土木在线论坛 \ 道路桥梁 \ 隧道工程 \ 还觉得隧道工程量计算很难吗,快速准确识图计算用这个...

还觉得隧道工程量计算很难吗,快速准确识图计算用这个...

发布于:2022-11-28 10:20:28 来自:道路桥梁/隧道工程 [复制转发]
一、洞身工程简介


1、洞身幵挖

(1)开挖轮廓线尺寸时,尤其要注意按设计要求 预留变形量 ,当设计文件无特殊要求时,按下表选取开挖轮廓的预留变形量,防止开挖出的洞身因围岩变形而导致衬砌厚度不足的现象。

图片

(2)应采用光面爆破、预留光面层光面爆破或预裂爆破等控制 爆破技术。炮眼的孔径、孔数、孔深及炮眼布置满足要求,炸药及起爆器材的品种及规格选取合适,装药量、装药结构及起爆顺序要合理。

(3)开挖出的洞身断面尺寸,按设计要求或表中预留一定的 围岩变形量

(4)拱、墙脚以上1m内断面 严禁欠挖。当岩层完整、岩石抗压强度大于30MPa并确认不影响衬砌结构稳定和强度时,允许岩石个别突出部分(每1m2内不大于0.1m2)欠挖,但隆起量不得大于5cm。

(5)不同围岩的超挖量不得超过表中的允许值。

图片

2、洞身支护

(1)材料要求
【水泥】强度等级不应低于32.5级。
【砂】应采用坚硬耐久的中砂或粗砂。
【石子】应采用坚硬耐久的卵石或碎石。
【骨料】喷射混凝土用的骨料级配宜控制在表中所给范围内。
【外加剂】
【水】
【水泥砂浆】喷射混凝土的混合料和锚杆用的水泥砂浆的配合比以及拌合的均匀性,每工作班检查次数不得少于两次;条件变化时,应及时检查。

(2)喷射混凝土支护
(3)锚杆支护
(4)钢筋网支护
(5)仰拱
(6)钢支撑支护

二、洞身工程定额工作内容及说明

1、定颔工作内容(部分)

(1)人工开挖。工作内容包括:准备工作,打眼、装药、爆破、找顶、出渣、修理,通风、防尘,一般排水,木支撑以及临时管线的安拆、维护,整修边沟。

(2)机械开挖轻轨斗车运输。工作内容包括:准备工作,打眼、装药、爆破、找顶、出渣、修整, 通风、防尘,一般排水,木支撑以及临时管线的安拆、维护。

(3)正洞机械开挖自卸汽车运输。
开挖工作内容包括:量测、画线、打眼、装药、爆破、找顶、修整,脚手架、踏步安拆,一般排水。
出渣工作内容包括:洞渣装、运、卸及道路养护。

(4)半隧道开挖。工作内容包括:打眼、装药、爆破,安全警戒,排险,运渣。

(5)钢支撑。工程内容包括:下料,成型,钻孔,焊接,修正;安装就位,紧固螺栓;拆除,整理,堆放。

(6)锚杆及金属网。
砂浆锚杆工作内容包括:搭、拆、移动脚手架,锚杆及附件制作,运输,钻孔,安装,砂浆拌合、灌注,锚固。
中空及自钻式锚杆工作内容包括:搭、拆、移动脚手架,锚杆运输,钻运,安装附件,砂浆拌合、灌注,锚固。
金属网工作内容包括:制作,挂网,绑扎,点焊,加固。

(7)现浇混凝土衬砌
模板台车浇筑混凝土工作内容包括:清理岩面及基底;台车就位、调整,挡板制作、安装、拆除、修理、涂脱模剂、堆放、台车维护;混凝土浇筑、捣固及养生。
模架浇筑混凝土工作内容包括:清理岩面及基底;模架制作、安装、拆除、移动;模板制作、安装、拆除、修理、涂脱模剂、堆放;混凝土浇筑、捣固及养生。
中隔墙混凝土浇筑工作内容包括:模板及支撑制作、安装、拆除、修理;混凝土浇筑、捣固、养生、凿毛。
钢筋工作内容包括:除锈、制作、运输、绑扎、电焊。
混凝土运输工作内容包括:第一个1Km:等待、装、卸、运行、掉头、空回、清洗车辆;每增运500m:运走500m及空回。

(8)喷射混凝土工作内容包括:冲洗岩面,安、拆、移机具设备,混凝土及钢纤维混凝土上料、喷射、养生,冲洗机具,移动喷浆架。

(9)拱顶压浆工作内容包括:搭拆脚手架,钻孔,砂浆制作、压桨、检查、堵孔。

(10)正洞通风工作内容包括:洞内通风,通风机、风管搬运、安装、调试、使用、维护及拆除。

(11)正洞高压风水管、照明、电线路。工作内容包括:高压风、水管,照明、动力电线路、照明器材选配料,搬运、安装、铺设、调试,使用,维护及拆除。

(12)明洞修筑
(13)明洞回填
(14)明洞防水层
(15)洞内装饰
(16)洞内照明设施 

2、定额说明

(1)正洞机械开挖自卸汽车运输。 连拱隧道中(侧) 导洞出渣套用正洞相应定额。

(2)正洞通风。对于隧道长度在 500m以内的短隧道不计正洞通风费用。

(3)人工开挖、机械开挖轻轨斗车运输项目系按上导洞、扩大、 马口开挖编制的,也综合了下导洞扇形扩大开挖方法,并综合了木支撑和出渣、通风及临时管线的工料机消耗。

(4)正洞机械开挖自卸汽车运输定额系按开挖、出渣运输 分别编制,不分工程部位(即拱部、边墙、仰拱、底板、沟槽、洞室)均使用定额。施工通风及高压风水管和照明电线路单独编制定额项目。
图片

(5) 连拱隧道中导洞、侧导洞开挖和中隔墙衬砌是按拱隧道施工方法编制的,除此以外的其他部位的开挖、衬砌、支护可套用其他定额。

(6)格栅刚架和型钢刚架均按 永久性支护编制,如作为临时支护使用时,应按规定计取回收。定额中已综合连接钢筋的数量。

(7)喷射混凝土定额中已综合考虑混凝土的 回弹量;钢纤维混凝土中钢纤维掺入量按喷射混凝土质量的3%掺入。当设计采用的钢纤维掺人量与定额不同或采用其他材料时,可进行抽换。

(8)凡是按不同隧道长度编制的项目,均只编制到隧道长度在4000m以内。当隧道长度超过4000m时,应按以下规定计算:
洞身开挖。以隧道长度4000m以内定额为基础,与隧道长度4000m以上每增加1000m定额叠加使用。
正洞出渣运输。通过隧道进出口开挖正洞,以 换算隧道长度套用相应的出渣定额计算。换算隧道长度=全隧长度一通过辅助坑道开挖正洞的长度。做法同前。
通过 斜井开挖正洞,出渣运输按正洞和斜井两段分别计算,二者叠加使用。
通风、管线路定额,按正洞隧道长度综合编制,做法同前。

(9)洞身衬砌项目按现浇混凝土衬砌,石料、混凝土预制块衬砌分别编制,不分工程部位(即拱部、边墙、仰拱、底板、沟槽、洞室)均使用洞身工程定额。定额中已综合考虑超挖回填因素,当设计采用的混凝土强度等级与定额采用的不符时或采用特殊混凝土时,可根据具体情况对混凝土配合比进行 抽换

(10)混凝土运输定额仅适用于 洞内混凝土运输, 洞外运输应按桥涵工程有关定额计算。

(11)洞内排水定额仅适用于反坡排水的情况,排水量按10m3/h以上编制,超过此排水量时,抽水机台班按下表中的系数调整:

图片
注:当排水量超过20m3/h时,根据采取治水措施后的排水量采用上表系数调整。 
正洞内排水系按全隧道长度综合编制,当隧道长度超过4000m时,以隧道长度4000m以内定额为基础,与隧道长度4000m以上每增加1000m定额叠加使用。

(12)照明设施为隧道营运所需的洞内 永久性设施。定额中的洞口段包括引入段、适应段、过渡段和出口段,其他段均为基本段。定额中不包括 洞外线路,需要时应另行计算。属于 设备的变压器、发电设备等,其购置费用应列入预算第二部分"设备及工具、器具购置费"中。

三、定额工程量计算

1、洞身工程量计算

(1)定额所指隧道长度均指隧道进出口 (含与隧道相连的明洞)洞门端墙墙面之间的距离,即两端端墙面与路面的交线同路线中线交点间的距离。双线隧道按上、下行隧道长度的平均值计算。

(2)洞身开挖工程量按设计断面数量(成洞断面加衬砌断面)计算,包含洞身及所有附属洞室的数量,定额中已考虑超挖因素,不得将超挖数量计入工程量。

(3)现浇混凝土衬砌中浇筑、运输的工程数量均按设计断面衬砌数量计算,包含洞身及所有附属洞室的衬砌数量。定额中已综合因超挖及预留变形需回填的混凝土数量,不得将上述因素的工程量计入计价工程量中。

(4)防水板、明洞防水层的工程数量按设计 敷设面计算。

(5)拱顶压浆的工程数量按设计数量计算,设计时可按每延长米0.25 m3综合考虑。

(6)喷射混凝土的工程量按设计厚度乘以喷射面积计算,喷射面积按设计外轮廓线计算。

(7)砂浆锚杆工程量为锚杆、垫板及螺母等材料 质量之和;中空注浆锚杆、自进式锚杆的工程量按锚杆设计 长度计算。

(8)格栅刚架、型钢刚架工程数量按刚架的设计 数量计算。

(9)管棚、小导管的工程量按设计钢管 长度计算,当管径与定额不同时,可调整定额中钢管的消耗量。

(10)横向塑料排水管每处为单洞两侧的工程数量;纵向弹簧管按隧道纵向每侧铺设长度和计算;环向肓沟按隧道横断面敷设长度计算。

(11)洞内通风、风水管及照明、管线路的工程量按隧道设计 长度计算。


案例
某隧道工程K0十350?K0十450施工段围岩级别,此段隧道的断面如图所示,边墙厚为800mm,拱部厚为800mm,采用现浇混凝土衬砌。求平洞开挖与衬砌定额工程量。
图片

解:
图片
图片

图片
图片

图片 图片
图片

2


洞门工程定额工程量计算


(1)隧道和明洞洞门,均采用洞门工程定额。

(2)洞门墙工程量为主墙和翼墙等圬工体积之和。

(3)洞门工程定额的工程量均按设计工程数量计算。


案例
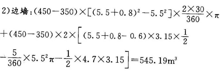
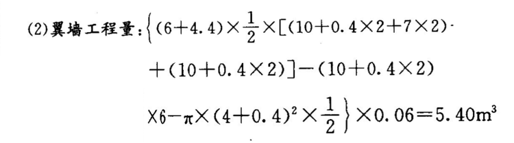
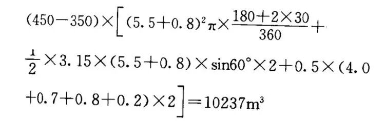
某隧道工程长为500m,洞门如图所示,端墙采用M5水泥砂桨片石,翼墙采用M10水泥砂浆砌片石,衬砌水泥砂浆片石厚6cm,求洞门砌筑工程量。
图片

解:
图片
图片

图片
图片

四、清单工程量计算

1、洞口与明洞工程清单工程量计算

(1)洞口与明洞开挖
挖土方与挖石方工程量计算规则:按设计图示所示,按横断面尺寸乘以长度以 天然密实方计算。

(2)明洞衬砌
浆砌料(块)石与现浇混凝土工程量计算规则:按设计图所示,按 体积计算。


案例
某隧道长100m,其断面如图所示,试编制隧道开挖和衬砌清单工程量。 
图片
图片
图片
图片

(3)洞口坡面防护
 锚杆工程量计算规则:按设计图所示,按不同规格以 长度计箅。


案例
某隧道工程,隧道长70m,洞口坡面需要用锚杆防护,采用Ф20钢筋,长度为2.2m,锚杆有7根锚杆,布置如图所示,求锚杆工程量。
图片
图片


2、洞身开挖工程清单工程量计算

(1)洞身开挖 
挖土方与挖石方工程量计算规则:按设计图所示,按横断面尺寸乘以长度以天然密实方计算。


案例
某地区有一道路隧道,在施工段K3十060?K3十110采用斜洞开挖,在隧道内设有高0.5m、宽0.6m的排水沟,具体尺寸如图所示,求隧道正洞清单工程量。
图片 图片

(2)喷锚支护
喷射钢纤维混凝土与喷射混凝土工程量计算规则:按设计图所示,按喷射混凝土面积乘以厚度以立方米计算。
注浆锚杆与砂浆锚杆工程量计算规则:按设计图所示,以长度计算。


案例
某隧道工程在施工段K3+040?K3十090进行锚杆支护,锚杆直径为25m,长度为3m,为砂浆锚杆。后喷射混凝土,初喷射厚度为30mm,如图所示。求:①锚杆支护的工程量;②拱部喷射混凝土工程量;③边墙喷射混凝土工程量。
图片
图片
图片

内容源于网络,旨在分享,如有侵权,请联系删除


相关资料推荐:

隧道主要工程量数量计算表

https://ziliao.co188.com/p45089321.html


知识点:隧道工程量计算


全部回复(0 )

只看楼主 我来说两句抢沙发
这个家伙什么也没有留下。。。

隧道工程

返回版块

2.96 万条内容 · 279 人订阅

猜你喜欢

阅读下一篇

城市道路交叉口怎么设计才合理?原来他们都是这么做的!

道路交叉口又是整个城市交通系统中的重要节点,与普通道路相比,路况更复杂,人流量车流量更大;同时道路交叉口也是交通事故的多发地段。合理、人性化的设计,会给道路使用者来带诸多便利。 韩国 虽然最近因为萨德问题,中韩两国关系大不如前,但在城市道路交叉口的设计上,韩国还是有值得借鉴的地方。

回帖成功

经验值 +10