一
研究意义
国内广泛使用的小箱梁所受到的破碎孤立波荷载很少受到关注,本文旨在通过数值方法研究小箱梁上破碎孤立波荷载的特征和产生机理。首先建立了一个测试段坡度为1:20的数值波浪水槽,验证了该水槽造波能力、波浪在斜坡上变形和破碎以及波浪力计算精度。箱梁上的水平力和竖向力的时程曲线根据其特征可分别分为三个和四个阶段。为了深入探讨海啸涌波作用力的产生机理,将箱梁的表面分解为一系列的面板。结果表明,水平力以上游倾斜面板上的静压力为主,竖向力主要是翼缘底板和腔室内侧底板贡献。海啸涌波越顶后冲击箱梁桥面板,导致竖向力的负向峰值产生。
二
研究内容
1
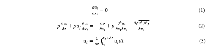
ANSYS Fluent对不可压缩雷诺平均的纳维-斯托克斯方程进行求解,质量守恒方程和动量方程分别为:

其中
代表时间平均速度;
为水体速度,
,其中下标i和j分别代表坐标系中(x,y,z)的方向;p为压强;ρ为液体密度;μ为流体动力粘度。孤立波在水槽平直段传播时采用层流模型,在斜坡上传播以及在冲击桥面板过程中采用k-ε RNG湍流模型。本文采用了Scalable Wall Function壁面函数,孤立波采用二阶孤立波波浪理论。
本文研究采用三维数值水槽,采用Fluent中的动网格技术允许左侧边界运动,以模拟实验室中的推波板运动产生造波。数值水槽立面示意图如图1。顶部边界设置为Pressure-outlet,水槽底部、水槽前端、水槽末端以及与水槽前后侧面的边界条件均设置为Wall。

图1 数值水槽立面示意图
2
模型验证
本文建立与Huang et al.(2019)模型试验完全一致的数值水槽与结构模型,选择该模型试验中的工况作为验证工况。数值模型计算所得水平海啸力与竖向海啸力与Huang et al.(2019)的模型试验数据对比分别如图2所示。可见,本文数值方法得到的水平海啸力和竖向海啸力都与模型试验吻合较好。

(a)

(b)
3
滨海小箱梁上部结构海啸作用力特征与机理研究
本文选取国家标准图集中20m跨度、12m梁宽的小箱梁作为研究对象,缩尺比 λ=1:40。水深0.6 m,斜坡坡度1:20,坡顶与箱梁之间的距离2.0 m保持不变,波高和净空会进行变化。在计算中,将小箱梁的表面划分为多个面板,以研究海啸力的产生机理。
由于桥梁上部结构存在2cm净空,涌波波前直接从梁底向下游传播,产生的水平力几乎为零。随着涌波的传播,面板S3开始受到涌波的冲击,并且逐渐增大,最后逐渐达到峰值。此时涌波液面情况如图3(a)。梁体的阻水作用导致水平力也开始降低。图3(b)表示在t=13.62s时,各面板对于桥梁上部结构所受水平力的贡献,可以得知此时的水平力几乎全是由迎水面板S3提供,其中贡献率Rx-max-i的公式如下:

同时,t=13.62s时的静压云图、动压云图、总压云图如图4(a)、(b)、(c)所示。可知,S3受到的水平作用力主要是静压贡献的。

(a)

(b)

(a)

(b)

(c)
图4 t=13.62s时桥梁上部结构周围流体的静压云图(a)、动压云图(b)、总压云图(c)
3.2 水平力第二波峰(t=13.86s)
当第一峰值出现后,水平力也开始降低。随着涌波液面的升高,水平力开始继续增加,直至达到第二峰值。此时涌波液面情况如图5(a)。从图5(b)可知,此时桥梁上部结构所受水平力主要由S3与S1提供,分别为85%和14%。
虽然此时的来流波高更大,小箱梁S1也开始受到迎水面的冲击,但是水平力第二峰值仍小于第一峰值。这是因为,从静压图与总压图可以观察到,面板S3在第一峰值的静压力明显大于第二峰值时刻。t=13.86s时的静压云图、动压云图、总压云图如图6(a)、(b)、(c)所示。可以知道此时S3和和S1的水平力主要是由海啸水体的静压所导致。

(a)

(b)
图5 t=13.86s时涌波的液面情况(a)与各面板对水平峰值的贡献率(b)

(a)

(b)

(c)
图6 t=13.86s时桥梁上部结构周围流体的静压云图(a)、动压云图(b)、总压云图(c)
为进一步分析腔室的负压。提取t=13.50s时的静压图、涡量图如图7(a)、(b)所示。从图7(b)中可知,当波浪冲击并封闭腔室后,三个腔室都产生负向压力。其原因在于封闭后腔室内的空气被水体裹挟带走,此时在腔室液面处出现大量的旋涡。如图7(a)可知,腔室的液面处涡量较大。

(a)

(b)
图7 t=13.50s的涡量图(a)与静压图(b)
3.3 竖向力正向峰值(t=13.75s)
当涌波接触到桥梁上部结构后,一部分水体从梁底向下游传播,并逐步封闭腔室。另一部分水体受到S3、S12、S1的阻挡,沿面板垂直爬升。此时涌波液面情况如图8(a)。从图8(b)可知受主要影响的分别是S12与S3,贡献率分别为20.65%、15.76%。这是由于S12、S3在阻挡涌波时承受了较大的冲击力。另外S17、S18、S19、S20受到水体挤压,产生正向竖向力。同时三个腔室中的所有面板均对竖向力有所贡献。
类似的,t=13.75s时的静压云图、动压云图、总压云图如图9(a)、(b)、(c)所示。可以知道此时S3和S12竖向力主要是由海啸水体的静压所导致,值得注意的是,由于腔室被水体封闭后,腔室内空气受到挤压、压强迅速增大,三个腔室中均出现正压。
(a)

(b)
图8 t=13.75s时涌波的液面情况(a)与各面板对竖向正峰值的贡献率(b)

(a)

(b)

(c)
图9 t=13.75s时桥梁上部结构周围流体的静压云图(a)、动压云图(b)、总压云图(c)
3.4 竖向力负向峰值(t=14.058s)
当t=14.058s时,涌波向下倾覆的水体最终跌落至顶板处(即面板S11上),在面板S11上产生了极大的竖直向下的冲击力,如图10(a)所示。同时,倾覆所形成的水舌所裹挟的空气将产生较大的竖直向下的冲击力,且裹挟空气在桥面板上方的作用面积较大,导致裹挟空气对竖向力的贡献大于水舌直接冲击桥面板的贡献。根据图10(b)所示,此时的负向峰值几乎全由S11贡献,而面板3和面板12贡献了不可忽视的正向的竖向力。
该时刻桥面板静压云图、动压云图、总压云图如图11(a)、(b)、(c)所示,此时S11顶板上受到水体跌落而产生的动压,以及水体重力而产生的静压。实际工程中,由于涌波倾覆形成的水舌沿着桥梁轴线的非一致性,裹挟在桥面板上方的空气会发生逃逸,因此此时面板S11受到的竖向力主要由水体的冲击力和重力提供。

(a)

(b)

(a)

(b)

(c)
图11 t=14.508s时桥梁上部结构周围流体的静压云图(a)、动压云图(b)、总压云图(c)
4
海啸作用力参数化研究
保持净空为2 cm,对波高0.15 m至0.30 m的工况进行研究,不同波高水平力曲线如图12所示。将不同波高的水平力第一峰值
、水平力第二峰值
进行对比,如图13(a)所示。将竖向力正向峰值
与负向峰值
进行汇总对比,如图13(b)所示。
图12 水深0.6 m,净空2 cm不变,孤立波波高a不同时箱梁水平力(a)、竖向力(b)时程曲线对比

(a)

(b)
在相同净空的情况下,第一水平力峰值
与第二水平力峰值
都随波高的增加单调递增,水平力整体随波高单调递增。但是由于其他影响因素并非随着波高线性变化的,因此冲击力峰值也并非严格按照线性增加。另外,随着波高的增加,第二峰值的大小逐渐逼近甚至大于第一峰值。
保持水深0.6m、孤立波波高 0.21m不变,净空Z在1cm-5cm以1 cm为增量变化。将不同净空时箱梁水平力第一峰值
、水平力第二峰值
进行对比,如图14(a)所示;并同时将竖向力正向峰值
与负向峰值
进行汇总对比,如图14(b)所示。净空高度的增大使得涌波冲击到桥梁上部结构的时间逐渐滞后,冲击到S3的水体减少,水平力第一峰值与第二峰值总体随着净空的增大单调递减。

(a)

(b)
另一方面,竖向力正向峰值总体上随净空高度增大而减小。竖向力负向峰值呈先增长后降低的趋势,其主要原因是当净空很小时,涌波沿迎水面爬升形成的水舌在倾覆过程中容易越过梁体,使负向力峰值较小;当净空较大时,能够翻越梁体顶板形成水舌的水体减少,负向力峰值也较小。
三
研究结论
通过数值方法研究了箱型梁上破碎孤立波作用力的特征和产生机理。首先建立了测试段坡度为1:20的数值波浪水槽来产生破碎孤立波。验证结果表明,数值波浪槽能准确产生破碎孤立波。主要结论是:
(1) 水平力时程曲线可分为三个阶段:涌波下穿阶段、冲击阶段、二次冲击阶段。相应地,竖向力时程曲线可分为四个阶段:下穿阶段、冲击段、二次冲击阶段和淹没阶段。
(2) 水平力峰值主要是由上游面板上的静压力造成的。竖向力正峰值主要由上游倾斜面板S3和水平面板S12上静压力,以及腔室中水平面板因空气挤压而产生的静压力贡献。竖向力负向峰值主要是由水舌撞击和裹挟空气受到挤压从而在桥面板顶板(S11板)造成的静压力贡献。
(3) 水平力峰值和竖向力正峰值随孤立波波高a增加而增大,竖向力负峰值在波高a≤0.24 m时随波高增加而增大,但在波高a>0.24 m时随波高增大而减少。
内容源于网络,旨在分享,如有侵权,请联系删除
相关资料推荐:
广州珠江某大桥悬索桥钢箱梁的焊接与变形控制研究方案
https://ziliao.co188.com/p62872984.html
知识点:小箱梁破碎孤立波作用力数值研究
0人已收藏
0人已打赏
免费0人已点赞
分享
桥梁工程
返回版块19.44 万条内容 · 655 人订阅
阅读下一篇
山区桥址区脉动风环境的大涡模拟一 研究意义 悬索桥结构非常轻柔,在风荷载作用下桥梁结构非常敏感,容易发生不利的桥梁振动。云南某山区桥梁桥址区为典型的山区峡谷地形,风场特性复杂多变,这给大桥的抗风设计带来了不确定的因素。因此,本文以该大桥桥址区为工程背景进行桥址区风环境的数值模拟研究,而以往大多数桥址区风环境数值模拟采用平均风入口,未考虑来流脉动成分的影响。所以本次研究中除了采用平均风剖面输入的方法以外,还采用了脉动风的输入方法,在保证脉动风场模拟准确性的同时更能体现风场的脉动特性,为后续大桥的抗风设计和施工提供了更加科学的依据。
回帖成功
经验值 +10
全部回复(1 )
只看楼主 我来说两句 抢板凳不错的资料,谢谢分享。。。。
回复 举报