摘 要:成都地区拥有独具特色的富水砂卵石地层,虽然随着我国隧道施工工艺技术的发展,盾构施工工法已日趋成熟,但是针对该地层的盾构掘进施工却一直未能取得良好效果。
在此背景下,针对现有的土压平衡盾构进行改造,添加刀盘中心注水系统,使得土压盾构的适用范围大大增加,有效解决了喷涌及沉降控制不佳等难题,提高了渣土塑流性,保障了盾构在富水砂卵石地层掘进顺利。

成都地区为冲积平原且地下水系极为发达,形成了独具特色的富水砂卵石地层。富水砂卵石地层掘进对刀盘开口及土舱等进渣通道要求极高,需保证由掌子面至螺旋输送机出土口的通道畅通。现有盾构的刀盘中心注水装置无法满足掘进需求,需要对其进行改造,以提高渣土塑流性,保障盾构后续掘进顺利。
1. 工程概况
1.1 区间隧道概况
成都地铁17线某区间,左线隧道长1896.458m,右线隧道长1914.49m,区间隧道覆土厚度6.4~13.4m。该区间左右线最小曲率半径R=2500m,沿线需下穿铁路、高架桥以及DN1800供水管等风险源,区间最大坡度为-11‰。
区间隧道穿越地层主要为<3-8-2>稍密砂卵石土地层和<3-8-3>密实砂卵石土地层,卵石成分以石英砂岩、花岗岩、灰岩、砂岩等为主,呈圆形、亚圆形,磨圆度好,分选性差。粒径一般20~200mm,卵石质量大于60%,在该层场地内普遍分布,主要为青灰色、灰白色、杂色,中密,饱和,细、中砂充填。区间砂卵石层密实性较好,含水砂卵石地层自稳性较差。
1.2 盾构概况
该区间采用φ8634mm土压平衡盾构进行隧道掘进,盾构刀盘开口率36%,采用双环6辐条结构,刀盘支撑形式为中间支撑。刀盘如图1所示。

1.3 区间掘进难点
土压盾构掘进出渣是砂卵石地层掘进循环中非常重要的因素。富水砂卵石地层由于高富水、渗透系数大、强度高、级配不均、内摩擦角大等特性,在富水砂卵石软弱地层中掘进,依靠螺旋输送机出渣极易发生喷涌,造成掌子面失稳,引起地层塌陷,地面建(构)筑物开裂、地下管线变形等安全事故,这就使得土压平衡盾构的使用范围大幅度缩小。同时,穿越建(构)筑物、管线等风险源对沉降控制要求极高,如发生喷涌、卡死现象不仅处置困难,而且容易造成大面积地陷,影响既有市政线路的正常运营,造成不可挽回的损失。
因此,为提高土压平衡盾构的适用性,并使其顺利穿越各项风险源,需要对盾构刀盘中心注水系统进行改造,改进盾构掘进出渣效果,以保障后续盾构掘进安全顺利。
2. 改造方案
2.1 总体方案
通过对φ8643mm土压平衡盾构的土仓隔板进行开孔,安装对丝与球阀、直角弯头、管件、控制系统,同时将增设的刀盘中心注水装置与操作室控制系统相连接,可有效提高渣土的塑流性改良效果,减少结泥饼概率,提高操作便捷性。盾构改造方案如图2所示。

本装置的目的在于针对φ8643mm盾构的不足提供一套中心注水装置,通过计算确定在土仓隔板上布设孔位的最佳位置,利用磁力钻在现场对土仓隔板进行开孔,并连接相应的管件及控制系统。此装置使得φ8643mm盾构的适用范围大大增加,不仅解决了盾构的喷涌问题,而且通过注水量和注水压力调节了渣土的塑流性改良效果,减少了地层沉 降塌陷,为顺利穿越风险源提供了技术保障。
2.2 刀盘中心注水系统安装
本改造技术在成都地铁17号线某区间土压平衡盾构上应用,其刀盘中心注水系统改造流程为:确定最佳孔位→确定开孔尺寸及钻孔设备→拆除干涉管线→安装注水系统及水泵→控制系统改造→联机调试。
2.2.1 根据计算确定最佳孔位
该盾构土仓壁板为随动旋转形式,因此注入孔位置的选择尤为重要,需要刀盘注水能直接冲刷到最容易结泥饼的扇形区域,以防止泥饼在刀盘的快速堆积。因此,将超挖刀位置旋转于12点钟方向,通过对刀盘部分的主视图、左视图进行比对分析,确认刀盘注水系统轨迹。
经过流体力学验算孔径与压力、速度的关系,计算轨迹,确定最终的开孔方案如下:
(1)在狭小空间内采用磁力钻在材质为Q345的盾构土仓隔板上钻孔,孔径为φ40,用对丝连接,并将对丝与土仓板进行焊接以防止旋转;
(2)为方便掘进后堵塞的疏通,将直通直接安装于对丝后面;
(3)为防止刀盘旋转与土仓板背部干涉,尽量缩短球阀尺寸并以90°弯头对接;
(4)为保证每趟管路都可单独控制,在主路与分路分别设计球阀;
(5)为保证管路的质量,所有相关选型均为液压元件;
(6)为充分利用现有的加泥管路,利用三通、球阀、电磁换向阀、节流阀控制,实现加泥、加水的随时切换。
2.2.2 磁力钻选型
为了满足渣土改良的要求,注水的压力、流量必须满足要求并留有一定余量。经过流体力学计算和对盾构加泥泵性能考虑,设计开孔通径为DN32,考虑留有一定的攻丝余量,钻头选型为φ40。选型完成后,拆除安装区域的干涉管线,为注水系统安装作准备。
2.2.3 安装注水系统及水泵
2.2.3.1 球阀选型
为防止土仓旋转对对丝连接产生影响,采用对丝连接后再次进行焊接,同时兼顾土仓隔板旋转对其他部件的影响,从土仓板背后延伸最长距离不得超过270mm,故此选用了最小尺寸的高压球阀、90°直角弯头连接,最终连接距离为230mm,完全满足要求。为防止渗漏,球阀采用生料带缠绕后与螺纹孔连接。为防止因土仓隔板旋转而造成球阀松动,对其进行满焊固定、密封(见图3)。

2.2.3.2 水泵选型
如图4所示:R0=650mm,R1=1330mm,R2=1180mm,R3=1030mm,L=1205mm;故此:R10=680mm,R20=530mm,R30=380mm,根据H=?gt 2, 计算得知:t1=0.37s,t2=0.32s,t3=0.27s。

根据v=L/t,计算得知:v 1=3.25m/s,v 2=3.76m/s,v3=4.46m/s,v0=MAX{v1、v2、v3}=4.46m/s。根据Q=vs,管径为DN32,计算得知:Q=12m3/h。
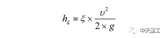
已知现有加泥泵位于3号台车,与出水口距离 为67.5m,弯头3个,球阀3个,水泵的扬程损失hf 包括局部扬程损失hξ、沿程阻力hλ和高程差Δh,其计算过程如下:
(1)局部扬程损失hξ。
刀盘处局部扬程损失计算公式为

式中ξ为局部阻力系数;υ为流体速度,约4.46m/s;g为重力加速度,9.8m/s2 。
管路上存在局部损失的元件见表1。

由此计算得hξ=11.7m。
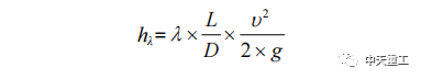
(2)泵到刀盘沿程阻力hλ。
根据达西(Darcy)公式沿程阻力计算公式如下

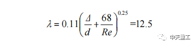
式中L为输送距离,即67.5m;d为输送管路内径,即0.05m;υ为流体速度,流量300L/min时,约2.25m/s;g为重力加速度,9.8m/s2;λ为阻力系数,其与雷诺数Re和管壁粗糙度相关。

式中υ为流体运动粘度,水在30℃时υ=0.8007×10-6 m2/s。
计算得Re=318471。
根据尼古拉兹数据,该流体阻力的过渡区为

式中Δ为管材的绝对粗糙度,普通钢管为0.2。由此计算得12104<127389<297616,流体阻力处于过渡区。
根据阿里特苏里公式

由此计算得hλ=12.5m。
(3)高程差Δh。
将水从水箱泵送到刀盘,高程差Δh=3m,水泵的扬程损失

水泵扬程需大于63.7m,流量为600L/min。已知现有加泥泵型号为压力3MPa,流量300L/min,按经济性配置原则,将原1#加泥泵与2#加泥泵并联可满足使用要求。
2.2.3.3 管路连接
为了防止土仓板旋转对管路产生扭曲,经研究确认采用经过中心回转的1#加泥孔和2#加泥孔并联改为中心注水孔,并分布于3条圆周轨迹线上,其中最内、最外分别布置1个孔位,中间轨迹线布置2个孔位。而所有的孔位均可冲刷到刀盘上最容易结饼的扇形区域。
为实现每路的单独控制及后期堵塞疏通要求,主管及副管均设有开关球阀,可根据需要开启或关闭。针对性的球阀布置又能随时拆卸管路疏通前部堵塞的孔洞,而不会无法关闭,导致土仓内地下水向外喷涌。管路连接如图5所示。

2.2.4 控制系统改造
将加泥系统管路和测量元件改造为新增刀盘注水主管路和器件,加泥系统气动开关阀改成刀盘注水管路启动开关阀,加泥系统电磁流量计改成刀盘注水电磁流量计。管路压力是通过压力传感器转换成(0-5mA)电流信号,由变换放大器转换成(4-20mA)电流信号,通过Q68ADI模块转换成数字量(0-4000),由PLC的控制中心CPU通过软件滤波和数据计算转换为实际压力值数据,通过人机界面展示压力值,管路流量采集原理和压力相同,只是不需要放大器。操作人员通过操作室人机界面可方便打开和关闭刀盘注水,并且对注水量实时监控,有效控制注水量(见图6-图7)。

从螺旋输送机出口处的渣样能及时反映出土仓中心注水的改良效果,操作手可以根据视频上所反映的渣样直观的判断改良效果,并修正注入量,以提高渣土改良的及时性,从而在操作室实现对渣样改良效果的监控和修正。
2.2.5 联机调试
对改造后的中心注水系统进行联机调试。在掘进过程中,渣土的改良效果不仅可以通过掘进参数判断,更可以通过视频监控系统直观的看到皮带机上的渣土改良效果,根据间接掘进参数变化、直观的渣土改良效果调节注水轨迹及注入量,注入量及注水轨迹的改变又会反馈在掘进参数的变化、渣土改良的效果,两者相得益彰,确保顺利平稳的通过该类风险源。渣土改良流程如图8所示。

3. 工程验证
盾构在经过刀盘中心注水系统改造后,成功穿越成雅铁路、成新蒲快速路、DN1800供水管等风险源,穿越过程中盾构掘进各项参数均正常,每环平均掘进用时为120min,平均掘进速度为60mm/min,日掘进环数7环,未出现土舱积仓失水板结及刀盘卡死情况,地表沉量控制在-2~+5mm之间,效果良好。由此,刀盘中心注水改造技术完全可以满足土压盾构在富水砂卵石地层中掘进的渣土改良需求。
4. 结束语
刀盘上连续、均布的注水设计有助于土仓内渣土改良,本项技术经过验算与比对,增设的4路注水管路分布于3个轨迹线,能对刀盘中心最容易结饼的扇形区域进行冲刷改良。操作手可根据扭矩、推进速度、渣温、出渣情况的变化实现自由切换,力求达到最好的改良效果,以保证良好的掘进状态,更好的控制渣土超方情况。
土压平衡盾构刀盘中心注水改造技术具有良好的操作性、安全可靠性、施工的高效性和使用的经济性,具有明显的社会效益和经济效益。通过将刀盘中心注水系统研究及应用技术于2019年3月在成都地铁17号线某标段先后下穿成雅线(成蒲段)成都西特大桥、成新蒲快速路和DN1800供水管中使用,使用过程中有效避免喷涌的发生,土仓压力控制精准,不仅未因土仓情况恶化而开仓,更使工期得到保证,大大缩减了施工成本,同时未造成地面较大沉降,取得显著效益。
相对于改造之前土压平衡盾构而言,刀盘中心注水系统改造技术的出现将极大提高其适用范围,使之渣土塑流性改良效果大幅度提高,有效解决了土压平衡盾构在富水软弱地层的喷涌问题,提高了压力控制精度和盾构施工的安全性。该改造技术的成功应用为后续同类工程的盾构施工提供了经验,具备一定的推广价值。
转载文献来源:中国知网-建筑机械,
旨在分享,如有侵权,请联系删除
相关资料推荐:
https://ziliao.co188.com/p63459599.html
知识点:富水砂卵石地层土压平衡盾构刀盘中心注水系统改造研究
0人已收藏
0人已打赏
免费0人已点赞
分享
隧道工程
返回版块2.96 万条内容 · 279 人订阅
阅读下一篇
隧道施工质量通病及预防措施隧道施工相较于其他工程其特殊性与复杂性较高,为提高工程质量我们应充分认识隧道工程质量通病的危害性并加以防止。 质量通病1:超前地质预报和量测不及时、不准确,里程不连续,不能为施工安全提供可靠的依据。 预防措施: (1)超前地质预报要多种手段进行综合探测,利用各种探测的特点进行取长补短相互验证,保证探测的精度; (2)特殊地段特殊处理,对于高风险隧道、特殊地段要加强探测,将隐患提前暴露出来,再制订相应的应对措施进行防治。
回帖成功
经验值 +10
全部回复(0 )
只看楼主 我来说两句抢沙发