一
研究意义
波形钢腹板组合箱梁相对于传统的混凝土箱梁桥,具有结构自重轻、预应力效率高、腹板不易开裂等优点。自从法国的第一座波形钢腹板预应力混凝土(PC)组合箱梁桥——Cognac桥诞生以后,波形钢腹板组合箱梁桥已经在世界各地得到了广泛的应用。随着道路的交通量急剧增加,宽幅的单箱多室波形钢腹板组合箱梁逐渐在桥梁中得到应用。由于用较薄的波形钢腹板取代了较厚的混凝土腹板,波形钢腹板组合箱梁的抗扭刚度比传统混凝土箱梁的小,大约减小了60%~70%。特别是对于宽幅箱梁、独柱支撑箱梁(或单索面斜拉箱梁)和曲线箱梁等,在偏载或风荷载等的作用下,其扭转效应较大,不可忽视。因此,在波形钢腹板组合箱梁结构分析和设计计算中,除了考虑该类结构的抗弯和抗剪性能,还应对其抗扭性能进行分析。同时,在桥梁工程设计中,桥梁结构必须满足承载能力极限状态的设计要求,而混凝土结构统一理论中的纯扭转软化膜模型(softened membrane model for torsion, SMMT)是钢筋混凝土结构抗扭承载力以及加载全过程力学响应计算最为有效的方法。鉴于此,本文提出一种适用于单箱多室波形钢腹板组合箱梁纯扭转分析的软化膜模型。本文的工作对单箱多室波形钢腹板组合箱梁纯扭转分析具有十分重要的理论指导意义,将为该类结构的理论分析和结构设计提供基础。
二
研究内容
1
单箱多室波形钢腹板组合箱梁纯扭转简化分析方法
在以往的研究中,一般假设纯扭矩作用下的单箱多室箱梁可以被分解为多个具有相同扭率的腔室,从而分别进行扭转分析。这种假设在弹性扭转分析中是合理的,但在非线性扭转分析中却会低估了箱梁的抗扭承载力。本文对于单箱多室箱梁的计算方法与既有的简化方法是完全不同的。将(2n)或(2n-1)室的波形钢腹板组合箱梁分解为n(n ≥ 1)个具有共同扭转中心的单箱单室箱梁,然后对每个单箱单室箱梁进行扭转分析。

图1 (2n)室或(2n-1)室波形钢腹板组合箱梁扭转等效
如图1所示,这些独立的单室箱体“箱-i”(i = 1,2,3,…,n)内的混凝土板和波形钢腹板的剪应变(剪应力)为γlti(τlti)和γwi(τwi), 则“箱-i”(i = 1,2,3,…,n)内的波形钢腹板的剪应变和剪应力为:
(1)
(2)
其中,A0f1和A0w1是“箱-1”内混凝土板和波形钢腹板的剪力流中心线所围的面积;Rγi为波形钢腹板平均剪应变γwi和γw1的比值,可用波形钢腹板的横向位置Rdi相关联的拟合公式来计算:
(3)
为了简化分析,本文将单箱多室波形钢腹板组合箱梁混凝土板上不均匀分布的剪应变用“箱-1”混凝土板上的平均剪应变来代替,并忽略其他箱体“箱-i”(i ≥ 2)内混凝土板的剪应变。虽然这一做法可能低估了单箱多室波形钢腹板组合箱梁混凝土板上的平均剪应变,但该影响抵消了箱梁分解过程中对单箱多室波形钢腹板组合箱梁最外侧波形钢腹板的剪应变的过高估计。因此,单箱多室波形钢腹板组合箱梁的外加扭矩Tm可用统一的公式表示:
(5)
(6)
2
单箱多室波形钢腹板组合箱梁USMMT模型
将以上计算公式与Shen等提出的单箱单室波形钢腹板组合箱梁纯扭转分析的SMMT模型相结合可得到单箱多室钢腹板组合箱梁纯扭转分析的统一模型USMMT(Unified softened membrane model for torsion, USMMT),其求解过程如图2所示。从统一模型USMMT的分析过程所列的方程中可知,对于单箱多室波形钢腹板预应力混凝土组合箱梁,一共有32个未知参数,31个有效方程(变量符号物理意义及方程具体见论文正文)。因此,为求解这些未知参数,先选取一系列ε2值,然后采用“试错法”,将其余的31个未知参数用31个有效方程进行求解。对于无预应力单箱多室波形钢腹板组合箱梁,只需将预应力计算模块替换为无预应力计算模块即可。
图2 USMMT求解流程

(7)

(8)

(9)

(10)
3
模型验证
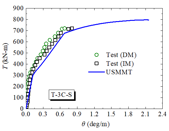
(1)扭矩-扭率曲线
采用统一模型USMMT对Shen等人的所有试验梁在外加扭矩作用下的扭矩-扭率曲线的计算结果和试验结果进行对比,如图3所示。从图中可以看出,由USMMT统一模型计算得到的扭矩-扭率曲线与试验结果在整体趋势上吻合较好。进一步地,对比所有试验梁在混凝土开裂点、波形钢腹板屈服点以及扭矩极限点的扭矩和扭率的计算值和试验值。结果表明,除了一些特征点处的扭率值差异较大以外,其余的扭矩值和扭率值与试验结果比较吻合,计算精度满足基本要求。因此,对比结果表明了本章的计算模型可较准确地预测单箱多室波形钢腹板组合箱梁的模型试验结果,可用于预测单箱多室波形钢腹板组合箱梁在外加扭矩作用下的扭矩-扭率曲线等整体力学性能。
图3 试验梁扭矩-扭率曲线的USMMT模型计算值与试验值对比
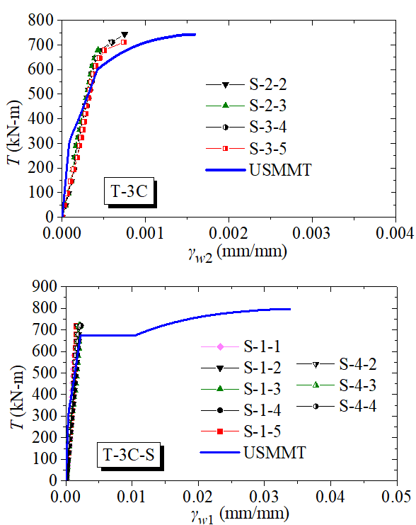
(2)混凝土顶底板和波形钢腹板剪应变
图4和图5中所示为USMMT统一模型对试验梁在纯扭矩作用下的混凝土顶底板和波形钢腹板剪应变的计算结果与试验结果的对比情况。应当注意的是,USMMT统一模型计算得到的剪应变为混凝土顶底板的平均剪应变,而从试验所测得的剪应变为各测点处的剪应变,其中剪应变均取其绝对值,不考虑正负。从图4可知,在混凝土开裂前,USMMT统一模型的计算结果与试验结果比较吻合;在混凝土开裂后,USMMT统一模型的计算结果与试验结果在整体趋势上基本一致,其平均剪应变预测值在各测点处的混凝土剪应变最大值和最小值之间。从图5可知,在波形钢腹板屈服前,波形钢腹板的剪应变较小,与混凝土顶底板的剪应变的大小相近,由式(1)得到的波形钢腹板平均剪应变与试验测得的剪应变相差较小。但由于在式(1)中假设波形钢腹板的平均剪应变等于混凝土顶底板的平均剪应变,造成由USMMT统一模型计算得到的波形钢腹板的平均剪应变与扭矩之间的关系曲线在波形钢腹板屈服前为双折线,而与试验测得的结果有所差异。在波形钢腹板屈服后,采用式(1)中第二个假设将导致波形钢腹板的平均剪应变在波形钢腹板屈服后存在较大的突变,与试验测得的结果也存在一定的差异。因此,虽然采用式(1)的假设得到的波形钢腹板平均剪应变可大致反映试验测得的波形钢腹板平均剪应变的变化规律,但式(1)的假设仍需完善,且其精度有待提高。
综上所述,USMMT统一模型中采用式(1)的两个假设来表示波形钢腹板和混凝土顶底板间的剪应变关系是合理的,可以大致反映混凝土顶底板和波形钢腹板的平均剪应变变化规律。


图4 混凝土剪应变的USMMT模型计算结果与试验结果对比
图5 波形钢腹板剪应变的USMMT统一模型计算结果与试验结果对比
图6为单箱多室波形钢腹板组合箱梁将极限扭矩的USMMT模型计算结果与有限元结果对比情况。从图可看出,除了个别箱梁外,大部分箱梁的极限扭矩的USMMT模型预测值与有限元模型预测值的差值在工程允许范围10%以内,而且所有箱梁的极限扭矩的USMMT模型预测值与有限元模型预测值比值的均值为1.029,方差为0.076。因此,本文的USMMT模型可较好地预测腔室数不大于10的波形钢腹板组合箱梁的抗扭承载力。
进一步地,将腔室数为奇数且波形钢腹板横向等间距布置的波形钢腹板组合箱梁的扭矩-扭率曲线USMMT模型计算结果与有限元计算结果及试验结果的对比情况示于图7中。从图中可知,单箱多室波形钢腹板组合箱梁扭矩-扭率曲线的USMMT模型计算结果与有限元计算结果及试验结果较为吻合。另外,USMMT模型计算结果显示,各单箱多室波形钢腹板组合箱梁开裂前弹性阶段的扭矩-扭率曲线差异很小,其开裂扭矩的差值也很小,而在混凝土开裂后,总扭矩随着箱梁室数的增加而显著地增大。这说明了在混凝土开裂前,内侧的波形钢腹板对总扭矩的影响很小,而在混凝土开裂后,内侧的波形钢腹板对总扭矩产生较大的影响。该变化规律与有限元模型得到的变化规律是基本一致。因此,本文USMMT模型对内侧波形钢腹板的处理是合理的,式(4)可以基本反映内侧波形钢腹板对组合箱梁的抗扭贡献。
图6 极限扭矩的USMMT模型计算结果与有限元结果对比
三
研究结论
本文将之前开发的适用于单箱单室 PC/RC 波形钢腹板组合箱梁的纯扭转分析模型 SMMT 扩展到单箱多室 PC/RC 波形钢腹板组合箱梁。所提出的USMMT模型考虑了内侧和外侧波形钢腹板的贡献,计算准确性已通过试验结果和有限元计算结果进行了验证。从结果可以得出以下主要结论:
(1) USMMT的预测结果与文献中的试验结果和有限元分析结果吻合良好,表明所提出的模型能够较准确地预测单箱多室 PC/RC 波形钢腹板组合箱梁全过程扭转行为,例如扭矩-扭转曲线和特征点处的扭矩。
(2) 所提出的模型是一个统一的模型,适用于 PC 和 RC 波形钢腹板组合箱梁。它在预应力计算模块中考虑了初始应力和应变对混凝土本构规律的影响。作为一个统一的模型,它还可以预测单箱单室 PC/RC 波形钢腹板组合箱梁的扭转行为。
(3) USMMT计算的混凝土板和波形钢腹板的平均剪应变反映了试验中剪应变的变化规律,验证了关于混凝土板和CSWs之间剪应变关系假设的合理性以及适用性,以及内侧波形钢腹板和外侧波形钢腹板之间的剪切应变关系公式。
应该注意的是,所提出的模型是通过少量试件和不超过10室的单箱多室波形钢腹板组合箱梁的有限元模型来验证的,应该通过更多的测试来验证。混凝土板与波形钢腹板之间的剪应变关系以及内波形钢腹板与外波形钢腹板之间的剪应变关系在今后的工作中仍有待优化和完善。
内容源于网络,旨在分享,如有侵权,请联系删除
相关资料推荐:
https://ziliao.co188.com/d62756759.html
知识点: 单箱多室波形钢腹板组合箱梁纯扭转软化膜模型
0人已收藏
0人已打赏
免费1人已点赞
分享
桥梁工程
返回版块19.44 万条内容 · 657 人订阅
阅读下一篇
桥梁支座的维修加固全攻略,值得瞧瞧一、前言 桥粱在使用过程中,常常会出现不同部位、不同形式的损坏。给保养与维修带来了一定的难度,严重影响了车辆的平稳通行,造成了大量的险情。因此,我们必须加强对桥梁支座养护维修与加固的重视,确保桥梁的稳定和行车运营的安全。 桥梁支座的作用与支座布置原则 1.桥梁支座的作用 钢筋混凝土和预应力混凝土桥梁必须在桥跨结构和墩台之间设置支座。支座的作用是将上部结构的各种作用效应传递到墩台上,这包括永久作用和可变作用引起的竖向力和水平力;保证结构在活载、温度变化、混凝土收缩和徐变等因素的作用下自由变形,使上下部结构的实际受力情况与结构的计算图式相符。
回帖成功
经验值 +10
全部回复(0 )
只看楼主 我来说两句抢沙发