一
研究意义
随着跨海大桥的大量建设,波浪荷载对跨海桥梁的作用效应逐渐被重视。波浪荷载作用下跨海桥梁是否具有动力效应目前存在争论,为了验证波浪荷载作用下跨海桥塔的动力效应,本文根据某跨海桥梁设计桥塔进行了试验研究。首先本文采用1:100的缩尺比例建立了波浪荷载作用下的典型式桥塔试验模型。其次设计典型工况进行了波浪荷载作用下跨海桥塔响应试验研究,试验分析结果表明:当波浪荷载周期与结构自振周期接近时,桥塔结构发生明显的振动,位移放大,基底剪力放大。本文的研究结构将为波浪荷载作用下桥梁结构设计是否考虑波浪荷载的动力效应提供重要参考。
二
研究内容
1
跨海桥墩参数与物理试验模型设计
本文试验桥塔原型为琼州跨海大桥设计方案的一种斜拉桥桥塔,基础采用群桩+圆端形承台结构形式,群桩桩柱及承台均采用钢筋混泥土结构,上部索塔采用钢筋混凝土结构,上、下横梁连接两根塔柱构成门字型结构。群桩由16根直径为3m桩柱构成,由海床面至承台底部,桩柱高度为23m。承台厚7m,纵、横向宽度分别为21.8m和51.2m。基础设计水深28.5m。桥塔具体尺寸见图1。
根据实验内容和实验设备条件,试验缩尺比例选取1:100。考虑几何相似性、弗劳德相似性和弹性-重力相似准则进行模型设计。根据原型结构材料参数及试验需满足的相似关系计算模型结构的材料参数(如弹性模量,密度)和几何参数(如桥塔外形尺寸)。为了快速、低成本的设计制作模型采用不同材料组装方式实现模型制作:选用铝材来制作骨架实现结构的刚度相似;选用密度大易加工的铁块作为配重来实现结构的质量相似;选用易于加工的有机玻璃制作水下部分构件外形套筒实现流-固作用面的几何相似。设计制作的模型如图2所示。

图1

图 2
2
模型试验与测试
本试验在大连理工大学海岸与近海工程国家重点实验室中进行,所使用的波浪水槽如图3所示。
由桥址水文资料可知,该桥塔位置处25年和100年一遇累计概率为1%的波高分别为3m和4.7m,对应平均波周期分别为7.0s和9.6s。参考该水文条件,同时考虑本文研究的目标考虑结构自振周期,确定了模型试验试验工况,列入表1。

图3
表1 门式桥塔规则波工况

试验中模型结构由螺栓固定安装在天平上,天平固定在水槽底部预留孔内,模型安装示意图如图2所示。安装测量传感器并搭建测量系统。试验测试时需要考虑波面时程与力、加速度和位移的同步采集。
3
试验结果分析
根据试验的加速度和位移记录,得到了模型结构的自振频率,结果列入表2。塔顶自由衰减位移和加速度记录如图4所示。
对原型结构进行有限元模态分析,结构前两阶自然频率列入表2,结构前两阶自然频率对应的模态振型如图5所示。根据图5所示结果可知结构的前两阶模态振型为分别沿x和y方向的弯曲型变形,主要是因为桥塔桩基础刚度大,桥塔相当于一个悬臂梁,因此以弯曲变形为主。由于桥塔桩基础刚度大,试验时桩基础基本不动,因此有水和无水是结构的频率基本一致。桥塔结构计算频率与试验获得的频率基本一致,说明结构物理试验模型是设计合理的。
表2 门式桥塔结构自振频率


图4

a)一阶顺桥向; b)二阶横桥向
图5
根据测力天平测量的结果对其测量的桥塔基底剪力进行整理,得到了各试验工况的原型桥塔基底剪力,整理结果列入表3,其中部分结果如图6所示。
表3 原型桥塔基底剪力(10MN)


(a)H=3m, T=7s

(b)H=3m, T=7.8s

(c)H=3m, T=9.6s
图6
根据表3中的结果可知当波高为3m时桥塔基底剪力随波周期的变化规律是随周期的变大为逐渐变小;而当波高为4.7m时桥塔基底剪力随波周期的变化规律是随周期的变大为先变大再变小。除了波高有差别之外其它条件都相同的条件下它们的变化规律应该一致,导致这种不一致的原因很可能是在波周期为7.8秒时与结构主周期一致,结构发生振动产生动力效应,波高为4.7m时的结构动力效应比波高为3m时的结构动力效应显著,这从表4中顶点位移结构的顶点位移就验证了这一点,波高为4.7m时的结构顶点位移是波高为3m时的结构顶点位移的1.51倍。
根据激光位移计测量的结果对其测量的桥塔顶点位移进行整理,得到了各试验工况的原型桥塔顶点位移,整理结果列入表4,其中部分结果如图7所示。
表4 原型桥塔顶点位移(m)


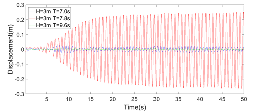
图7 桥塔顶点位移随时间的变化特征
根据图7可知当波周期为7.8秒时,桥塔顶部发生显著振动,表现出明显的动力效应,这是因为波周期与结构主周期一致,结构发生了共振效应。根据表4的结果可知波高为4.7m时的结构顶点位移显著大于波高为3m时的结构顶点位移,这是主要是因为波高越高,波浪荷载越大,即使结构动力响应放大系数一致,但结构的动力响应也越大。
三
研究结论
本文通过物理模型试验对波浪荷载作用下跨海桥塔结构的动力效应进行研究,得到如下主要结论:(1)桥塔结构计算前两阶频率与试验测量的前两阶频率基本一致,验证了桥塔物理试验模型设计制作的合理性,是保证试验结果合理的前提。(2)在波浪周期与结构周期一致的条件下,波浪荷载能够引起桥塔结构的动力效应,波高越高桥塔结构基底剪力和振动的动力放效应越明显,如何计算其内力放大效应则需要进一步研究。
内容源于网络,旨在分享,如有侵权,请联系删除
相关资料推荐:
https://ziliao.co188.com/p62361012.html
知识点:波浪荷载作用下跨海桥梁桥塔动力效应的试验研究
0人已收藏
0人已打赏
免费1人已点赞
分享
桥梁工程
返回版块19.44 万条内容 · 654 人订阅
阅读下一篇
飓风灾害下考虑倾覆破坏模式的沿海桥梁长期损失评估一 研究意义 沿海公路桥梁是交通运输系统的重要组成部分。与内陆区域桥梁不同,沿海桥梁易受到飓风、洪水、风暴潮等自然灾害的威胁。受损的公路桥造成交通中断,影响灾后的救援、修复及重建工作,造成巨大的经济、社会和生命损失。因此,准确分析桥梁在飓风引起的风暴潮及巨浪作用下的结构响应,并对其进行易损性和损失评估,已成为决策者关注的主要问题。另一方面,传统的经验公式预测模型虽可以估算波浪力大小,但无法精确分析支座受力状态及结构响应,因此对于复杂结构的研究存在局限性。鉴于此,本文建立一个基于三维空间动态分析的综合评估框架,以研究沿海桥梁在飓风波浪冲击下的结构响应、支座性能及倾覆破坏机理,并基于获得的结构响应对其易损性及长期损失进行评估。
回帖成功
经验值 +10
全部回复(1 )
只看楼主 我来说两句 抢板凳学习了波浪荷载作用下跨海桥梁桥塔动力效应的试验研究,多谢了。
回复 举报