一
研究意义
人行桥人致振动舒适度是一个复杂问题。然而,对于评估振动舒适度的定量计算指标,目前尚未达成共识。已有研究成果并没有给出一个可以综合考虑人体承受振动能力、结构振动响应大小以及人体主观感觉不确定性的物理量指标以及计算方法。针对目前存在的问题,本文旨在提出一种计算人致振动舒适度的敏感度模型。首先,根据概率统计原理,建立了“人体抗力”和“振动效应”的概念。其次,提出了敏感度的数学定义,分别推导了单个行人和人群的敏感度计算公式;最后,建议了人行桥振动舒适度理论,并进行现场调查和实验验证。结果表明,敏感度值与国际振动舒适度标准吻合较好,且实验结果与计算结果的误差在6%以内,本文所提出的敏感度理论可用于人行桥人致振动舒适度定量计算。
二
研究内容
1
敏感度模型
要分析人致人行桥振动舒适度,首先要确定人体对结构振动的敏感度。影响人体敏感度的因素有两个:一个因素是行人的振动耐受能力,可以定义为“人体抗力”,由每个行人自身特征决定的固有属性,与人行桥的振动或其他外部因素无关。另一个因素是人行桥的振动响应,可以定义为“振动效应”。
1.1人体抗力
由于人体是一个自主调节程度很高的生物体,可以根据意志力来调节振动耐受能力。因此,确定人体抗力的准确值是极其困难的。为了便于敏感性分析,我们采用国际标准组织给出的范数作为人体抗力的定量数值结果,可表示为:
C=//R(r1,r2,r3,...,ri,...,rn)//
(1)
式中,C表示人体抵抗力,ri表示影响人体抵抗力的因素,//R(r1,r2,r3,...,ri,...,rn)// 表示人体抵抗力R的范数。
1.2 振动效应
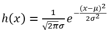
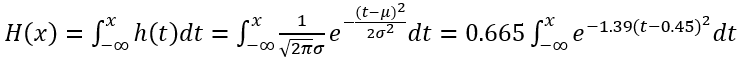
振动效应是指振动响应对人体产生的振动影响,表示为v;为了便于定量分析,将振动效应和变量之间的数学关系用F(v)表示。本文采用抽样调查方法对500组F(v)样本进行统计分析,发现F(v)近似服从N(0.45,0.36)正态分布,如图1所示。

图1 振动效应分布图
(2)
(3)

图2 人行天桥振动效应的分布函数
1.3 敏感度定义

(4)

图3 敏感度数学含义图
(5)
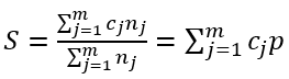
式(5)中,m表示行人不同主观感受等级的数量,一般情况下m=5或m=11。本文取m=5,表示五个等级:无振感(记录为第一主观感受)、最小振感(记录为第二主观感受)、一般振感(记录为第三主观感受)、强烈振感(记录为第四主观感受)、不可忍受振感(记录为第五主观感受)。
2
实验验证
为验证本文提出的理论,在广州市第四人行桥上进行了现场试验。第四人行桥连接创意大厦和狮子岭公园,为两跨连续中承式拱桥。共有100名测试人员在0.04g(均方根加速度,简称“r.m.s”)振动响应、0.08g(r.m.s)振动响应和0.12g(r.m.s)振动响应下通过第四人行桥,根据公式(6)计算灵敏度值,将计算得到的敏感度值视为实验结果。
表1 根据式(5)计算不同工况下的敏感度值

同时,分别在左跨和右跨L/4, L/2 和 3L/4处布置横向和竖向加速度传感器,以获取人行桥振动加速度信号,频率加权加速度信号如图4-图6所示。根据公式(5)计算灵敏度值,将计算得到的敏感度值视为计算结果。

图4 工况一下频率加权加速度时程曲线

图5 工况二下频率加权加速度时程曲线

图6 工况三下频率加权加速度时程曲线
表2 实验结果与计算结果比较

对比表明实验结果与计算结果的误差在6%以内,满足工程应用。由于敏感度与振动效应有关,在相同的行人密度下,振动效应随着加速度响应的增加而增加。而实验结果比计算结果稍大,其主要原因是行人相互的心理影响。
三
研究结论
内容源于网络,旨在分享,如有侵权,请联系删除
相关资料推荐:
基于人群-结构耦合振动大跨连廊人致振动舒适度评估
https://ziliao.co188.com/p63410521.html
知识点:基于敏感度模型的人致人行桥振动舒适度理论
0人已收藏
0人已打赏
免费0人已点赞
分享
桥梁工程
返回版块19.44 万条内容 · 655 人订阅
阅读下一篇
具有角点翼缘的方柱空气动力学特性研究一 研究意义 本文通过风洞试验和大涡模拟(LES)探究了在方柱不同角点处安装翼缘对其空气动力特性的影响并揭示其内在机理。研究对象包括普通方柱与三种类型的角点翼缘配置,即只安装前角翼缘、只安装后角翼缘以及同时安装前后角翼缘,如图
回帖成功
经验值 +10
全部回复(0 )
只看楼主 我来说两句抢沙发