

装配式桥梁处在平曲线上时,桥梁的布孔一般有径向法和平行法两种。径向法适用范围较广,但有时平行法也很方便。
1、平行布置法:
定义:即以桥中心处横桥向墩轴线为基准,桥梁各墩台的中心线与基准线平行的一种布置方法。
特点:各跨梁的长度均相同,桥墩盖梁长度也相同。梁可按标准跨径和桥交角进行预制安装。主梁结构形式相对较少。
适用范围:适用于曲线半径较大时,3跨及以下的中、小跨径桥梁。

举例说明,桥跨组合为3x30mT梁,先简支后连续,桥宽12m,处在R=500m的圆曲线上,采用平行布置法。各墩台中心线与基准的桥中心线平行。
可以看出各跨梁内的长度均相同(边跨均为29.606m,中跨均为29.296m),桥墩盖梁的长度也相同(均为10.85m)。
由此可见,当桥梁跨数为3跨及以下时,选择平行布置是很方便的,大大减少了梁长方面的种类,施工更加便利。

缺点:而随着跨数的增多,虽然仍可在很大程度上保证梁长相等,但平行法的缺点也显现出来:平行布置会导致墩台尺寸的变化,造成桥墩盖梁种类的增多,反而不利于设计与施工,同时桥墩位置也开始“跑偏”。
举例:7孔30mT梁,分成两联设计,采用平行法布梁。可以看出,3、2、1号墩尺寸各不相同,且桥墩盖梁中心往曲线内侧“跑”,形成跑偏情况。如1号墩盖梁外侧距路线中心线为554cm,盖梁内侧则为564cm。

2、径向布置法:
定义:即桥梁各墩台的中心线均指向圆心,斜桥时各墩台中心线则以其径向线旋转相同角度。
特点:同跨内的每片梁理论梁长不相同,且各片梁两端的斜角不同。但由于现浇段的存在,当曲线半径较大,内外弧长差值不大时,可通过调整现浇段来实现预制梁长一致。各桥墩盖梁长度相同。
适用范围:曲线半径不大,跨数较多时,采用径向布置法较为适宜,尤其是对于同时处在圆曲线和缓和曲线的桥来说,该方法应用得最多。

3、径向布置法—预制梁长处理:
措施1(调整现浇段):当曲线半径较大时,可通过调整封锚段长度(结构连续时为墩顶现浇段)来适应梁长变化,实现标准预制梁长。
注意要点:
(1)端隔板及梁体的端面线正做。
(2)现浇段的调整应在一个合理范围内,即应考虑盖梁宽度限制、现浇段钢筋的连接和支座布置需求等。

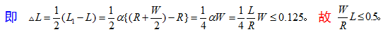
根据预制梁的结构,锚固段或现浇段的变化值△L常按12.5cm控制,

上述公式反映的是采用调整现浇段时桥跨L与半径R、桥宽W间的限制关系。下表给出常用跨径的W/R限值。当小于下表限值时,采用调整现浇段而保持预制梁长一致的方法是可行的。当同跨径的多座桥梁W/R值均满足限值且相差不大时,可将预制梁长取为同一个值,以大幅减少预制工作量。


措施2(调整跨中直线段):当曲线半径较小时,建议通过调整跨中直线段长度来适应梁长变化。变化段应设在跨中横隔梁与其两侧横隔梁间。
注意要点:
(1)端隔板及梁体的端面线根据梁端角进行预制。
(2)对于跨中有横隔板的结构,宜保持中隔板正作,并且横桥向应一一对应,以保证横桥向衔接顺畅。

4、梁体平移:
梁体平移的提出:弯桥曲线半径较小,跨径较大时,一是外边梁的翼缘长度(矢高)可能超过标准梁设计的范围,桥面板需重新计算而不能完全利用标准图的桥面板钢筋;二是内边梁的翼缘长度被“吃掉”较多,甚至可能切入梁肋。此时采用梁体整体向曲线外侧平移的处理方式,可解决上述问题。
举例说明:弯桥曲线半径R=200m,桥宽12m,跨径L=30m,标准横断面布置如下图。
实例问题:当采用标准横断面布置时,其平面情况如下图所示。但这样布置带来的问题是:在跨中处,外边梁的翼缘长度将达到177.6cm,比标准梁增加了57.6cm;而内边梁的翼缘长度减少为65.1cm,比标准梁减少了54.9cm。这样内外侧边梁的翼缘长度增加或减少得太多,不能适用标准梁的设计。
解决思路:采用梁体整体平移一定距离的方式,则可将内、外边梁的跨中翼缘长度控制在合理范围内,以便于充分利用标准梁的配筋及不触及梁肋本身。如本例,将梁片整体往曲线外侧平移30cm,则外边梁的翼缘长度将为147.7cm,内边梁的翼缘长度将为95cm,均在合理范围内。但需注意的是下部结构(如盖梁长度、桥墩位置)需根据梁体的平移进行相应变化。
5、梁体平移对下部结构的影响:
梁体平移后,梁体中心线与桥面中心线必然存在差值e,此时下部结构应进行相应变化。可将下部结构整体往梁体平移的方向平移一样的值,使桥墩中心线与梁体中心线对齐,使盖梁挡块位置满足梁体安放的要求。这种处理办法,桥墩盖梁结构无需特殊设计,仅需注意桩位坐标放样及相关高程计算即可。
当梁体平移值不太大时,可考虑将内、外侧挡块按不等宽制作,满足梁体平移后的安放。
立交中常出现加宽、变宽桥,从经济和施工角度考虑,首选装配式桥梁,只有当桥宽变化剧烈或对景观有特别高的要求时,才考虑采用现浇梁。
当桥宽变化较小时,可通过一片梁来调整,如调整边梁的悬臂尺寸或边梁与中梁的湿接缝宽度。
当变化较大时,需利用横向湿接缝来调整。采用此方法时的一个重要原则就是完全利用标准预制主梁,将变化工作全部放到现浇工程中。选择梁片时,一般选择密布,湿接缝比标准宽度小,结构更安全。但湿接缝的宽度也要满足该处钢筋搭接或焊接长度的要求,一般湿接缝宽度控制在45~90cm。超出此范围可考虑加梁片。
当变化非常大时,还可结合梁体尺寸调整来适应变宽需求。
变宽桥,预应力结构连续时,必须保证一联梁片数相同。简支时,可考虑各跨梁片数不同。

1、空心板预制及桥面横坡调整:
方式一(梁体旋转法):由于板宽较窄,预制板一般采用等厚度的平坡制作。而后可采用板的整体“旋转”实现桥面横坡。实际上依靠板底楔块、垫石的共同作用,在板安放后,形成板的顶、底面均是i%的横坡,同时板上的桥面铺装层等厚。
此种方式最为常见,尤其是桥面横坡较大时,否则桥面铺装不好处理,且影响板间的铰缝连接性能。
方式二(梁体平置法):预制板采用等厚度的平坡制作。各块板则采用平置安放,板底不做楔块而盖梁顶浇筑垫石,形成“错台”放置的板,板顶形成锯齿状,板上铺装层不等厚。对于小跨径的桥,当横坡较小时,可考虑采用此种方式,以避免板底楔块预制的麻烦。
2、T梁预制及桥面横坡调整:
相对于空心板而言,T梁的横向湿接缝要宽很多,因此在桥面横坡的调整方面情况也复杂些。
正常路拱条件下桥面横坡为2%,因此常将预制T梁的顶面横坡设为2%,马蹄底面则设为平坡。院通用图及部颁通用图均采用此种处理方式。


但山区公路中,桥梁常处在平曲线上,桥面存在超高变化,其桥面横坡往往不是2%。如何实现各种情况下的桥面横坡呢?在一孔桥跨内,桥面横坡可能出现的情况有:
情况1:正常路拱段2%桥面横坡。
情况2:等超高段i%桥面横坡。
情况3:同方向的变坡段上。
情况4:反方向的变坡段上。
=======
情况1:正常路拱段2%桥面横坡。
由于T梁顶按2%横坡预制,梁底平坡,故可将盖梁顶设成与当地桥面横坡同坡(即2%),各支座垫石设为等高,梁底平置,则梁顶自然形成2%横坡,桥面铺装层等厚,各梁体横向湿接缝连接平顺。

情况2:等超高段i%桥面横坡。有以下两种方式可以实现:
(1) 梁体旋转法:将盖梁顶设成与当地桥面横坡同坡(即i%),梁体沿顶面中心整体“旋转”到当地桥面横坡i%,梁体底面则形成了(i-2)%的坡度。通过梁底楔块及支座垫石调整,保证了桥面铺装层等厚,横向湿接缝连接平顺。但由于梁体的旋转,内、外侧翼缘需增减△L=梁高hx(i-2)%。


情况3:同方向的变坡度段上。
相邻两墩台的当地桥面横坡分别为i1%、i2%(i1%>i2%),方向相同。可采用旋转方式实现横坡,梁体沿顶面中心整体“旋转”到前后墩台桥面平均横坡0.5(i1+i2)%。这样能减少桥面铺装层的厚度差别,增减变化值为△t1=0.5x预制梁宽x0.5(i1-i2)%。同时前后两墩台盖梁分别按当地横坡i1%、i2%浇筑。
情况4:反方向的变坡度段上。
相邻两墩台的当地桥面横坡分别为i1%、i2%,方向相反。一般也可采用上述旋转方式实现横坡,也可采用梁体平置方式。同时前后两墩台盖梁分别按当地横坡i1%、i2%浇筑。但当坡差很大时,均会出现铺装层严重不足的情况。一般当最薄处小于7cm时,建议看能否调整超高渐变率,以减小前后坡差。
3、小箱梁预制及桥面横坡调整:
小箱梁的预制:院通用图及部颁通用图预制小箱梁采用的处理方式不尽相同:
(1)部颁通用图将预制梁顶面设为2%横坡,梁底设为平坡。形成横坡的方式与T梁相同,此处不再重复。
(2)院通用图是将小箱梁的顶、底面均按平坡预制。通过梁体旋转的方式形成横坡。由于梁体的旋转,内、外侧翼缘需增减△L=梁高hxi%。当桥面横坡i%较大时,需要充分注意翼缘的变化。


4、仅靠调整铺装层形成桥面横坡:
当桥梁宽度不宽且为双向横坡时,可采用梁底、盖梁顶均平置,而完全利用铺装层的不等厚来实现桥面横坡。但要注意的是,铺装层的最大厚度要控制好。

5、桥面横坡调整总结:
装配式桥梁的横向分块制作,带来了在桥面横坡变化时,横坡形成的难度。产生了多种方法来实现桥面横坡,但无论怎样调整,其首要的原则必须是:
所有支座的安放必须保证平置,即支座垫石顶必须保证水平。
同时尽量减少梁底楔块设置的复杂性,减少盖梁顶支座垫石的种类。
必须保证最小的铺装层厚度,并兼顾最大铺装层的厚度。
横坡的实现方法还必须有利于横隔板的连接浇筑。

1、过渡墩盖梁形式:
当大跨径接小跨径时,由于上部结构建筑高度不同,常常使得过渡墩盖梁两侧高度不同,形成了所谓的“高低盖梁”,也叫“L形盖梁”。
当两侧结构建筑高度相同不大(<20cm)时,可通过加高矮梁侧支座垫石的高度,来适应盖梁两侧梁高的不同。


2、过渡墩盖梁预偏心:
过渡墩盖梁,应根据左右侧恒载支反力的大小,确定是否需设置预偏心。
当上部结构在支承线处的支反力P1、P2对桥墩产生的弯矩相差不大时,为简化施工可忽略预偏心的设置。
如果P1、P2对桥墩产生的弯矩较大时,为了减少顺桥向桥墩的受力,需要设置预偏心,并适当考虑部分活载反力差。

设置预偏心的桥墩,其盖梁宽度既要考虑主梁
端部至盖梁边缘的最小搁置长度,还要保证垫石
边缘至盖梁边缘的距离不小于10cm,便于后期换支座。

3、过渡墩盖梁配筋方式:
盖梁式配筋:
此种方式与等高度盖梁的配筋相似。其配筋原则为高盖梁处按高骨架配筋,低盖梁处按低骨架配筋,最终盖梁形成高低骨架形式。
盖梁加高块作为L形盖梁的一部分一起参与受力。盖梁上缘所需配筋仅设置在高出部分的宽度范围之内,较低侧参照其配筋率配置钢筋,下缘配筋则设置在盖梁全宽范围内。
缺点:随着加高块高度的增加,高低部分负弯矩处应力分配不够明确,最终可能导致高盖梁部分配筋不足。盖梁式的应用范围较窄,同种形式的主梁跨径不宜超过两个等级,不同形式的主梁高差不宜超过50cm。
背墙式配筋:
低侧盖梁的配筋同等高度盖梁,高出的部分可按背墙的配筋进行。其配筋原则是将低侧盖梁骨架钢筋按全宽布置,高出的部分则按背墙进行配筋。
当盖梁边中比较大时,应注意高出的部分其顶缘配筋是否足够。
缺点:对于这种盖梁形式,由于背墙处刚度较大,与整体L形盖梁的变形不协调,为避免背墙处的不规则裂缝,通常应在背墙处设置施工断缝。
优点:对于背墙式配筋来说,其受力情况比盖梁式配筋明确,在墩顶设置断缝的背墙部分不用考虑负弯矩的影响。背墙式配筋的应用范围较广,同种形式的主梁跨径不宜超过三个等级,不同形式的主梁高差不宜超过90cm。
垫石式配筋:
与背墙式配筋基本相同,但对高出的部分,将其与垫石一起考虑,形成了更高的垫石。其配筋原则是将低侧盖梁骨架钢筋按全宽布置,高出的部分则分成若干块,并按垫石(局部承压构件)进行配筋。
当盖梁边中比较大时,应注意高出的部分其顶缘配筋是否足够。
对于垫石式配筋来说,其受力情况更加明确:盖梁作为主受力构件,垫石仅为局部承压构件。因此有条件时,尽量采用垫石式配筋。建议两侧主梁高差不宜超过20cm。

固定支承系统总高度:
将支承系统总高度固定为一个值后,对于同一梁高的桥台而言,其背墙高度即为定值,减少了背墙的总类。支承总高度的位置,取在背墙前缘线为宜,通过调整台帽顶的垫石高度来适应纵坡的变化。
常将20~40m预制梁的支承系统总高度固定为30cm高。40m以下跨的现浇箱梁支承系统总高度固定为40cm高。
桥台背墙采用后浇,并保持倾斜角度:
背墙设置倾斜角的目的,是为了保证主梁梁端到台背线处的缝隙上下一致,从而保证架梁顺利,便于伸缩缝安装及工作。
采用先架设主梁,后浇筑背墙的方式,不仅可保证架梁时的操作空间,而且还避免了主梁撞坏背墙的可能性。并且背墙倾斜角可根据主梁架设误差进行调整,以保证足够的空间。

一、设计荷载标准偏低
在使用过程中,对桥梁结构使用性能影响较大的公路桥梁设计荷载是可变荷载,可变荷载之中最主要的又是汽车荷载。新桥规修订时,汽车荷载由汽一超2O级、挂一12O级变为公路一I级,总体上提高不到10%,而车辆载重的标准20多年间又何止提高10%。
国家在行业标准的规定上存在不对应、不匹配的问题,造成了实际的交通荷载超出公路桥梁设计荷载标准,即按国家相关行业标准生产出的汽车在额定载重情况下,其对桥梁作用就已超过了现行的公路桥梁设计荷载标准。更不用提超载严重的问题。
此外与国际上相比,我国公路桥梁规范规定的车辆荷载安全系数明显偏低,我国是1.4,美国是1.75,英国是1.73,而计算桥梁构件本身承载能力时,我国规范规定的材料设计强度又定的偏高,有资料显示,我国桥梁的设计承载能力总体上仅为英、美等国家的6O% ~70% 。
临时措施:
(1)荷载取值增加。参考河北、内蒙等地方标准规范,以及虎门二桥设计荷载标准研究,在设计计算中考虑将荷载标准适当提高。目前基本按1.3提高系数执行。在院内部标准图如现浇箱梁、盖梁通用图编制时,已考虑此提高系数。
(2)计算结果控制严格。
A、承载能力富余控制。计入普通钢筋,计入超载等其他极端不利因素时,承载力应满足规范要求。未计入超载时,建议富余不小于10%。
B、应力富余控制。未计入超载时,建议按短期组合以不出现拉应力为准,斜截面最大压应力不超过混凝土最大压应力限值的90%。
C、裂缝富余控制。Ⅱ类环境时控制最大裂缝宽度不超过0.18mm。
设计时,若荷载取值充分考虑了超载等方面不利因素影响,那么结果控制时不宜控制过严,否则会过于保守导致经济性下降。
二、对规范标准的认识不足
设计规范和标准是国家及行业控制和指导工程设计的基本要求,作为工程设计必须执行。但规范标准中的规定,是对工程设计的最低要求。在使用规范时,必须满足最低要求。
但更重要的是需要设计人员根据工程自身特点,确定设计中各项指标需要达到的控制值。由于规范受修订、发布时间的局限,规范中的一些规定也会随着社会经济的发展需求而变得不适应甚至不合理,工程设计人员应根据掌握的相关研究成果和资料对规范规定给予适当的安全度预留。
三、考虑耐久性不够
每位设计者都熟知,钢筋混凝土和预应力混凝土桥梁结构均应按承载能力极限状态和正常使用极限状态来进行设计。然而在工程设计时,设计人员往往是只重视承载极限状态的控制,结构抗力都能考虑足够,但对正常使用极限状态指标往往不太重视,正常使用极限状态很大程度上决定了结构的使用性能。而结构在其寿命周期中,最重要的正是其使用性能,使用性能的降低甚至损坏进而会影响结构的耐久性,耐久性不足又会进一步影响结构的使用性能及结构寿命。
内容源于网络,旨在分享,如有侵权,请联系删除
相关资料推荐:
https://ziliao.co188.com/d63777473.html
知识点:梁桥设计这五大细节点
0人已收藏
0人已打赏
免费5人已点赞
分享
道路工程
返回版块15.09 万条内容 · 689 人订阅
阅读下一篇
基坑地下水控制之降水井施工降水井 降水井起的是降低地下水位作用或者疏干地下水的作用,有深有浅,深度按照降水要求,深的降水井,甚至可以达到五六十米。降水井类型有轻型井点、管井、真空井点等。 施工顺序 ⑴ 放线定井位。 ⑵ 放样、钻孔至设计深度。 ⑶ 安装φ400 无砂滤管或桥式滤管(井管类型还有其他多种形式:钢筋笼、UPV C等)。 ⑷ 井管底端封口接头应牢固防止反砂。
回帖成功
经验值 +10
全部回复(7 )
只看楼主 我来说两句-
jzhdajia
沙发
2022-12-14 10:30:14
赞同0
-
jianzhudj
板凳
2022-12-14 10:29:14
赞同0
加载更多名师经验:梁桥设计这五大细节点设计师必懂!,谢谢楼主分享好资料谢谢啦
回复 举报
名师经验:梁桥设计这五大细节点设计师必懂!,谢谢楼主分享好资料谢谢啦
回复 举报