1、道路是三维空间的实体,路线是道路中线的空间位置
2、道路设计过程中,先确定平面的线形,再进行纵断面和横断面设计

行驶中汽车的导向轮与车身纵轴之间的关系→汽车行驶轨迹
现代道路平面线形正是由上述三种基本线形构成的,称为平面线形三要素。
不能适应地形变化,不便于避让障碍,直线过长容易使驾驶员产生麻痹而放松警惕,发生行车事故,夜间行车时,对向行车灯光眩目不利安全

在城镇及附近或其它景色有变化的地点,大于20V是可以接受的,在景色单调的地点最好控在在20V以内
当V≥60km/h时,同向曲线的直线最小长度为6V,反向曲线的最小长度不小于2V
长直线或长下坡尽头的平曲线 ,必须采取设置标志、增加路面抗滑能力等安全措施

1、长直线宜与大半径凹竖曲线组合使用

2、避免“断背曲线”

布设方便,能很好地适应地形,避让障碍,与地形配合得当可获得圆滑、舒顺、美观的路线,又能降低工程造价
使行车景观不断变化,使驾驶员保持适度的警惕,增加行车安全性,也可起到诱导行车视线的作用



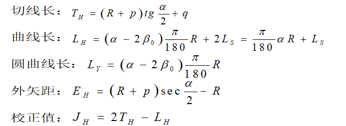
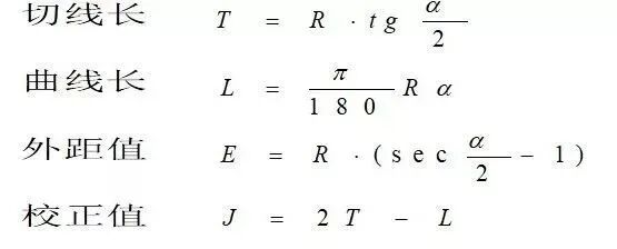
1、几何要素


2、曲线主点桩号里程计算


3、曲线主点桩计算校核

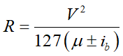
1、汽车在圆曲线路段行驶时会产生离心力F

2、曲线半径指标

一般取
为控制值
当路线的半径大到一定值时,即使汽车在曲线的外侧时,也能获得足够的安全性和很好的舒适性

在直线与圆曲线、圆曲线与圆曲线之间设置的曲率连续变化的曲线
易于适应地形,能很好地与汽车行驶轨迹相适应,使线形连续、美观,但缓和曲线计算、布设较繁琐

路线设计符合汽车转弯时的行驶轨迹,插入缓和曲线,使整条曲线的曲率形成一个连续变化的过程。
汽车以等速转弯时,行驶轨迹曲线上任意一点所对应的曲率半径与行驶的距离(弧长)成反比,这一行驶轨迹特性正好与数学上回旋线方程性质相同。



曲线内移值

曲线切线增长值





为抵消车辆在平曲线路段上行驶时所产生的离心力,而在该路段横断面上设置的外侧高于内侧的单向横坡
用车重产生的向内水平分力来抵消部分离心力,以利于行车安全与稳定
当曲线半径小于表2-20或表2-23中规定的不设超高最小半径时,均应设置超高


任意半径超高横坡度不得大于极限超高横坡度,又不得小于路拱横坡度
任意半径超高横坡度不得大于极限超高横坡度
,又不得小于路拱横坡度




当圆曲线上超高值和缓和段长度一定后,超高缓和应在全长上布设
在设计中应根据超高变化情况,计算出任意断面上路肩两侧边缘及路中点对原设计标高(未加宽前路肩边缘标高)的相对高差,为施工放样提供依据




城市道路超高方式应根据地形状况、车道数、超高横坡值、横断面形式、便于排水、路容美观等因素决定
单幅路及三幅路机动车道宜绕中轴旋转;双辐路及四幅路机动车道宜绕中央分隔带边缘旋转,使两侧车行道各自成为独立的超高横断面


高速公路、一级公路、二级公路及设计速度为40km/h的三级公路应采用第三类加宽值。
对不经常通行集装箱、半挂车的公路,可采用第二类加宽值。
四级公路和设计速度30km/h的三级公路可采用第一类加宽值。


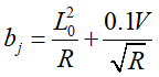
在不设缓和曲线或超高缓和段时,加宽缓和段长度应 按渐变率1:15且不小于20米的要求设置
设置缓和曲线或超高缓和段时,加宽缓和段长度采用与缓和曲线或超高缓和段长度相同的数值
不设缓和曲线,加宽缓和段长度取超高缓和段长度,渐变率不小于1:15,且长度不小于10米

为了使行车能够安全、平稳、顺利地由直线向曲线、由大半径曲线向小半径曲线行驶所设置的过渡段
为消除行车转弯时曲率突变,使行车能从容、顺适地进行曲率变化而设置的曲线缓和过渡段为缓和曲线
为使行车平稳、顺适地进行横坡变化而设置的超高变化过渡段为超高缓和曲线
为适应行车轨迹,顺适地进行宽度变化而设置的加宽过渡段为加宽缓和段
一般根据三方面缓和段长度的计算结果,取其中最长的并按5倍数取整后作为缓和段长度


取一般驾驶员能从容操作方向的(左右转动方向)时间为6S


当道路转角小于7°时,为防止驾驶员在视觉上产生急弯错觉,而导致操纵失误,应设较长的平曲线
平面线形设计整体上尽可能顺直,选择曲线半径尽可能大些,应与自然地形等高线相适应为宜。
在桥梁、隧道内部与进出口路段和平面交叉口前后路段 ,应采用直线为宜。
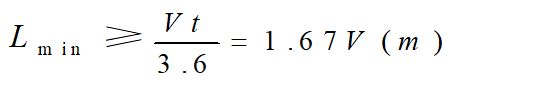
为了行车安全,保证驾驶员能随时看到前方一定距离的道路路段,发现道路上的障碍、迎面来车,及时采取制动或避让措施,所必须的是最短路段距离
在平面线形和纵断面线形设计中,都应有足够的行车视距
(1)道路平面上的暗弯,即处于挖方路段的弯道和内侧有障碍物的弯道,见图a


二、三、四级公路,应满足会车视距的要求,在工程特别困难或受其他限制地段,可采用停车视距,但必须采取分道行驶措施
对向行驶的双车道公路,应根据需要并结合地形,在适当的距离内设置具有超车视距的路段


计算出净横距以后,按比例在各桩号的横断面图上画出视距台,以供施工放样。

公路工程一般山岭地区采用1:2000,丘陵平原地区采用1:5000。
3、根据直线、曲线、转角一览表,按比例绘制道路中线图。
4、在道路中线图上标注出起点、里程表桩、百米桩、曲线主点桩、桥涵与人工构造物桩号位置。
5、按比例勾绘道路中线左右各100~200m范围内的地形等高线,标注地物、地貌、建筑物与构造物位置和名称。
6、对于城市道路平面图,应在现状地形图上,绘出道路设计红线、中线、行车道与人行道的分界线,并绘出分隔带、绿化带、交通岛、沿街建筑及出入口位置与外形。
7、整理、修正(等高线、地物、建筑物、构筑物等)图纸

内容源于网络,旨在分享,如有侵权,请联系删除
相关资料推荐:
https://ziliao.co188.com/d39288051.html
知识点:道路平面设计图文详解
全部回复(0 )
只看楼主 我来说两句抢沙发