摘 要:随着城市轨道交通的高速发展,新建地铁线路穿越既有运营线路越来越多,为了减小对既有运营线路的影响,需要针对性进行加固处理。以成都地铁19号线双流机场—龙桥路站区间下穿既有运营3号线为工程背景,对加固施工进行了深入研究,采用超前管棚加固(管棚穿入固结体内)、地面预注浆加固相结合的处理方案。
由于地质条件的复杂性、砂卵石地层容易受扰动、施工的不确定性、既有运营隧道对变形要求极高等特点,通过采用先进施工工艺、精细化施工,确保了盾构施工及运营线路的安全。

土压平衡盾构在大粒径卵石地层中掘进时,土仓内容易结泥饼,特别在富水地层中掘进时,容易诱发喷涌现象而导致地表沉降、塌方,进而使盾构主驱动损坏,造成工程停工等重大经济损失和重大安全事故。因此,研究和探讨大粒径卵石地层土压平衡盾构施工结泥饼的防治问题,进行有效渣土改良,对于确保土压平衡盾构在大粒径卵石地层中的施工安全、实现高效掘进,具有极其重要的意义。
近年来,国内外专家和学者对渣土改良进行了大量的室内试验以及现场试验的研究。室内试验获得的渣土改良参数多未能充分考虑现场施工因素的影响,无法适应现场变化万千的施工条件,故难以推广应用。现场试验得到的渣土改良参数过于依赖经验,控制较粗糙,随意性较大,难以形成严谨、成系统的渣土改良标准体系,对于指导类似工程施工缺乏系统的理论支撑。
本文以位于大粒径砂卵石地层的成都地铁18号线一期工程(以下称为“18号线”) 为研究对象,通过一系列室内外试验对理想渣土的各项指标进行测定,获得适用于大粒径砂卵石地层的土压平衡盾构渣土改良指标。
1. 渣土改良试验方案
1.1 试验渣土的选择
18号线的盾构穿越地层区域原状土的颗粒级配见图1。根据试验方案和地层情况,实验室的试验渣土由不同粒径的砂和卵石配制而成。根据级配曲线将试验用的现场渣土归整为A类和B类。其中:A类土的颗粒级配见图2,每次试验取20kg渣土,相应渣土体积约为9L,初始含水率取3%;B类土的颗粒组成和颗粒级配曲线由原状土剔除粒径大于40mm的颗粒得到,颗粒级配见图3,每次试验取20kg渣土,体积约10L,初始含水率取5% 。

1.2 试验目的及改良材料方案
通过试验,分析泡沫、膨润土基泥浆及高分子聚合物等改良材料在大粒径卵石层渣土改良中的作用。通过观测上述改良材料在不同组合情况下的泥浆黏度、坍落度,以及搅拌试验等得到的搅拌难易程度、内摩擦角、黏聚力、和易性及流塑状态,推出达到最佳渣土改良效果的改良材料组合及配比。结合渣土改良材料的特性及工程实践经验,本文选择膨润土泥浆、膨润土泥浆+PAM(高分子聚合物聚丙稀酰胺)、膨润土泥浆+CMC(酸甲基纤维素)、泡沫剂、膨润土泥浆+泡沫剂等5种改良材料组合方案进行试验研究。
1.3 渣土改良试验方法
1)实验室发泡装置。本次所用的改良试验泡沫主要通过自制泡沫制造装置获得。由相关研究可知,合理的泡沫剂质量分数为3%~4%。本试验所用泡沫剂的质量分数取3%,经过检测所获得的发泡倍率是18,而半衰期为8min。
2)搅拌试验。利用搅拌机的搅拌过程来模拟土压平衡盾构压力仓中的土体搅拌过程,进而评价所岩石的改良剂对土体改良的效果;通过控制搅拌机的搅拌电流的变化来控制和调整渣土改良剂的掺入量。
3)坍落度试验。每批次做3组平行坍落度试验,并取坍落度平均值对渣土流塑状态进行初步评定。
4)黏度测定。本研究中,黏度以泥浆作相对运动时的内摩擦阻力来表示。黏度可划分为表观黏度和塑性黏度。表观黏度又称有效黏度,指在某一剪切速率下,剪切应力与剪切速率的比值。塑性黏度是浆液流动时固相颗粒之间、固相颗粒与周围浆液之间,以及液相分子间的内摩擦作用总反映,反映了液体黏滞力的大小。本研究使用六速旋转黏度计来测量土样的表观黏度及塑性黏度。
2. 试验结果分析
2.1 膨润土泥浆方案渣土改良试验
由图4可见,泥浆的塑性黏度及表观黏度均随泥浆质量分数的提升而提升。但当膨润土泥浆质量分数超过14.3%后,泥浆的表观黏度迅速增加,若泥浆黏度过大,则现场泵送困难,不适合盾构施工。由工程经验及本试验结果可知,泥浆黏度为12.5~22.5MPa,即泥浆质量分数为10.0%~14.3% ,泥浆状态较为理想。

由图5可看出,搅拌电流随泥浆质量分数的提升而提升。当掺入率的数值达到15%时,电流数值要远远超过掺入率是20%以及25%情况下的电流,但掺入率处于20%~25%时电流数值近似相等。由图6可见,坍落度随泥浆质量分数的提升而下滑。当膨润土泥浆质量分数为14.3%时,坍落度最大。

2.2 膨润土泥浆+PAM方案渣土改良试验
观察图7及图8可得出,当泥浆质量分数相同的情况下,其搅拌电流会伴随PAM溶液掺入量的增加出现下滑,当PAM溶液掺入量达到0.5L时,搅拌电流基本不变;坍落度伴随PAM溶液掺入量的提升展现出先增加后减少的趋势,且PAM溶液掺入量为0.4L时坍落度最大。观察图9及10可得出,当PAM溶液掺入量达到指定数值时,搅拌电流会伴随泥浆质量分数的提升而呈现出先减少后增加的趋势,且当泥浆质量分数为12.5%时搅拌电流最小。

由上述分析的结果可看出,如PAM溶液掺入量过大,其改良效果会下滑。故有PAM溶液最佳掺入量,可使渣土改良效果最优。


考虑PAM溶液掺入泥浆时有稀释作用,故对PAM溶液质量分数为1.5‰和2.0‰的溶液进行对比,泥浆质量分数选取保水性最差的土水比为1∶10的泥浆进行试验。得到的试验结果如图11、图12所示。

由图11可见,当PAM溶液质量分数为1.0‰时,搅拌电流会伴随溶液掺入量的增加而下滑;当PAM溶液质量分数为1.5‰时,搅拌电流会随溶液掺入量的增加而呈现出先下滑后增加的趋势;当PAM溶液质量分数为2‰时,搅拌电流会随溶液掺入量的增加而增加。

泥浆质量分数为11.1%和10%时,泥浆的保水性较差。测得加入PAM溶液后的泥浆黏度如图13及图14所示。改良后泥浆内部的表观黏度呈现出先下滑后提升的趋势;塑性黏度最开始保持不变,当掺入量达0.4L后,塑性黏度有所增加,泥浆保水性也随之得到了一定的改善。


2.3 膨润土泥浆+CMC方案渣土改良试验
分析图15、图16可知,在泥浆的质量分数一定的情况下,增加CMC掺入量时,搅拌电流也随之增大。泥浆质量分数较高时,坍落度随CMC掺入量的增加而减小;泥浆质量分数较低时,坍落度随CMC掺入量的增加呈现先增大然后再减小的变化。

分析图17、图18可知,当CMC掺入量保持不变时,随着泥浆质量分数的增加,搅拌电流先缓慢增大,而后快速增大;在泥浆质量分数较低时,搅拌电流值变化不明显;坍落度随泥浆质量分数的增加而减小。可见,在泥浆质量分数较高时,CMC对渣土的黏度和摩擦系数影响较大,且CMC掺入量存在最优值。若CMC掺入量超过最优值,则渣土改良效果反而不佳。由试验结果,泥浆质量分数为10%时改良效果最佳。


当泥浆质量分数为11.1%和10.0%时,测得掺入CMC溶液后的泥浆体系的黏度值,见图19、图20。分析可知,改良后泥浆的表观黏度和塑性黏度起初基本不变,在CMC溶液掺入量达到一定量时变大,进而提高了泥浆的保水性。

2.4 泡沫剂方案渣土改良试验
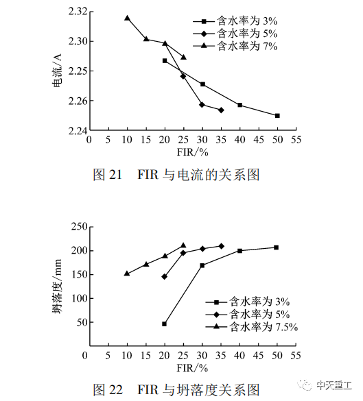
分析图21可知,基于特定的含水率,若增加了FIR(泡沫掺入率)值,搅拌电流先迅速减小,然后趋于基本不变的趋势。这说明用泡沫剂进行渣土改良可明显降低渣土摩擦系数。但FIR超过某一限值后,渣土摩擦系数不再变小。分析图22可知:若泡沫剂注入过多,则泡沫析出,土体流塑性反而会不佳;随渣土含水率变大,泡沫最佳掺入比变小,泡沫利用率有所增加;当渣土含水率过多时,泡沫剂改 渣土效果又会不佳。在不同渣土含水率下,只有泡沫剂掺入率适中,才能使改良效果较理想,使渣土达到较好的流塑状态。

2.5 膨润土泥浆+泡沫剂方案渣土改良试验
通过图23、图24可知:在泥浆掺入量一定时,增加FIR后,坍落度会先快速增大,随后增幅减缓;搅拌电流则随FIR的增加,先快速减少,再维持基本不变的状态。这说明:泡沫剂能有效减小渣土颗粒之间的摩擦力;当FIR超过一定限值后,土体颗粒间隙被泡沫填满,泡沫剂不再起改良作用。由试验结果还可得知,当FIR一定时,搅拌电流随泥浆掺入量增加呈先增大后减小变化。当泥浆掺入率为8%时,搅拌电流达到最小,说明此时的泥浆掺入量是合理的。


3. 结语
通过对成都地区大粒径砂卵石地层土压平衡盾构渣土进行改良试验,并进行系统分析,提出适应于成都地区大粒径砂卵石地层中施工的土压平衡盾构渣土改良最优方案是质量分数为10%膨润土泥浆加泡沫剂,或含有聚合物的膨润土泥浆。
内容源于中国知网,旨在分享,如有侵权,请联系删除
相关资料推荐:
[浙江]粉砂粘土区地铁区间加泥式土压平衡盾构施工组织设计123页A3版(冻结法)
https://ziliao.co188.com/d62799246.html
知识点:粒径卵石地层土压平衡盾构施工的渣土改良
0人已收藏
0人已打赏
免费0人已点赞
分享
隧道工程
返回版块2.96 万条内容 · 279 人订阅
阅读下一篇
土压平衡盾构穿越透水砾砂层渣土改良试验研究摘 要:土压平衡盾构在透水砂性地层掘进时,通常会出现不同程度的渣土喷涌问题,严重时可能威胁盾构隧道管片衬砌结构的安全。针对土压平衡盾构穿越深圳地铁7号线大沙河段透水砾砂层掘进施工,采用钠基膨润土与CMC作为渣土改良基材,开展透水砂层土压平衡盾构掘进渣土改良室内试验,揭示了改良剂浓度、掺量及不同组合对渣土改良效果的影响规律,并据此提出具有针对性的配比方案。 研究结果表明:钠基膨润土泥浆对饱和砾砂改良效果显著,膨润土泥浆与CMC混合使用可以进一步降低改良土体的渗透系数,提升土体改良效果;结合工程实际给出膨润土泥浆浓度为11%、膨润土浆液与渣土体积比为1:4的改良方案,通过对改良后渣土状态、盾构施工参数及地表沉降控制效果的综合分析,验证所提渣土改良方案的可行性。
回帖成功
经验值 +10
全部回复(0 )
只看楼主 我来说两句抢沙发