一
研究意义
随着我国高速公路和高速铁路的大规模建设以及中长期铁路网从内陆向近海岛屿的延伸,我国的近海区域修建了愈来愈多的跨海桥梁。不同于内陆区域的桥梁,跨海桥梁容易遭受到台风、巨浪甚至海啸等复杂的海洋动力环境的侵袭,可能受到不同程度的结构损伤,造成严重的经济损失。因此,准确预测极端波浪影响下跨海桥梁上部结构的波浪力荷载,对跨海桥梁的安全设计具有重要的指导意义。同时,势流理论是研究波浪与近海结构相互作用的一种经典理论方法,相较于数值模拟方法,势流理论方法在计算成本较低的情况下可以实现波浪力的快速计算。鉴于此,本文针对淹没状态下箱梁上部结构所受的波浪力估算问题,提出了二维波浪与箱梁作用的势流理论模型。
二
综述内容
1
势流理论模型
对于水平海床上的波浪与结构物的作用问题,一般可以采用分离变量法求解Laplace控制方程。本文采用二维势流理论方法进行波浪力作用的数值求解。对于波浪引起的周期性问题,可以将时间因子进行分离,将速度势表示为:

(1)
式中,ω表示入射波浪角频率;?表示空间坐标决定的复速度势;Re表示取实部。基于该方法可以得到波浪与桥梁上部结构作用的频域解?(x,z),并最终乘以时间因子,取实部得到波浪力时程。
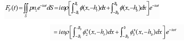
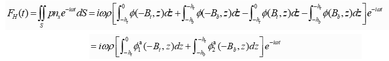
淹没箱梁结构波浪作用示意图如图1所示,可以沿着x = ±B1和x = ±B2将流场区域分为5个子区域,然后分别对不同区域作特征展开,并在各区域的交界处利用速度势匹配和速度匹配,建立8组联立线型方程组,确定势函数的待定系数,该方法的推导过程相对繁琐,计算量较大。因此,本文采用将速度势分解成正对称和反对称的处理方式,实现计算问题的简化,进而用特征展开和边界匹配方法求解得到流场各子区域的速度势,并依据伯努利原理对结构边界波浪力进行积分求解,即可求得波浪作用在淹没箱梁结构上的作用力分量:
(2)
(3)
其中,FH 和 FV 分别是箱梁所受波浪力的水平和竖直分量,n’为物面的单位法向矢量;p为流场压强(Pa);l’为压力作用的到坐标原点的距离(m);ρ为水密度(kg/m3)。

图1 淹没箱梁结构波浪作用示意图
2
模型验证
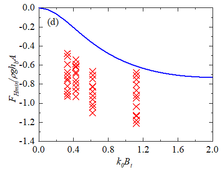
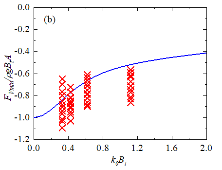
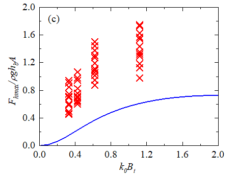
本文将所建立的理论模型计算结果与Zhang等人在1:30缩尺比的箱梁波浪力试验中所测得的箱梁波浪力进行对比,以进一步验证本文所建立的淹没箱梁结构波浪力理论模型的有效性。由于试验测试了不同波高条件,而理论模型计算结果与波高呈线性相关,因此对理论计算和试验结果进行无量纲处理。同一次试验中采集了多个周期循环对应的波浪力,不同周期循环次数对应的波浪力存在波动,因此将其中的多个峰值波浪力结果结果同时进行展示(如图2)。




图2 波浪力峰值理论计算结果与试验结果对比图
经比较发现,箱梁结构所受到的无量纲化正向和负向竖向力理论计算结果整体与试验结果变化趋势相同且数值接近,其绝对值随着k0Bt的增大均呈减小趋势。而无量纲化的水平力理论计算结果整体小于试验测试结果,试验结果随着k0Bt的变化幅度相对较大。相对而言,负向水平力峰值与理论结果更为契合。通过试验现象和理论方法对以上规律进行分析,由于试验中淹没状态下的波峰作用于箱梁时,部分水体超过箱梁顶部,从上方作用于箱梁结构,导致了正向竖向力峰值降低,而理论计算过程中,箱梁所受竖向力的积分范围为箱梁结构的下方边界,因此高估了竖向力。整体而言,该势流理论模型的竖向力计算结果与试验结果大致吻合,说明该方法可以用于快速估算淹没状态下箱梁结构所受到的波浪力。
3
箱梁结构参数对波浪力的影响研究
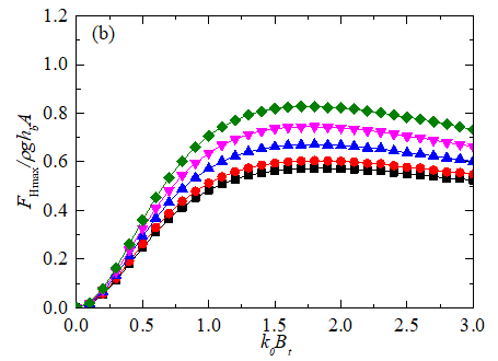
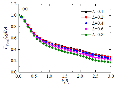
箱梁结构的波浪力不仅受到波浪参数和淹没深度的影响,而且与箱梁的结构尺寸密切相关,为研究箱梁结构尺寸对于箱梁所受波浪力的特点,本文采用势流理论方法进行波浪力计算,分别考虑相对腹板宽度L* = Bb/Bt,相对翼缘厚度W* = ht/hb,相对箱梁高度D* = hb/d,以及相对翼缘宽度Z*= Bt/d。计算选取波周期考虑试验中的主要周期范围。该四类无量纲量基本包括了与箱梁结构尺寸相关的主要参数,且参数取值基本覆盖了箱梁结构尺寸可能的变化范围。将势流理论方法计算得到的波浪力竖向分力和水平分力分别按照ρgBA和ρghbA进行无量纲化,即可得到箱梁结构尺寸参数影响下的无量纲波浪力峰值变化规律,如下图3所示。


图3 相对腹板宽度对淹没状态下箱梁波浪力峰值的影响规律
不同的相对腹板宽度L*工况,其无量纲竖向力和水平力的随波数k0的变化趋势基本一致。当其他条件不变的情况下L*增大时,即增加箱梁腹板的宽度,会引起竖向力缓慢减小。总体而言,相对腹板宽度L*和相对翼缘厚度W*两类无量纲箱梁结构尺寸参数的影响规律相近,其数值增长导致了箱梁无量纲竖向力的降低,以及无量纲水平力的增长。相对箱梁高度D*引起了箱梁无量纲竖向力变化与前两者类似,但无量纲水平力的变化规律存在较大差异,在k0Bt较小和较大时的变化规律相反。在常见的周期范围内,该三类参数的增加主要导致结构无量纲竖向波浪力的降低,和无量纲水平波浪力的增加。相对翼缘宽度Z*引起了箱梁无量纲竖向力变化与前三者相反,无量纲水平力的变化规律也存在较大不同。由此可见,在进行极端波浪力作用的安全设计时,需要综合考虑各结构尺寸参数的影响,进行计算分析,而不是简单的调整某一项尺寸参数。
三
结论与展望
本文采用势流理论,提出了跨海桥梁箱梁上部结构的波浪力计算方法,通过截断阶数的稳定性分析以及与以往研究的准确性对比验证。进而基于该方法研究了跨海桥梁上部结构形式对波浪力的影响,分析了箱梁上部结构无量纲尺寸对波浪力的影响规律。得到以下结论:
(1)相较于水槽试验和数值仿真,本文提出的基于势流理论的跨海桥梁箱型上部结构波浪力的计算方法更快速高效的,并能较为准确的估算淹没状态下箱梁上部结构所受的波浪荷载;
(2)在几何形状相似的情况下,淹没状态的箱梁所受水平波浪荷载要小于T梁,而当k0Bt值小于0.3时,两种上部结构所受的竖向波浪荷载基本相同,当k0Bt值大于0.3时,箱梁所受的竖向波浪荷载要大于T梁,较大的竖向力容易造成梁体的浮空进而导致移位和落梁破坏;
(3)箱梁结构的翼缘和腹板尺寸对于波浪结果存在一定影响,上翼缘相对高度和腹板相对宽度的增加都将导致竖向波浪荷载的降低,但同时将引起水平波浪荷载的增加,在考虑极端波浪作用的结构安全设计时需要综合考虑各类尺寸的影响;
(4)本文在研究过程中,仅对传播方向垂直于桥梁跨度方向的入射波浪进行了研究,而实际工程中波浪与跨海桥梁结构相互作用存在夹角,并且研究中假定极端波浪与箱梁相互作用过程中箱梁为刚体,忽略了结构动力响应对波浪场的影响。未来将对入射波的角度以及结构动力响应对极端波浪荷载的影响做进一步研究。
内容源于网络,旨在分享,如有侵权,请联系删除
相关资料推荐:
预应力桥梁现浇连续箱梁上部结构
https://ziliao.co188.com/p160109.html
知识点:基于势流理论的淹没状态下跨海桥梁箱梁上部结构波浪力研究
0人已收藏
0人已打赏
免费0人已点赞
分享
桥梁工程
返回版块19.44 万条内容 · 655 人订阅
阅读下一篇
中国桥梁结构健康监测标准化研究进展一 研究意义 结构健康监测技术是确保桥梁运营安全的重要手段。经过多年的发展和完善,桥梁结构健康监测技术已经从理论研究走向工程实践,并被桥梁领域的工程师广泛认可。得益于中国桥梁工程的大规模建设以及桥梁结构全寿命运营安全的强烈需求,桥梁结构健康监测已成为中国土木工程领域中的一个非常有潜力的新兴行业。由于行业行为缺乏统一的准则和纲领,导致桥梁结构健康监测系统的实施效果参差不齐。因此,亟待制定完善的桥梁结构健康监测标准,来规范桥梁结构健康监测行业的行为和推动桥梁结构健康监测技术的发展。本文对中国桥梁结构健康监测标准化的研究进展进行了梳理和总结。首先,阐述了中国桥梁建设的成就、特点以及面临的挑战;其次,介绍了桥梁结构健康监测的行业发展现状;进而,详细总结了现有的桥梁结构健康监测行业标准、规范和规程,包括系统的设计、实施、管理和维护,传感器的选型、布设和安装,以及数据的采集、存储、处理和预警等。旨在为桥梁结构健康监测标准的推广和完善提供帮助。
回帖成功
经验值 +10
全部回复(1 )
只看楼主 我来说两句 抢板凳理论研究,发篇论文还是不错的。
实际应用可能差点意思
回复 举报