消音器是阻止声音传播而允许气流通过的一种设备,是消除空气动力性噪声的重要措施。把它接在管道中或进、排气口上,能让气流通过,对噪声具有一定的消减作用,但不能降低空气动力设备本身所辐射的噪声。

阻性消声器:
消声原理:利用吸声材料消声。
把吸声材料固定在气流通道的内壁上或按照一定方式在管道中排列,就构成了阻性消声器。
当声波进入阻性消声器时,一部分声能在多孔材料的孔隙中摩擦而转化成热能耗散掉,使通过消声器的声波减弱。

蜂窝式消声器实际上由许多平行的小直管式消声器并联而结构复杂,阻损较大。
迷宫式消声器的缺点是空间体积大、阻力损失大,故只适于在流速很低的风道上使用。

折板式消声器是增加声波在消声器内反射次数,即增加吸声层与声波的接触机会,从而提高消声效果。

特点和应用:
对中高频消声效果好、对低频消声效果较差。
适用范围:消除风机、燃气轮机进气噪声(即气体流速不大的情况)。
缺点:由于吸声材料易被排出的高温废气所熔化,因此使用寿命短,且易被积炭、油泥等阻塞而降低或失去消声作用。

抗性消声器:
消声原理:通过管道截面的突变处或旁接共振腔等在声传播过程中引起阻抗的改变而产生声能的反射、干涉,从而降低由消声器向外辐射的声能,以达到消声目的的消声器。
声波在两根不同截面的管道中传播,从截面积为S1的管中传入截面积为S2的管中,S2管对S1管相当一个声负载,会引起部分声波的反射和透射。

消声器内插入内接管,以改善它的消声性能。

特性:主要适于降低低频及中低频段的噪声。
抗性消声器的最大优点是不需使用多孔吸声材料,因此在耐高温、抗潮湿、对流速较大、洁净要求较高的条件均比阻性消声器好。
适用范围:消除空压机、内燃机、汽车排气噪声(较高气速的情况)。
阻抗复合式消声器:
消声原理:把阻性与抗性两种消声原理通过适当结构复合起来而构成的。可定性地认为阻性和抗性在同一频带的消声值的叠加(并非简单的叠加关系)。
特性:具有低、中、高频消声性能。
适用范围:消除鼓风机、大型风洞、试车台噪声。

微穿孔板消声器:
消声原理:利用微穿孔板吸声结构制成的消声器。
包括的形式:单层微穿孔板、双层微穿孔板等。
消声的频率特性:宽频带消声性能。
适用范围:
适于高温、潮湿有水、有油雾及特别清洁卫生的场合。
微孔板消声器常用于鼓风机排气、空调系统、燃气轮机排气、飞机发动机试车室排气、喷气发动机的进气道、内燃机进排气等。
消声器的穿孔直径往往等于或大于1mm,但按习惯也称为微孔板消声器。

小孔消声器:
原理:结构是一根末端封闭的直管,管壁上钻有很多小孔。小孔消音器的原理是以喷气噪声的频谱为依据的,如果保持喷口的总面积不变而用很多小喷口来代替,当气流经过小孔时、喷气噪声的频谱就会移向高频或超高频,使频谱中的可听声成分明显降低,从而减少对人的干扰和伤害。
消声的频率特性:宽频带消声性能。
适用范围:消除压力气体排放噪声,如锅排气、高炉放气、化工厂工艺气体放散。

有源消声器:
原理:是在原来的声场中,利用电子设备再产生一个与原来的声压大小相等、相位相反的声波,使其在一定范围内与原来的声场相抵消。这种消音器是一套仪器装置,主要由传声器、放大器、相移装置、功率放大器和扬声器等组成。
消声的频率特性:低频消声性能。
适用范围:用于低频消声的一种辅助。

抗喷阻型消声器:
该系列消声器是根据抗、喷、阻复合消声原理所研制,具有消声量大、体积小、重量轻及安装方便无检修等诸多优点。
消声器的消声频率特性:抗喷阻型消声器对各频噪声效果优越。
新型高效抗喷阻型系列消声器设备被广泛使用于发电、化工、冶金、纺织等工业厂矿中用于各种型号锅炉、汽机排汽、风机、安全门等设备的消声降音。
消音器的衡量指标:消音器的消音性能;消音器的空气动力性能;消音器的结构性能。
放空消声器:
主要是降低气体排放时产生的动力性噪声。是一种阻抗复合消声器(抗喷阻型消声器)。
它是由多段不同通体,利用多孔扩散原理及金属吸声材料组成的排气放空消声器。主要用于降低压缩空气、各类风机、咽气及各种无毒性无害气体的排气放空时产生的喷注噪声。主要用于空分制氧、变压吸附制氧以及用氧过程中氧气放散消声,也可用于压缩空气等其它气体(空气、氮气等) 放散消声。

原理:由多个管壁钻孔的音管组成,管外包有石棉布及不锈钢丝网,消声管之间有超细棉或者玻璃棉,当声波在多孔吸声材料中运动时,将引起材料细孔的空气分子振动,使一部分声能由于孔的摩擦和滞阻力的作用,声能转化为热能,使声波衰减。
优点:结构紧凑、体积小、重量轻、安装方便等优点,降声效果显著。
主要应用场合:适用于锅炉、汽轮机、蒸汽发生器、蒸汽管网等蒸汽、空气、烟气及各种无毒性有压气体的排气放空时产生的喷注噪声。
消声量一般在25-35分贝左右。
材料一般为:壳体材料碳钢和不锈钢,压力0.25-6.3Mpa。
吸声材料有:超细棉、矿砂棉、玻璃棉等。

节能减压、小孔喷注及耐热防水吸声结构组合成的复合式消声器,消声器入口和排气装置的排气管相连,排放的气体通过消声器排向大气。

原理:是建立在微穿孔板消声器的基础之上的,大流速的蒸汽经过一次控流后,蒸汽在此进入扩张室进一步降压,蒸汽经大容降压后,从而形成低压蒸汽喷出,从而降低噪声。
应用:锅炉排空、安全阀排气及风机进口的降噪要求
优点:
1、采用全钢结构、体小身轻、结构简单、安装方便;
2、采用不锈钢制成,不易腐蚀;
3、消声量大,耗钢率低;
4、消声器单独固定,满足管道热位移的要求;
5、安全阀消声器的安装不影响它的工作和使用。
放空消声器在结构上比较紧凑,采用微穿小孔多空腔结构,阻力损失小,消声频带宽,工作时不起尘、不怕油雾、水气、耐高温、耐高速气流冲击,具有体积小,重量轻,强度高,安装放便等优点。是一种效果显著的控制排气放空噪声的消声设备,深受广大用户欢迎。
某空调系统消声器选型:
一、工程概况
本消声设计主要针对A塔楼B2层。
二、设计依据
本设计方案所采用的设计方法及设计原则遵循以下相关规范:
1.国家标准:《民用建筑供暖通风与空气调节设计规范》GB50736-2012
2.国家标准:《通风与空调工程施工质量验收规范》GB50243-2016
3.国家标准:《民用建筑隔声设计规范》GB50118-2010
4.行业标准:《环境保护产品技术要求 通风消声器》HJ2523-2012
5.国家标准:《声学消声器测量方法》GB∕T4760-1995
6.消声器招标文件
7.空调通风设计图纸
8.室内允许噪声标准
9.空调通风设备噪声值资料
三、空调系统消声设计方法
通风空调系统的消声设计是一项系统工程,主要包括风机声源噪声的计算与分析,管路系统噪声自然衰减的计算、管道系统气流再生噪声的计算及消声器的选用与计算等几个主要方面,图1为通风空调系统消声设计程序图。

1 噪声源的分析
风机噪声是通风空调系统中最主要的噪声源之一,风机在运转时产生的噪声主要包括空气动力噪声、机械噪声及气体和固体弹性系统相互作用产生的气固耦合噪声。而在这些噪声中,以空气动力性噪声为主,一般空气动力噪声可比机械噪声大10dB左右。
风机噪声的大小和特性因风机的形式、型号及规格的不同而不同。从构造上风机可分为离心风机和轴流风机两种类型,两种类型风机的典型噪声频谱曲线如图2所示。离心风机噪声以低频为主,随着频率的提高,噪声逐渐下降;而轴流风机则以中频噪声为主。但在工程上,往往不是以风机的声学性能作为选择风机的首要标准,而是根据所需要的风量与风压来确定风机的型号、大小和转速。

风机的空气动力噪声主要包括旋转噪声和气流旋涡噪声。其中旋转噪声又称离散频率噪声或通过频率噪声(Blade Passage Frequency ,BPF)。当风机旋转时,旋转叶轮上的叶片通道出口处,沿周向的气流压力与气流速度都有颇大的变化。由于叶片旋转而产生周期性的压力和速度脉动,此种脉动所产生的噪声被称为旋转噪声。更形象地说,旋转噪声是由旋转的叶片周期性地打击空气质点引起空气脉动所产生的。其频率就是叶片每秒钟打击空气质点的次数,因此它与叶片数和转速有关。其基本频率,也称为叶片通过频率,以符号表示fB:fB=N×n(1)
其中,fB为叶片旋转频率,Hz;n为风机转速,转/秒;N为叶片数。除了频率为fB的基频旋转噪声以外,旋转噪声还包括频率与fB成整数倍的高阶谐频噪声。
由于人耳能从背景噪声中区分出纯音信号,在风机噪声控制工程中,由风机基频和离散的高次谐波产生的窄带噪声常常成为重要问题,必须引起足够重视。风机消声系统在这些频带上必须要有足够的消声能力。
风机声功率级可由风机的比声功率级、风量和风压进行估算:
LW=LWC+10lg(QH2)-20 dB (2)
其中: LWC—风机的比声功率级,dB,即为风机在单位风量、单位风压下所产生的声功率级,同一系列风机的比声功率级是相同的,因此比声功率级可作为评价噪声的标准;
Q—风机的风量,m3/h;
H—风机的全压,Pa;
从式(2)可以看出,风机的风量、风压越大,则风机的噪声也越大。因此,在风机选型时安全系数不宜考虑过大。
2 管道系统的噪声自然衰减
在通风、空调系统中管道系统内噪声的自然衰减也是系统消声设计中应予考虑的一个方面。管道系统的噪声自然衰减主要来源于直管道的声衰减,弯头、三通、变径管的声衰减,风口的末端声衰减以及风口噪声向房间内传播途径的声衰减等方面,现分述如下:
(1) 直管道自然衰减
当管道较长、流速较低时,矩形风管及圆形风管的自然声衰减量可由表1查得。
直管道的自然声衰减量与管道断面周长、长度及管壁吸声系数成正比,与管道的载面积成反比。
一般镀锌钢板制作的光滑风管、管壁吸声很低,而当管内风速较高(如大于8m/s),气流再生噪声又较大时,直管自然声衰减可忽略不计。
表1 金属管道的声衰减 (dB/m)

由表1可见小管道的自然声衰减大于大管道,低频自然声衰减大于高频声衰减,矩形管道自然声衰减又大于圆形管道。
(2) 弯头自然衰减
弯头的自然衰减在管道系统的自然衰减中起到一定的作用,尤其是在其有内衬的弯头及中高频范围较为显著。
表2为方形弯头的自然声衰减量,表3为有内衬方弯头的自然声衰减量,表4为圆形弯头的自然声衰减量。
表2 方形弯管自然声衰减量

表3 有内衬方弯头的自然声衰减量

表4 圆形弯头的自然声衰减量

由表2~4可见,圆弯头的自然衰减量仅为1-3dB,小直径圆弯头衰减小于大直径弯头,低频衰减小于高频衰减,而方形弯头也是大尺寸声衰减优于小尺寸弯头,高频衰减优于低频衰减。
通常圆形弯头不设内衬材料,而矩形弯头内衬材料长度至少应为弯头宽度的二倍,而内衬材料的厚度控制为风管宽度的10%;对于有导流片的矩形弯头,其自然声衰减可取方弯头和圆弯头衰减量的平均值。
在通风空调工程设计中,常设计有连续弯头。连续弯头的总声衰减量并不简单等于两个单独弯头衰减量之和。而与两个弯头之间的距离有关。图3为无内衬连续弯头的声衰减量。两个连续弯头之间的管道段内壁宜衬贴吸声材料。

图3 无内衬连续弯头的声衰减量
连续弯头的消声量可按以下原则估算:
当l>2xd(风管断面对角线长度)时,总声衰减量等于两个单独弯头衰减量之和。
当0<l<2xd时,总声衰减量仅为单个弯头声衰减量的1.5倍。
(3) 三通自然衰减
当管道中设三通即管道分叉时,其噪声能量可以按支管的断面积比例(或风量分配比例)分配噪声能量,则从主管道到任一支管的噪声自然衰减量可按下式计算,或由图4查得。
ΔL=101gS1/S dB
式中:S1—支管的断面积(m2);
S—分叉处全部支管的断面积(m2)。

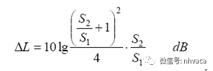
(4) 变径管自然衰减
在风管系统中遇到管道截面突变处所引起的自然声衰减可由下式计算或由图5查得。

式中:S1—变径前的管道断面积(m2);
S2—变径后的管道断面积(m2)。

(5) 风口末端的反射损失
当沿风管传递的噪声到达房间送风口即风管末端时,有一部分噪声能量将在风口末端处产生反射而衰减,即称为风口末端声反射损失。
风口末端反射损失的大小同风口面积、风口位置及噪声频率等有关,具体可由图6、图7及图8查得。
由图可见,大尺寸风口的末端反射损失小于小尺寸风口,高频末端反射损失小于低频,设于房间平顶或墙面中部且局部突出的风口其末端反射损失最大。



(6) 房间声衰减
空调系统的送回风口是房间内的声源点,房间内的声传递衰减量即为由风口进入房间的噪声级与房间内某点的噪声级之差值。
在距风口Rm处的室内声压级LP值可由下式计算:
式中:LW—风口传入房间的声功率级(dB);
Q—风口的指向性因素(可由图9查得);
R—房间常数,
S—房间总表面积;
α—房间内平均吸声系数。
3 风管系统的气流再生噪声
同气流通过消声器时会产生气流噪声并影响消声器的实际消声性能一样,当气流经过风管系统的各个部件时,同样会产生气流再生噪声,并直接影响管路各部件的自然声衰减效果,甚至还会产生新的噪声。因此在通风空调系统消声设计中也必须注意到风管系统的气流再生噪声所产生的影响,特别是当设计的气流速度偏大或噪声降低要求很高的空调系统。
风管系统各部件的气流再生噪声声功率级的估算方法分述如下:
(1) 直管道的气流再生噪声
直管道内的气流再生噪声声功率级可以下式计算:
LW=LWC+50lgV+101gS dB (3)
式中:LWC—直风管的比声功率级,一般可取10dB;
V—管内气流速度(m/s);
S—管道断面积(m2)。
各倍频程直管道气流再生噪声声功率级修正式见表5所示。
表5 直管道气流再生噪声声功率级倍频程修正值

空调系统设计的气流速度较高时,虽然可以减小风道断面尺寸,有利于控制建筑层高和节省投资,但流速偏高也会提高管路的压力损失和气流噪声,影响消声器的实际消声效果。因此必须根据空调用房的噪声允许标准,合理选择空调系统不同管路内的气流速度,表6为根据实践检验的不同噪声标准下的气流速度控制推荐值。
表6 空调系统不同噪声标准的气流速度控制值
室内噪声标准 |
风管内气流速度控制值(m/s) |
||
NR曲线 |
A声级(dB) |
主风管 |
支风管 |
15 |
20 |
4.0 |
2.5 |
20 |
25 |
4.5 |
3.5 |
25 |
30 |
5.0 |
4.5 |
30 |
35 |
6.5 |
5.5 |
35 |
40 |
7.5 |
6.0 |
40 |
45 |
9.0 |
7.0 |
(2)弯头气流再生噪声
弯头气流再生噪声声功率级可用下式计算:
(4)
式中:LWC—弯头的比声功率级(dB),它是Nstr(strouhal)的函数,按Nstr=f·de/V求得后,对于方形及矩形直角弯头的LWC可由图10查得,对于圆形弯头则可由图11内V/Va=1的曲线查得;
f下—倍频程频带的下限频率(HZ),f下=f/sqrt(2);
f—倍频程频带的中心频率(HZ);
de—圆弯头为直径(m)、矩形弯头de=2ab/a+b(m),a、b为矩形弯头的断面长和宽尺寸;
V—气流速度(m/s)。
式中101g f下为弯头气流再生噪声在各倍频带的修正值,可由表10查得。


(3) 阀门的气流再生噪声
管道上阀门产生的气流再生噪声声功率级可用下式计算或由图14查得,其相对频带声功率级值则可由表11查得。
LW=Lθ+101gS+55lgVdB (5)
式中:Lθ—由阀门叶片角度θ决定的常数:
θ=0°时,Lθ=30dB;θ=45°时,Lθ=42dB;θ=65°时,Lθ=51dB;
V—管道内气流速度(m/s);
S—管道断面积(m2)。

表11 阀门气流再生噪声频带声功率修正值

(4) 消声器气流再生噪声特性的评价
在消声器的设计试验与工程应用中,经常会遇到动态消声量低于静态消声量及同一消声器当流速提高时消声量相应减低等现象,这就是由于在消声器内部所产生的气流再生噪声的影响所导致的结果。消声器的气流再生噪声就是当气流以一定速度通过消声器时,由于气流在消声器内所产生的湍流噪声(以中高频为主)以及气流激发消声器的结构部件振动所产生的噪声(以低频为主),称为气流再生噪声。
气流再生噪声的大小主要取决于消声器的结构型式和气流速度。消声器的结构型式愈复杂,气流通道的弯折愈多,消声器内通道壁面的粗糙度愈大,则气流再生噪声也愈高,反之则愈低。气流再生噪声与气流速度一般近似为六次方关系,其经验公式为:
LWA=a+60lgV+101gS (dBA) (6)
式中:LWA—消声器气流再生噪声的A声功率级;
a—与消声器结构型式有关并由实验确定的比A声功率级,如管式消声器a=-5~-10,片式消声器a=-5~5,阻抗复合式消声器a=5~15,折板式消声器a=15~20。
V—消声器内平均气流速度(m/s)
S—消声器内气流通道总面积(m2)
四、消声器的选择与布置原则
1 消声器选择的主要原则:
(1)按风机的噪声及频谱特性和空调用房的噪声允许标准确定的所需消声量,即所选消声器的消声性能与需要消声量相适应;
(2)所选消声器的压力损失应与管道系统所允许的压力损失相适应;
(3)消声器的气流再生噪声应与声源及消声性能相适应,使消声器的消声性能得到充分发挥;
(4)消声器的外形尺寸及长度与实际可供安装的位置相适应;
(5)所选消声器应满足防火、防潮、防尘、防腐等工艺条件。
2 确定消声器安装位置的主要原则:
(1)消声器应尽可能设置在气流比较稳定的管道段;
(2)消声器应尽量设在刚出风机房前后的风管段,并避免机房内噪声再次进入消声器后的管道内;
(3)当总管流速较高时,消声器宜安装在支管段;
(4)消声要求较高、消声器需用较多的系统,可以分段设置消声器,而不宜集中布置;
(5)安装长度及空间有限的空调系统可利用消声弯头及直管消声器的作用;
(6)当消声器安装位置有限时,可利用建筑空间、空调箱的出风段位置等设计并安装消声静压箱;
(7)当相邻隔声房间的送回风口来自同一风管时,必须设置防串音消声装置;
(8)回风系统也同样应设置足够的消声器,而且应注意回风的通畅性和末端流速,以避免回风口产生过高的气流再生噪声。
本文来源于网络,如有侵权,请联系删除
知识点:消声器基础知识与选型案例
相关推荐:
0人已收藏
0人已打赏
免费2人已点赞
分享
通风排烟
返回版块13.92 万条内容 · 628 人订阅
阅读下一篇
地铁通风系统消声技术的探讨地铁交通工程建设已成为现代化城市经济发达的一项标志,其快速、便捷、安全,环境污染影响范围小等独特的优点是地面交通工程无法比拟的。 以上海为例,至2010年将有现行的8条线增加至13条地铁线,总计运行公里数将从现有的200多公里增加至500公里,其中穿越黄浦江的线路将有9条,届时运行人次将由380万人次/日提升至800万人次/日,占全市公交总量的43%。换言之,上海将有40% 以上地面交通进入地下,在国际上已列入城市地铁建设的前列。而在国内许多大城市中,包括北京、广州、天津、深圳、南京、武汉、重庆、苏州、杭州、哈尔滨、沈阳、大连等地已有大量已建和筹建工程,国内的地铁工程正以惊人的速度在加紧建设。
回帖成功
经验值 +10
全部回复(1 )
只看楼主 我来说两句 抢板凳谢谢楼主分享,学习了~!
回复 举报