
贯通误差指隧道施工由两相邻开挖洞口的施工中线在贯通面处的偏差。有平面贯通误差和高程贯通误差,平面贯通误差又有横向贯通误差和纵向贯通误差。平面贯通误差的估算是平面控制网测量等级设计的主要依据。
一、铁路隧道贯通误差的要求
根据现行的《铁路工程测量规范》中有关铁路隧道控制测量的要求,其贯通误差限差见表4-1、表4-2。

对于平面控制来说主要考虑横向贯通误差,通常将洞外平面控制测量误差作为一个独立误差因素,将地下两相向开挖的洞内导线测量误差分别作为一个独立误差因素。按等影响的原则进行贯通误差的计算,设隧道总的横向贯通中误差为Mq,则洞外平面控制测量引起的贯通中误差为:

洞内导线测量误差引起的贯通中误差为:

对于纵向贯通误差,主要影响隧道中线的长度,对于一般隧道只要满足定测中线的精度即可,基本可以忽略。影响横向贯通误差的因素分别有洞外、洞内的平面控制测量。横向贯通中误差与开挖长度关系曲线见图4-1。

图4-1 横向贯通中误差与开挖长度关系曲线图
二、GNSS洞外控制测量引起的贯通误差的估算
横向贯通误差是布设隧道平面控制网的一项重要指标,在铁路工程测量规范中给出了隧道横向贯通误差的计算公式,若已知各控制点的坐标及方差--协方差阵就可以按照公式计算洞外平面控制网测量误差对横向贯通的影响。
1、近似估算应按下式计算:


2、严密估算应按下式计算:


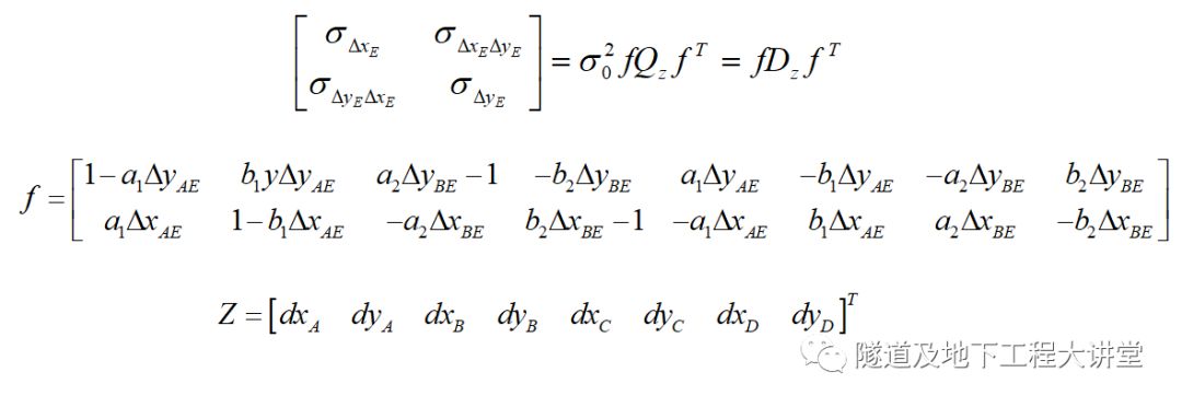
无论隧道控制测量采用何种方法,隧道洞外控制测量的成果一般为隧道进口、出口附近控制点的坐标。这些点的坐标精度及其相对精度在一定程度上集中体现了测量方法的影响和控制网的成果质量。如图4-2,假设在任意两相向洞口有J、C、A、B四个控制点,它们分别表示洞口控制点和进出口附近的定向点,G为隧道贯通点。因此,G点的横向贯通误差是由于J、C、A、B四个控制点的误差引起的。
图4-2 横向贯通误差计算示意图
在不考虑洞口投点误差及洞内导线测量误差时,由平差理论,按求未知数的函数权倒数方法,可以得到贯通点分别由进出口计算的纵横坐标差关系式为:



上式写成矩阵形式,再按协因素传播律得:



三、洞内控制测量引起的贯通误差的估算
洞内控制测量有洞内施工控制导线测量和洞内无砟轨道控制测量,洞内施工控制导线测量的作用是指导施工开挖,保证施工贯通。
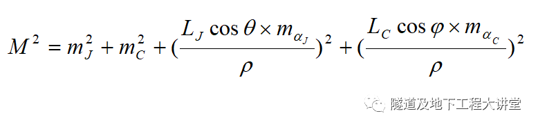
如图4-4所示,隧道洞内导线误差引起的横向贯通中误差见下式:


图4-4 隧道洞内导线误差示意图
而洞内无砟轨道控制测量的作用是为铺设无砟轨道,有CPII、CPIII两级,其中CPIII的测量和洞外一样,在这里不再进行分析,CPII测量由于其附合起算点因隧道开挖情况所限制,且洞内外联测等因素,同洞外线路上的CPII有较大的区别,可采用单导线、双导线、导线锁网等方法进行。洞外线路上的CPII附合在间距小于4km的CPI点上,采用C级GPS或三、四等导线进行测量,而洞内CPII的测量需要进行单独的精度设计,以满足无砟轨道CPII控制精度的要求。
按直伸附合单导线进行洞内CPII精度的计算公式如下:
1、由已知边方位角中误差引起的横向中误差:

2、由测角引起的横向中误差:

3、横向中误差:

4、由测距引起的纵向中误差:

5、最弱点位中误差:


根据以上公式,对CPII满足无砟轨道控制的点位中误差15mm的要求进行计算分析,CPII点位中误差主要是受横向误差的影响,包括已知边方位角中误差引起的横向中误差和由测角引起的横向中误差,已知边方位角中误差是由洞外控制测量的精度决定的,由测角引起的横向中误差是由洞内测量精度决定的。这就要综合考虑洞外、洞内控制测量的精度,以满足无砟轨道铺设的要求。
在洞外控制测量一定的情况下,4km以下的用四等导线即可,4-5km的用三等导线,5-6km的用二等导线,超过6km 后单导线的点位中误差已经超过15mm,6-8km的用二等双组导线。超过8km的需要提高测角、测距精度,采用导线环锁网来进行,洞外已知方位引起的横向中误差已经不能忽视,需要对洞外控制测量的精度再进行提高。
内容源于网络,旨在分享,如有侵权,请联系删除
相关资料推荐:
东北东部铁路通道某段新建铁路工程隧道各级围岩断面初步设计cad图
https://ziliao.co188.com/d63283366.html
知识点:铁路隧道控制测量14讲 之 隧道工程独立坐标系的设计
0人已收藏
0人已打赏
免费2人已点赞
分享
隧道工程
返回版块2.96 万条内容 · 279 人订阅
阅读下一篇
铁路隧道控制测量14讲 之 洞外平面控制测量GNSS控制测量技术是隧道洞外平面控制测量最主要的方法,本章针对洞外GNSS控制测量不同于普通线路GNSS控制测量的特点,对控制点的选埋、布网、观测、平差计算方法进行介绍。 一、选埋及布网 1、选点 (1)隧道GPS网的点位既要满足GPS测量的要求,又要适合隧道贯通测量对控制点的点位要求,即满足进洞施工测量需要。GPS测量要求高度角15°以上没有成片障碍物,以免阻挡卫星信号,因此,选择进出洞口控制点位时,应顾及GPS测量的这一要求。GPS测量还要求远离大功率无线电发射源,以免干扰卫星信号,避开成片平坦表面,以防多路经效应等。
回帖成功
经验值 +10
全部回复(1 )
只看楼主 我来说两句 抢板凳学习了
回复 举报