一
研究意义
随着我国经济和交通工程的发展,越来越多的桥梁、海上风电等工程已建成或拟建中,这些建筑物大部分处于中国的东南部沿海的地震多发区。在地震作用下,水和结构相互作用会产生动水力,该附加动水力会影响结构的动力响应和动力特性。因此,研究地震作用下水-柱体结构相互作用的动力响应对桥墩和海上风电等柱体结构的设计与评估有重要的意义。对于作用在圆柱和椭圆柱上的动水压力可以推导出其解析解,但是对于矩形等不规则截面形状的竖向等截面柱体结构与水的相互作用的高效分析方法研究仍有重要意义。本文基于势流理论和相应的边界条件,利用比例边界有限元法建立了竖向等截面柱体结构-水相互作用的频域子结构分析模型。
二
研究内容
1
频域子结构模型
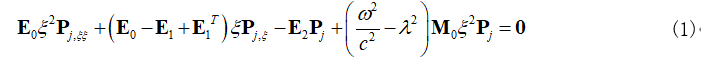
竖向等截面柱体结构-水相互作用问题简化二维模型,然后利用比例边界坐标变换和加权余量法推导二维平面动水压力比例边界有限元方程:
式中,E0、E1、E2、M0
分别为比例边界有限元的系数矩阵,
ξ
表示比例坐标的径向坐标,ω表示圆频率,c 表示波在水中的传播速度,
λ=(2j-1)π/2h
。利用节点力和动水压力之间的关系可以得到动力刚度方程:
该动力刚度方程中的动力刚度可以用连分式形式来表示,利用Matlab可以求解连分式的系数,进而得到动力刚度的数值解。利用交界面处的边界条件可得动水压力的表达式为:

式中M1由单元的质量矩阵装配得到。
2
方法验证
分别以圆柱、椭圆柱和矩形柱体为例,以解析解(圆柱)或有限元大模型解(椭圆柱和矩形柱)为参考解,与本文中的作用在刚性结构截面上的动水力进行对比,验证了本文中基于比例边界有限元法模拟的无限域水体的模型的精度,如图1-3所示。

3
方法应用

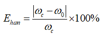
利用本文提出的竖向等截面柱体结构-水相互作用频域子结构分析方法,分析了结构与水的动力相互作用对结构自振频率的影响。图4为圆柱结构的 ωc/ω0和 ωc/ω1两个比值随长细比L的变化(ωc结构在可压缩水体中的自振频率,ω0结构无水时的自振频率,ω1结构在不可压缩水中时的自振频率)。由图中可以看出水与结构的相互作用会减小结构的自振频率,在一定范围内,水体的可压缩性对结构自振频率的影响很小可忽略。图5为椭圆柱和矩形柱的Ehωn 随长细比 L的变化,
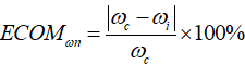
表示结构在可压缩水体中和无水情况下的自振频率的相对误差。由图中可以看出随着长细比的增大结构与水的相互作用对结构的自振频率的影响会减小,当结构的自振频率与水层的自振频率相近时会出现突变。图6为椭圆柱和矩形柱的ECOMωn随长细比L的变化,
表示结构在可压缩水体中和不可压缩水体中的自振频率的相对误差。由图中可以看出可压缩性对结构与水相互作用中结构的自振频率的影响随长细比的增加呈现增大的趋势,但是其影响都小于6%可忽略。

三
研究结论
基于比例边界有限元法,针对地震作用任意几何形状的竖向等截面柱体结构与水相互作用问题,提出了一种精确的频域子结构模型。数值算例表明,本文提出的频域子结构模型具有较高的精度。利用频域子结构模型研究圆柱、椭圆柱和矩形柱与水相互作用时的自振频率。结果表明,水-柱结构的相互作用会降低柱体结构的自振频率,并且随着宽深比和长宽比的增大而减小;水体压缩性对柱体结构与水相互作用中的自振频率影响不大。
内容源于网络,旨在分享,如有侵权,请联系删除
相关资料推荐:
https://ziliao.co188.com/p62358371.html
知识点:地震作用下水与任意形状竖向等截面柱体相互作用的精确频域模型
0人已收藏
0人已打赏
免费0人已点赞
分享
桥梁工程
返回版块19.44 万条内容 · 655 人订阅
阅读下一篇
基于整体-局部数值模型的焊接钢梁三维疲劳裂纹扩展分析一 研究意义 焊接钢梁的疲劳强度是钢桥的重要设计指标。然而在处理既有钢桥的疲劳问题时,会面临两个难题:一是在荷载历史不清楚的情况下,既有桥梁的剩余疲劳寿命难以估计,这也是基于S-N曲线疲劳评估方法应用时主要的技术障碍之一;二是由于目前的研究几乎都只集中在边界条件不变的构件层面,不能考虑局部构件损伤与结构整体响应的相互作用。既有研究证明,结合恰当的现场检测数据,采用断裂力学方法,可以对在役结构进行疲劳评估,而且不需要获取结构的受载历史。因此,本文将沿用断裂力学手段,提出和验证基于整体-局部数值模型的三维疲劳裂纹扩展分析方法,并将此方法应用于实际铁路钢桁梁桥焊接钢梁的剩余疲劳寿命估算,探讨局部损伤和整体结构响应的相互作用对于疲劳评估结果的影响。
回帖成功
经验值 +10
全部回复(0 )
只看楼主 我来说两句抢沙发