzawi B.S.等对UHPC试件开展了弯拉疲劳试验,试件尺寸为340mm×100mm×35mm,钢纤维直径为0.55mm,长度为30mm,纤维体积含量为2.5%。试件共分为三组,最大应力水平分别为Smax=0.64、0.72、0.89,最小应力水平Smin=0.1。试验结果如图13所示。图中共包含两条曲线,一条为实测的S-N曲线,另一条为根据Goodman公式修正后,平均应力为零的S-N曲线。


图片

图13 UHPC弯拉疲劳S-N曲线


弯拉疲劳剩余强度


Parant E.等在试验中对经历200万次疲劳循环而未被破坏的试件进行了静力试验,得到了试件在疲劳后的荷载-挠度曲线,并与未经历疲劳试验的试件进行了对比,如图14所示。


图片

图14 经历疲劳循环后的UHPC试件的弯拉应力-挠度曲线


试验结果表明,经过疲劳试验后,试件的弯拉强度反而略有提高,约提高了8%。作者推测其原因,一方面可能与疲劳试验过程中UHPC的继续水化有关,另一方面可能与疲劳应力循环引起的材料密实度提高有关。但其机理还有待进一步研究。


抗疲劳设计的各国规定


法国UHPC规范


法国于2016年颁布了两部UHPC规范,其中NF P 18-470对UHPC的材料性能进行了规定,NF P 18-710则对UHPC结构设计进行了规定。UHPC结构疲劳设计的总体原则是,通过计算得到结构的受压/受拉疲劳应力,并控制最大疲劳应力不超过UHPC的疲劳强度,以确保结构的抗疲劳安全性。


法国UHPC结构设计规范NF P 18-710规定,当结构的疲劳应力满足如下条件时,可不对UHPC和钢筋进行疲劳验算:


1.当UHPC结构受压时,在正常使用极限状态特征荷载组合下,UHPC的压应力满足σc<0.6fck,式中σc为UHPC在上述荷载下的最大压应力,fck为UHPC的静力抗压强度特征值。


2.对于UHPC截面中的受拉钢筋,在正常使用极限状态特征荷载组合下,钢筋拉应力σs<300MPa。


当上述条件不满足时,须对UHPC结构进行疲劳验算。对于抗压,UHPC的疲劳验算应满足下式:


图片


式中,σc,max为频遇荷载组合下UHPC结构中的最大压应力;σc,min为频遇荷载组合下UHPC结构中的最小压应力,当σc,min计算为拉应力时,应取σc,min=0;fck为UHPC的静力抗压强度特征值。


而对于抗拉,当UHPC在正常使用极限状态特征荷载组合下的拉应力不超过0.95min{fctk,el'fctfk/k}时,可认为UHPC的抗拉疲劳强度满足设计要求。这里fctk,el是指UHPC的弹性抗拉强度特征值,fctfk指UHPC极限抗拉强度特征值;K是指钢纤维分布对UHPC轴拉裂后性能的影响系数。需要说明的是,UHPC的轴拉强度值既可根据轴拉试验得到,也可根据四点弯曲试验换算得到,具体可参考UHPC材料规范NF P 18-470中附件D的有关规定。


日本UHPC规程


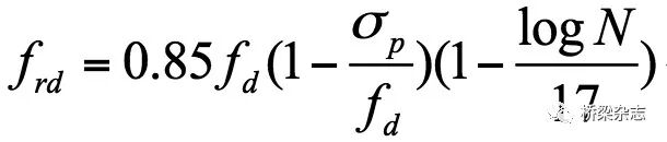
日本于2008年颁布了UHPC结构设计规程,其中疲劳设计是结构安全性验算的重要组成部分。由于UHPC受力复杂,该规范建议一般通过疲劳试验确定UHPC的疲劳强度,且在试验中需考虑结构的暴露环境。


当未进行疲劳试验时,UHPC的轴压或弯压疲劳强度设计值可通过公式确定。具体而言,UHPC的疲劳强度与疲劳寿命N及恒载引起的应力σp有关。但该规范同时指出,当UHPC结构持续或经常泡在水中时,需要开展疲劳试验。


图片


式中,frd为UHPC的抗压疲劳强度设计值;fd为UHPC的抗压强度设计值,需考虑1.3的材料分项系数;σp为UHPC结构中恒载引起的应力;N为UHPC结构的疲劳寿命。


而对于UHPC的抗弯拉疲劳设计,该规范未做出明确规定,仅根据试验结果给出了S-N曲线方程。疲劳试验结果表明,这种UHPC的S-N曲线呈双线性。当UHPC的弯拉应力比Smax不超过0.5时,UHPC结构的疲劳寿命将超过200万次,可不进行疲劳验算。


瑞士UHPC规程


瑞士于2016年颁布了UHPC结构设计规程。该规范中,结构安全性验算包含四个重要方面——截面失效、结构失稳、连接失效、疲劳。总体而言,UHPC结构的疲劳验算视配筋情况而定:未配筋时,应按UHPC材料的疲劳性能进行验算,而对于配筋UHPC结构,应按配筋构件的疲劳性能进行验算。


根据瑞士规程,UHPC材料的抗拉疲劳强度由公式计算确定:


图片


式中,σU,D为UHPC的疲劳极限强度;fUtek为UHPC的弹性抗拉强度特征值;fUtuk为UHPC的极限抗拉强度特征值。


对于无配筋UHPC受弯构件,应基于UHPC材料的疲劳性能进行疲劳验算,并满足下式:


图片


式中,σU,D为UHPC的疲劳极限强度,按上一公式计算;σUfat,max为UHPC结构中恒载、疲劳荷载共同作用下的最大拉应力。


而对于配筋UHPC结构,应基于结构的疲劳性能进行疲劳验算。具体来讲,配筋UHPC受弯构件的疲劳验算应满足:


图片


式中,MR,D为配筋UHPC构件的抗弯疲劳极限弯矩;MRd为UHPC构件的抗弯承载力设计值。


CEB-FIP Mode Code 2010


早在1993年,欧洲混凝土委员会便编制了混凝土结构设计规范(Mode Code 90)。但该规范中涉及的混凝土为普通混凝土和高强混凝土,强度等级不超过80MPa。随着UHPC的出现,水泥基复合材料的抗压强度超过150MPa,甚至可达200MPa。因此,Mode Code 90中的计算公式是否可用于UHPC,成为学者们关心的问题。


Ludger Lohaus等对UHPC进行了轴压疲劳试验,并通过深入分析,提出了计算公式。研究中,作者将水泥基复合材料的抗压疲劳设计方法,拓展到强度高达200MPa的UHPC。目前相关成果已被欧洲混凝土委员会采纳,形成了新的混凝土规范(CEB-FIP Mode Code 2010)。


新公式与Mode Code 90中原公式的对比,如图15所示。不难看出,新公式具有良好的可靠性,既可用于高强混凝土(C70~C80),也可用于抗压强度高达200MPa的UHPC。


图片

图15 新公式与Mode Code 90规范公式对比


国内外大量研究表明,UHPC具有优异的疲劳性能,其根本原因是:UHPC按照最大堆积密度原理配制,大大减少了材料内部缺陷;同时,所掺入的钢纤维及配置的钢筋,分别从材料和结构层面阻滞疲劳裂缝的扩展。目前UHPC在桥梁结构中的应用越来越广泛,特别在桥面系等疲劳荷载突出的关键部位,UHPC将发挥更大的抗疲劳优势。


内容源于网络,旨在分享,如有侵权,请联系删除


相关资料推荐:


钢桥疲劳设计

https://ziliao.co188.com/p45173238.html


知识点: UHPC抗疲劳设计


全部回复(0 )

只看楼主 我来说两句抢沙发
这个家伙什么也没有留下。。。

桥梁工程

返回版块

19.44 万条内容 · 655 人订阅

猜你喜欢

阅读下一篇

南京长江五桥 75%工厂化预制安装方案的总体设计

南京长江第五大桥跨江主桥采用纵向钻石形索塔中央双索面三塔组合梁斜拉桥,桥跨布置为 80+218+600+600+218+80=1796m,索塔采用钢-混凝土组合索塔,索塔基础采用钻孔灌注桩基础,主梁采用粗骨料活性粉末混凝土为桥面板的流线型扁平整体箱形组合梁,斜拉索采用钢绞线斜拉索。本文系统全面地介绍了该桥的设计标准、总体设计以及主桥各部分的结构设计,以资借鉴参考。

回帖成功

经验值 +10