一
研究意义
旧塔科马桥的风毁引起了人们对大跨度桥梁抗风设计的重视,颤振不稳定性成为了悬索桥、斜拉桥等大跨度柔性桥梁建设过程中所需要重点关注的问题之一。来流风的作用会使桥梁受到气动自激力,并可能导致桥梁在较高的风速下发生气动失稳现象。近几十年来,尽管学者们已经对桥梁颤振性能的湍流效应进行了研究,但具体的影响机制还未达成共识。这主要受限于风洞设备的性能,例如试验中的湍流尺度过小。本文分析了自激力的频域和时域特征,为研究湍流对桥梁颤振不稳定性的影响,分别进行了均匀流和湍流下的颤振分析。湍流的影响直接在时域内进行模拟,以避免对运动方程进行复杂的随机参数激励分析。
二
研究内容
1
桥梁动力特性分析
本文以主跨为808m的Taihong Bridge作为研究对象。该桥为悬索桥,其加劲梁采用了流线型钢箱梁,宽度37.5m,高度3m。

图1 桥梁立面布置图
利用有限元软件ANSYS建立了该桥的三维有限元模型,分析了结构的动力特性,包括自振频率和振型,结果如表1所示。
表1 桥梁的动力特性

2
颤振导数识别
颤振导数描述了桥梁的气动自激力特性,是桥梁颤振性能计算中最重要的参数。加劲梁每延米自激升力、阻力和力矩可以分别用式(1)、式(2)和式(3)描述:
![]() |
1 |
|
2 |
|
3 |
本文采用单自由度谐波振动识别加劲梁断面的颤振导数,其结果如图2所示。图2仅给出了未考虑自激阻力时的8个颤振导数随风攻角的变化,但在后续颤振性能分析中将使用考虑自激阻力时的18个颤振导数。


图2 加劲梁的颤振导数
3
均匀流作用下桥梁的颤振性能(频域分析)
桥梁在均匀来流下的运动方程可以表示为式(4):
![]() |
4 |
式中M、C和K表示整体质量、阻尼和刚度矩阵,q表示节点位移向量,Fse表示节点力向量。
本文通过三维有限元颤振分析方法,计算了不同来流风攻角作用下桥梁的颤振临界风速和振动模态。在分析中,添加一对自定义的Matrix27矩阵单元来模拟作用在主梁各单元上的气动力,其中一个Matrix27矩阵单元用于模拟气动刚度,另一个Matrix27矩阵单元用于模拟气动阻尼。添加气动刚度和气动阻尼矩阵后,求解桥梁的运动方程,由复模态特征值实部的大小可以判断桥梁的颤振临界风速。图3给出了各复模态特征值实部随风速的变化情况,可以看到该桥的颤振临界状态由第16阶模态所确定,对应结构的一阶对称扭转模态。在颤振临界状态时,对称扭转模态与对称竖弯模态发生了耦合。此外,不同攻角下桥梁的颤振临界风速和振动频率如表2所示。

图3 复模态特征值实部随风速的变化
表2 多模态颤振分析结果

4
均匀流作用下桥梁的颤振性能(时域分析)
在时域内进行颤振性能分析,可以将单位长度加劲梁的自激力表示为脉冲响应函数,如式(5)、式(6)和式(7)所示。
![]() |
5 |
|
6 |
|
7 |
根据脉冲响应函数表示的自激力与Scanlan用颤振导数定义的自激力之间的谱特征的等效性,可以得到脉冲响应函数与颤振导数之间的关系如下:

以竖向振动引起的升力的脉冲响应函数为例,可以表示为:
|
8 |
在得到相应的参数后,对上式进行傅里叶变换,脉冲响应函数可表示为:
|
9 |
将上式代入式(5),竖向振动引起的气动升力可以表示为:
|
10 |
采用相似的方法,其它自激力部分的表达式均可得到。得到所有气动自激力的表达式后,利用ANSYS进行桥梁颤振性能的时域分析。桥梁的运动方程表示为式(11),时间步增加后桥梁的运动方程变为式(12)。
|
11 |
|
12 |
考虑到结构的几何非线性和气动力非线性,采用Newmark-β法求解该运动方程。节点加速度和速度可以表示为:
|
13 |
|
14 |
根据式(13)和式(14),通过迭代可以得到结构在某一时刻的加速度和速度。逐步增大风速,对结构进行瞬态动力分析,可以得到桥梁的颤振临界风速。
图4分别给出了0°风攻角作用下,来流风速达到77m/s,79m/s和80m/s时桥梁跨中的竖向和扭转位移响应时程。在这三个风速下,桥梁的位移响应分别出现了收敛,稳定和发散,对应颤振临界状态前,颤振临界状态时,颤振临界状态后。因此,可以判断桥梁在0°风攻角作用下的颤振临界风速为79m/s。不同风攻角下,桥梁的颤振临界风速以及位移响应的卓越频率如表3所示。与表2进行比较,时域分析得到的颤振临界风速略低于频域分析结果。

(a) 风速77m/s

(b) 风速79m/s

(c) 风速80m/s
图4 桥梁跨中的位移时程曲线
表3 时域方法的分析结果(均匀流)

5
湍流作用下桥梁的颤振性能(时域分析)
由于颤振导数是对自激力的直接描述,因此许多学者研究了湍流对颤振导数的影响,但结果显示其影响程度似乎并不显著。通过试验获取颤振导数时,由于湍流尺度无法完全按照实际情况进行模拟,故湍流对颤振导数的影响可能无法充分反映其对桥梁颤振性能的影响。在本文的分析中,颤振导数仍然采用前述在均匀流条件下识别得到的结果。为了研究湍流对颤振临界风速的影响,在自激力表达式中,将湍流风速成分加在平均风速项上。仍以竖向振动引起的气动升力为例,这时其表达式为:
![]() |
15 |
由于缺乏风场实测资料,本文采用谐波合成法模拟脉动风速时程,模拟了4种湍流强度(5%~20%),以研究不同湍流强度对桥梁颤振性能的影响。图5(a)给出了桥梁跨中和1/4跨位置处的脉动风速时程(湍流强度为5%)。图5(b)给出了目标风谱和模拟结果,可见模拟的风谱与目标谱吻合较好。

(a) 脉动风速时程

(b) 脉动风谱
图5 脉动风的模拟
不同湍流强度下,桥梁的颤振临界风速大小如图6所示。与均匀来流下桥梁的颤振临界风速相比,湍流有利于桥梁的颤振稳定性。当湍流强度从5%增加到20%时,桥梁的颤振临界风速单调增加。需要指出的是,当湍流强度相对较低时(如5%和10%),桥梁的颤振临界风速与均匀来流条件下的结果基本相同,即湍流的有利效果不明显。当湍流强度相对较高时(如15%和20%),湍流的存在使桥梁的颤振临界风速提高了5%~10%,这主要是因为湍流降低了气动力的相关性。
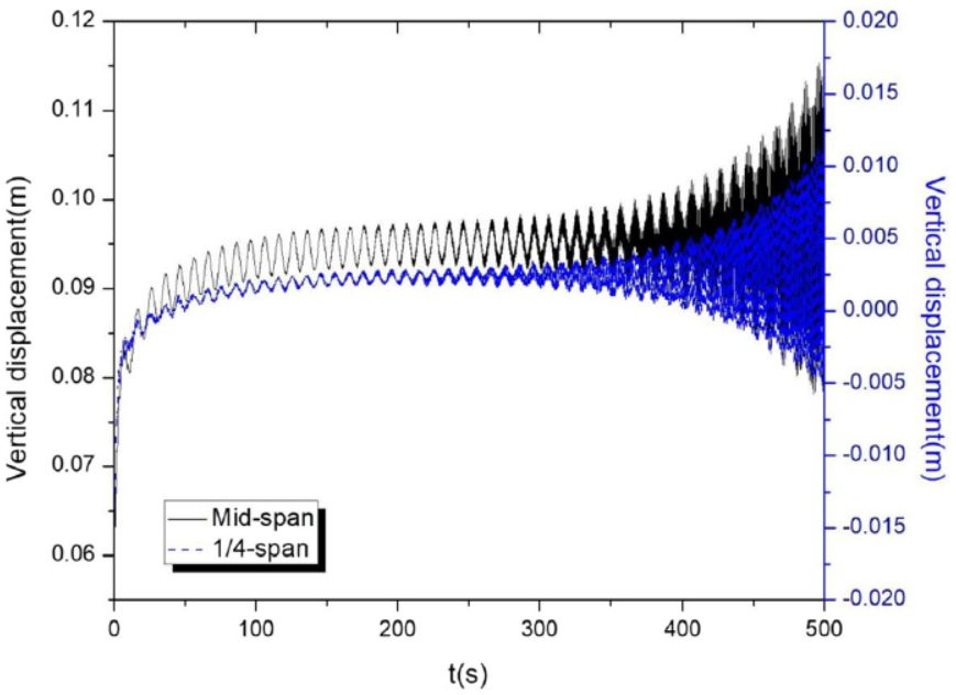
图7比较了均匀流和湍流作用下,桥梁跨中和1/4跨位置处的竖向位移响应时程。可以看到,在均匀流作用下,跨中和1/4跨位置处的竖向响应表现出了较高的同步性,因此更有可能加强风与桥梁之间的耦合作用。在湍流作用下,桥梁不同位置处振动的一致性会被打破,影响与运动相关的颤振力,从而使颤振临界风速增大。

图6 不同湍流强度下桥梁的颤振临界风速

(a) 均匀流

(b) 湍流
图7 不同来流情况下桥梁跨中和1/4跨位置处的竖向位移响应
三
研究结论
虽然频域颤振分析和时域颤振分析在理论上是等价的,因为有理函数是从试验得到的颤振导数中提取出来的,本文通过频域颤振分析和时域颤振分析得到的颤振临界风速还是存在一些差异。频域方法相对简单,因为它直接依赖于试验数据,且计算成本更低,而时域方法在进行桥梁非线性颤振分析、颤—抖振耦合分析等方面时更加灵活、适用。
横桥向的湍流可以提高桥梁的颤振临界风速,其提高幅度与湍流强度有关。研究还发现,湍流会影响桥梁的振动模式和空间振动相关性。但需要指出的是,本研究中并未考虑湍流对颤振导数的影响。
湍流对桥梁颤振稳定性的影响是一个复杂的过程,需要综合考虑其对颤振导数、自激力的空间相关性、抖振响应及其它因素的影响。关于抖振响应对颤振稳定性的影响正在研究中。为了更深入地了解湍流对桥梁颤振稳定性的影响,还需要通过风洞试验和数值模拟进一步开展研究。
内容源于网络,旨在分享,如有侵权,请联系删除
相关资料推荐:
https://ziliao.co188.com/p83462.html
知识点:湍流对大跨度桥梁颤振性能影响的时域模拟
0人已收藏
0人已打赏
免费1人已点赞
分享
桥梁工程
返回版块19.44 万条内容 · 655 人订阅
阅读下一篇
基于深度学习和小波分析的斜拉索断裂声发射信号识别一 研究意义 斜拉索在服役 期间,由于环境腐蚀和循环荷载作用,通常会发生性能退化。为了保证大跨度桥梁的正常运营,需要能够尽早发现拉索缺陷的无损检测方法。已有研究表明声发射(
回帖成功
经验值 +10
全部回复(1 )
只看楼主 我来说两句 抢板凳很深奥 有点看不懂!
回复 举报