一
研究意义
在大体积混凝土结构中,由于混凝土的导热系数较低,水泥水化产生的大量热量会积聚。高温下的混凝土内部趋于膨胀,而接近环境温度的混凝土表面趋于收缩,从而在PC箱梁的表面产生拉应力。当拉应力超过抗拉强度时,混凝土表面会出现裂缝。但是,在PC箱形桥梁中不允许出现裂纹,因为裂纹会对结构的安全性、整体性和耐用性产生不利影响。因此,有必要研究固化过程中PC箱梁的温度和应力的变化,并提出防止开裂的措施。目前,已有许多防止水泥水化热引起热裂纹的技术被提出,例如预冷却、管道冷却、表面隔热层和低水化热水泥。在混凝土大坝、地基和其他大体积混凝土结构中,通过嵌入式管道水流达到冷却目的。在过去的几十年中,人们做了大量关于水泥水化热对大体积混凝土结构影响的研究。但是,由于桥墩顶部PC箱梁的结构复杂,且在梁体内有大量的预应力钢绞线,因此对PC箱梁的研究报道很少。在混凝土结构中使用管道冷却时,冷却效果与冷却参数密切相关。冷却参数的取值,即冷却水温度、冷却水流量、冷却时间和冷却阶段,对桥墩顶部PC箱梁的温度控制至关重要。此外,混凝土的热工参数对于模拟大体积混凝土结构的温度场至关重要。早先,混凝土热工参数是根据实验室测试或凭经验取值,不可避免地对温度场的计算精度产生很大的影响。因此,确定材料热参数的方法需要进一步讨论。本文提出了一种逆向分析方法来获得绝热温升函数的未知参数,建立了热—水—力学模型,该模型结合了风速、环境温度和管道冷却系统,以追踪水化反应时期桥墩顶部PC箱梁中温度和应力的变化。最后,使用该模型评估管道冷却系统的关键因素对早期PC箱梁热力学行为的影响。
二
研究内容
1
现场测试与数据参数
选取如图1所示桥墩顶部的双室PC箱梁作为水化热分析的对象。箱梁截面的宽度为20 m,高度为7 m,在PC箱梁中施加了三向(纵向,横向和垂直)预应力。PC箱梁的详细构造如图2所示,两层进行浇筑。首先浇筑底板和腹板的一部分(3.2 m以下),剩下的部分在8小时后浇筑。

图1 墩顶PC箱梁

图2箱梁构造
PC箱梁由立方体强度为55 MPa的混凝土制成,表1中列出了包括比热、密度、导热系数和膨胀系数在内的热性能。在PC箱梁的建造期间,利用混凝土棱柱体测试混凝土在早期水化时的弹性模量和抗拉强度,表2列出了弹性模量和拉伸强度的代表性测试数据。
表1 热性能参数

表2 弹性模量与抗拉强度

布置在PC箱梁上的仪器包括温度传感器和振弦式应变传感器。由于PC箱梁的结构和边界条件的对称性,温度和应力分布也是对称的。因此,只有一半的结构布置了温度和应力测量点。仪器布局的详细信息如图3所示,其中T和G分别代表温度和应力的测点。

图3 传感器布置
环境温度和风速对PC箱梁与周围环境之间的对流传热有重要影响。环境温度和PC箱梁的表面温度之间的差异是对流传热的先决条件。另外,对流传热系数的值与风速密切相关。根据施工现场的实测数据,水化反应时期箱梁热力学分析中使用的环境温度和风速如图4所示。

图4 环境温度与风速
2
分析模型与热力学行为分析
基于典型PC箱梁的测试数据,使用计算机程序ANSYS开发了一种数值分析方法,以追踪水化时期PC箱梁的行为。用于研究管道冷却系统对PC箱梁固化过程中热力学行为影响的分析方法包括四个步骤。第一步,采用遗传算法和热分析方法,从PC箱梁的实测温度中获得混凝土的绝热温升函数。第二步,将绝热温升函数作为输入数据输入到ANSYS中,建立包含风速,环境温度和管道冷却系统的热-水-力模型。第三步,比较了带与不带管道冷却系统的PC箱梁的温度和应力,揭示了管道冷却系统对水化反应时期PC箱梁热力学行为的影响。最后,通过比较温度和应力的变化,分析了冷却时间,冷却水流速,冷却水温度和冷却时间阶段等不同参数对早期PC箱梁热力学行为的影响,确定管道冷却系统的基本设计原则。图5展示了与建议的过程相关的流程图,热-水-力学模型详细的过程和参数请见英文原文。

图5 分析方法流程
该模型用于跟踪固化过程中PC箱梁的温度和应力的变化,并量化了管道冷却系统对PC箱梁的热-结构行为的影响。通过将计算结果与实际PC箱梁的测量数据进行比较,可以验证所开发的数值分析方法的可靠性。水化反应时期不带管道冷却系统的PC箱梁的在三维空间的温度分布如图6所示。温度分布具有明显的分层现象,这是由于桥墩顶部的PC箱梁分为两层进行浇筑。由于水泥水化热的聚集,底部翼缘板、腹板和隔板的结合处的温度比其他位置的温度高得多。顶部翼缘板和腹板交界处的混凝土由于顶部翼缘板中存在大量预应力导管,因此热量蓄积较少。预应力管与空气之间的接触加速了热量的流失,导致顶部翼缘板的温度降低。

图6 PC箱梁水化过程中温度分布
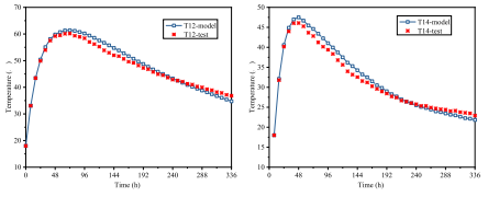
图7显示了在不带管道冷却系统的PC箱形桥梁中,在具有代表性的测点T12和T14处的预测温度和实际测量温度之间的对比,这些测量点分别位于底层和顶层的中心。可以看出,预测的水化热温度与实测数据吻合良好,表明本文建立的有限元模型能够预测墩顶PC箱梁的温度分布。PC箱梁固化过程中的温度变化可以分为四个阶段,即阶段1,阶段2,阶段3和阶段4。在第1阶段(约32小时),由于水泥水化作用产生大量热量,温度迅速升高。在第2阶段(32小时至64小时之间),温度缓慢升高主要是由于水泥水化产生的热量逐渐降低。在第3阶段(64小时至192小时之间),温度开始下降,这是由于水泥水化作用进一步降低所导致的,其产热率小于与周围环境的热传递。在第4阶段(192小时后),由于温度梯度较低导致与周围环境传热不良,温度下降的速度非常缓慢。

图7 预测温度与测试温度比较
图8展示了PC箱形桥梁中最高,最低温度和温差的变化。对于不带管道冷却系统的PC箱形桥梁,最高温度峰值为67°C,出现在64 h。最低温度由于环境温度的影响而略有波动。PC箱梁的最大温差为31°C,发生时间为72h。当PC箱梁使用管道冷却时,由于管道冷却不会影响表面温度,因此最低温度保持不变。最高温度的峰值可以降低约7°C,并且由于较低的最高温度,最大温度差也会减小。最大温差在48 h达到峰值24°C。

图8 有无管道冷却系统下PC箱梁温度比较
图9分别展示了在不带管道冷却系统的PC箱梁的表面和中心的代表性测量点G9和G14沿纵向方向的预测应力和实测应力之间的比较。可以看出,预测数据与实测数据吻合良好。图9中的应力变化与图7中的温度变化相似,只是每个阶段所对应的时间不同。应力演化的四个阶段分别为0到56h,56到120h,120到240h和240到336 h。

图9 预测应力与测试应力比较
图10显示了在水化作用时期PC箱梁中最大主拉应力的变化。对于没有管道冷却系统的PC箱梁,PC箱梁的最大主拉应力达到1.73 MPa的峰值,出现在96h,最大主拉应力在96h至176h之间基本保持不变,然后缓慢降低。对于带有管道冷却系统的PC箱梁,在冷却过程中(0至48h之间),最大主拉应力的增长比没有管道冷却系统的情况更快。在此期间,最大的主拉应力出现在管道周围。冷却后,管道周围的主拉伸应力迅速降低,并且最大主拉伸应力的位置从管道附近转移到其他位置。因此,最大主拉应力在48到56 h之间突然变化,如图14所示。随后,由于水化热引起温度梯度,最大主拉应力继续增加。与没有管道冷却的情况相比,使用管道冷却可以将最大主拉应力的峰值降低约0.22 MPa。由此可以得出结论,管道冷却是提高PC箱梁抗裂安全储备的有效措施。

图10 有无管道冷却系统下PC箱梁最大主拉应力比较
3
参数分析
利用最高温度和最大主拉应力的变化来评估冷却时间,冷却水流量,冷却水温度和冷却阶段等不同参数对固化初期PC箱梁的热力学性能的影响。冷却时间(TM)取1天、2天和3天,以评估冷却时间对水化反应时期PC箱梁的热力学性能的影响。PC箱梁在不同冷却时间下最高温度和最大主拉应力的变化过程如图11所示。从图11(a)可以看出,延长冷却时间可以降低最高温度。但是,延长冷却时间会降低冷却效率。当冷却时间从1天延长到2天时,峰值温度降低约3°C,而当冷却时间进一步延长1天时,峰值温度仅降低约1°C。图11(b)显示,当冷却时间为3天时,最大主拉应力超过抗拉强度。这主要是由于随着混凝土温度的升高,冷却水和混凝土之间的温差会增加,从而导致管道周围混凝土的拉应力更大。因此,应合理控制冷却时间以防止开裂的发生。

图11 不同冷却时间下PC箱梁温度与拉应力变化
冷却水流速(WF)取为0.11 m / s、0.21 m / s和0.31 m / s。图12显示了在水化反时期,不同冷却水流量下,PC箱梁的最高温度和最大主拉应力的变化过程。图12(a)表明,增加冷却水流量可以降低最高温度。当水流量增加0.1 m / s时,峰值温度降低约1°C。如图12(b)所示,当冷却水流量为0.21 m / s时,可以有效降低最大主应力。然而,加速或减速冷却水流速将导致主拉应力的增加。这是由于当冷却水流量缓慢时,不能有效地降低最高温度,而管道周围的温度则相对较低。尽管较大的冷却水流速可以有效地降低最高温度,但由于热传递量也随之增加,管道附近的混凝土温度大约等于冷却水温度,这会增加管道和混凝土之间的温差,从而在管道周围产生较大的拉应力。

图12 不同冷却水流速下PC箱梁温度与拉应力变化
图13显示了PC箱梁在水化时期,不同冷却水温度(WT)(12°C,15°C和18°C)下最高温度和最大主拉应力的变化过程。降低冷却水温度可以降低最高温度。随着冷却水温度和初始浇筑温度之间的差异增大,冷却效果更加明显。但是,降低冷却水的温度会增加冷却水和混凝土之间的热梯度,导致管道周围的主拉应力增加,如图13(b)所示。因此,应该适当地考虑冷却水温度,以便可以有效地降低最高温度以及最大主拉应力。

图13 不同冷却水温度下PC箱梁温度与拉应力变化
目前,一些学者提出了一种用于大体积混凝土的三阶段管道冷却方法。第一阶段的目的是降低混凝土的峰值温度,第二阶段的目的是分散温差并减少随之而来的应力,最后阶段的目的是稳定混凝土的温度。冷却阶段(PD)分为一阶段,二阶段和三阶段。一阶段冷却是指浇注完成后2天内连续冷却,冷却水温度为15°C。二阶段冷却是指在浇筑完成后的第一天和第三天进行冷却,冷却水温度分别为15°C和35°C。三阶段冷却是指在浇注完成后的第一,第三和第五天进行冷却。冷却水温度分别为15°C,35°C和30°C。图14显示了在水化反应时期的不同冷却阶段下,PC箱梁的最高温度和最大主拉应力的变化过程。一阶段冷却在降低混凝土最高温度方面具有最佳效果。与多阶段冷却相比,使用一阶段冷却可以将PC箱形桥梁的最高温度降低2°C。如图14(b)所示,采用一阶段冷却或二阶段冷却的PC箱梁的最大主拉应力远小于抗拉强度,而与两阶段冷却相比,三阶段冷却对应力发展的影响很小。通常,一阶段冷却和两阶段冷却均可用于降低PC箱梁中水化热带来的不利影响。

图14 不同冷却阶段PC箱梁温度与拉应力变化
研究结论
结合测试数据,采用数值分析方法研究了PC箱梁在水化时期的热力学行为,以及不同的管道冷却参数对PC箱梁在固化过程中的力学行为的影响。数值分析的主要结论如下:
(1)提出的绝热温升函数的逆分析方法,以及结合风速、环境温度和管道冷却系统的热-水-力学模型,能够预测桥墩顶部的PC箱梁在水化反应时期的热力学行为。
(2)分层浇注式PC箱梁的温度分布具有明显的分层现象,最高温度出现在下翼缘,腹板和隔板的结合处。由于大量的预应力管道,顶部翼缘板和腹板交界处的混凝土温度较低。
(3)与没有管道冷却的情况相比,在PC箱梁中使用管道冷却可以显著降低温度和主拉应力。但是,在冷却过程中,在管道附近产生的主拉应力会增加的更快。
(4)增加冷却时间,冷却水流量或降低冷却水温度会降低最高温度,但在冷却过程中会增加管道周围的主拉应力。因此,应合理考虑冷却时间,冷却水流量和冷却水温度,以防止PC箱梁开裂。
(5)一阶段冷却和二阶段冷却都是有效的措施,可以最大程度地减少PC箱梁中水化热导致的不利影响。与两阶段冷却相比,三阶段冷却对防止PC箱梁开裂的意义不大。
内容源于网络,旨在分享,如有侵权,请联系删除
相关资料推荐:
https://ziliao.co188.com/d62582272.html
知识点:管道冷却系统对预应力混凝土箱梁在水化反应时期热力学行为的影响
0人已收藏
0人已打赏
免费1人已点赞
分享
桥梁工程
返回版块19.44 万条内容 · 651 人订阅
阅读下一篇
强台风下大跨度斜拉桥的位移监测与分析一 研究意义 近年来,随着全球气候的持续恶化,台风、龙卷风、下击暴流等极端气候日益频发。台风可引发大跨度桥梁的大幅振动,从而威胁桥梁的运营安全。结构静/动力位移是反映强台风作用下大跨度桥梁运营安全的重要指标,往往通过数值模拟或风洞试验获得,难以避免地
回帖成功
经验值 +10
全部回复(4 )
只看楼主 我来说两句-
jzhdajia
沙发
2022-11-22 12:07:22
赞同0
-
jianzhudj
板凳
2022-11-22 10:47:22
赞同0
加载更多管道冷却系统对预应力混凝土箱梁在水化反应时期热力学行为的影响,谢谢楼主分享好资料谢谢啦。
回复 举报
管道冷却系统对预应力混凝土箱梁在水化反应时期热力学行为的影响,谢谢楼主分享好资料谢谢啦。
回复 举报