一
研究意义
二
研究内容
1
倾角对振动法测小垂度索索力精度的影响


2
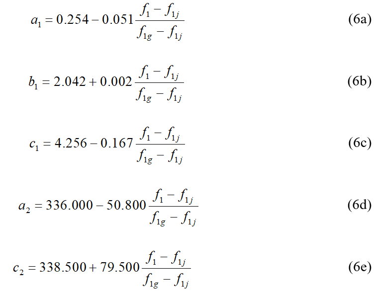
已知边界小垂度索索力实用估算公式

为索的有效长度。本文研究小垂度倾斜索(0.17
<λ?<3.10)的索力实用估算公式。< pan>λ?<3.10)的索力实用估算公式。<>

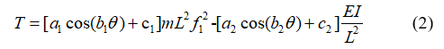
式(2)各参数取值如表2所示。
表2 小垂度倾斜索索力实用估算公式系数


3
未知边界小垂度索索力实用估算方法
拉索的实际边界条件是介于铰接与固结之间,且无法预先确定。因此,若不能考虑边界约束条件的影响,将给索力估算带来一定的误差。以2号索(中等抗弯刚度索)为例,提出考虑索的抗弯刚度、倾角和未知边界条件影响的索力估算方法。
根据式(2), 不同边界条件下2号索索力估算实用公式可设为:

和
为需根据具体
为需边界条件确定的系数。
,即

代入式(5a)和式(5b),得到此索力下两端铰接和两端固结时索的频率
和
,即:

再根据插值式(6)得到反映弹性嵌固作用的系数,即:

最后由式(3)得到索力
,若
,重复上述过程直到
,Ti就是所估算出的索力。一般情况下,T1就可以满足上述条件。
。分别采用两端铰接边界、两端固结边界和上述未知边界条件方法进行索力估算,结果如表4所示。

对小抗弯刚度索(1号索),倾角相同时,两端铰接、两端弹性嵌固和两端固结三种不同边界条件下估算出的索力的误差大致相等,均在2%以内,精度较高。因此,边界条件对小抗弯刚度索的影响较小,实际应用中可简单地把索的边界条件当成铰接或固接处理。
对中等抗弯刚度索(2号索)和大抗弯刚度索(3号索),边界约束条件对索力估算产生较大影响。采用本文提出的未知边界条件下的估算方法比采用两端铰接和两端固结边界估算公式的精度更高,其误差分别在2%和5%以内。因此,对中等和大抗弯刚度索,不能简单地把索的边界条件视为铰接或固接,实际应用中应当做未知边界条件处理。
三
研究结论
本文研究了倾角对小垂度倾斜索索力估计精度的影响,并提出能考虑倾角影响的索力估算实用公式。主要结论如下:
(1)索倾角对小垂度索的基频和索力估算精度有着不可忽略的影响。小垂度索基频随倾角的增大而减小,不考虑倾角的影响时采用基频估算小垂度索的索力误差很大。
(2)提出了考虑倾角影响的由基频估算两端铰接和两端固结小垂度索索力的实用公式。算例表明:实用公式能满足工程精度需要,但具有特定性和针对性,实际中有更高精度要求时,可针对具体索建立相应的估算公式。
(3)提出了考虑倾角影响和边界条件未知情况的由基频估算小垂度索索力的实用方法。算例表明:当索抗弯刚度较小时,可简单地把索的边界条件当成铰接或固接处理;当抗弯刚度较大时,边界条件对索力识别的精度影响较大,应当做未知边界条件处理。
内容源于网络,旨在分享,如有侵权,请联系删除
相关资料推荐:
https://ziliao.co188.com/p63421293.html
知识点:考虑倾角影响的小垂度索索力识别研究
0人已收藏
0人已打赏
免费0人已点赞
分享
桥梁工程
返回版块19.44 万条内容 · 655 人订阅
阅读下一篇
利用高炉镍铁渣粉作为浆体替代物:降低白水泥用量和提高砂浆性能一 研究意义 使用白色硅酸盐水泥制备的混凝土材料具有具有较高艺术价值,广泛应用于如斜拉桥、悬索桥或歌剧院等城市地标建筑的建造工程。然而生产白色硅酸盐水泥对原材料、煅烧工艺、生产设备等方面提出较高要求,同时造成更高的能源消耗量和碳排放量。因此有必要采取浅色矿物掺合料取代部分白色硅酸盐水泥,在不显著降低混凝土美观性能、力学性能和耐久性能前提下,降低白色硅酸盐水泥的使用量。
回帖成功
经验值 +10
全部回复(0 )
只看楼主 我来说两句抢沙发