
GNSS控制测量技术是隧道洞外平面控制测量最主要的方法,本章针对洞外GNSS控制测量不同于普通线路GNSS控制测量的特点,对控制点的选埋、布网、观测、平差计算方法进行介绍。
一、选埋及布网
1、选点
(1)隧道GPS网的点位既要满足GPS测量的要求,又要适合隧道贯通测量对控制点的点位要求,即满足进洞施工测量需要。GPS测量要求高度角15°以上没有成片障碍物,以免阻挡卫星信号,因此,选择进出洞口控制点位时,应顾及GPS测量的这一要求。GPS测量还要求远离大功率无线电发射源,以免干扰卫星信号,避开成片平坦表面,以防多路经效应等。
(2)一般来说,隧道的每个洞口至少要布设3个控制点,其中一点位于隧道的中线上,这3个点必须相互通视,以便能用常规方法引测起始方位,另一方面可以在洞口控制点被破坏时利用另两个点进行恢复。对于在中线上的点,直线隧道可以进出口各布设一个点,对于曲线或组合形式隧道,要在每条切线边上至少布设两个控制点,以便控制整个隧道的方向。中线上的点应用线路定测控制点及中线资料,在实地应用GPSRTK放设,确保其精度,以便与线路的衔接。

图5-1 传统设计定测模式下的洞外控制测量
在布设CPII线路控制网的模式下,隧道平面的位置依据CPII控制网由理论坐标确定。布设CPII线路控制网模式下的洞外控制测量如图5-2所示。

图5-2 布设线路控制网CPII模式下的洞外控制测量
(3)各洞口间的距离一般不会超过20km,用GPS施测小于20km的基线边,即使采用商用软件计算亦能达到比常规方法更高的精度。对于长度大于20km的基线边,应采用精密星历、专用软件进行基线解算。由于GPS测量不要求控制点相互通视,只需布设位于隧道洞口服务于进洞测量的点位,因此GPS隧道控制网不必增设任何过渡点,可直接用GPS联测各洞口的起始方位控制点,形成洞口子网及子网间的联系网,因此比常规测量节省大量工作。由于地形原因,洞口子网点间的距离受到一定的限制,铁路测量规范中规定定向边长不应少于300m,而无砟轨道控制测量中对CPI边的要求是不小于1000m,两方面综合考虑,边长应尽可能长一些。
(4)洞口控制点一般应布设于不填不挖地段,便于保存和引测,洞口开挖后不影响通视及避开施工干扰。洞口投点应纳入控制网内,并采用较好的图形强度连接。有困难时,宜采用图形强度较好和观测条件有利的单三角形与主网联接。洞口投点在直线段应不少于两个;曲线段不少于三个。
2、布网
(1)洞外平面控制网设计应尽量沿两洞口连线方向布设,以减少测量误差的横向影响。布设控制点应控制隧道施工范围内线路位置,应将线路中线控制点纳入控制网内,双线隧道一般应控制线路左线。直线隧道至少应选择进出口附近两点作为中线控制点;曲线隧道应分别在两条切线上选择两点为中线控制点,一般情况下尽可能利用线路交点。控制点点位可选择线路定测控制桩,或者根据现场情况以线路控制桩为依据测设或延长线路控制桩。
(2)控制网应由各洞口(包括斜井)联系网组成。洞口子网布设的控制点不得少于三个,其中至少一个点应为洞口投点。
(3)隧道每个开挖洞口布设的不少于3个稳定可靠的GPS控制点(包括至少1个洞口投点)应互相通视,点间距离应根据测量等级要求确定;布设洞口投点时,应考虑用常规测量方法检测、恢复以及洞内引测的实际需要,洞口投点应与子网的其他两个控制点通视。
(4)洞口投点连接边的边长不宜太短,连接边的两端控制点宜与洞口线路设计高程等高。
(5)隧道GPS控制网宜布设成三角形网、菱形网或大地四边形网。各控制点应与隧道中线点直接构成GPS基线向量的观测值,每个点至少应有2条GPS基线向量的观测值,多数点应有3条以上GPS基线向量的观测值。
(6)布网完成后应进行横向贯通误差的估算,以确定是否能满足工程的要求。
二、外业观测
隧道GPS网应采用静态作业模式作业,接收机标称精度应不低于±(5mm+1ppm),且检定合格。作业前应按规范要求进行相关检测,作业过程中应保持接收设备工作状态良好。观测前,应按设计的控制网网形、卫星可见预报表、GPS接收机数量、交通情况编制GPS观测计划;特别是对于测区环视条件差的测区,因各个点上障碍物的高度角、方位角都不一致,容易造成每站上观测均有四颗或四颗以上卫星,而差分后的共同卫星数少于四颗,因此必须在观测前进行预报分析,制定出准确的调度计划,这样才能保证工作的顺利完成。并根据确定的作业模式,设置作业任务参数;作业中应通过对讲机和移动电话及时沟通信息。
观测应按设计控制网网形进行,洞口子网和联系网可统一观测,每条基线应观测2个时段,时段长度应大于90分钟。观测时,为减小对中及相位中心误差,应对GPS天线进行统一定向,第一时段指北定向,第二时段指南定向。
GPS测量宜使用具有管水准器的基座,测量前按要求进行仪器检校,最少每周对光学对中器检校一次并记录。对中误差小于1mm,每个时段观测前、后各量天线高一次,两次较差值小于2mm,取均值作为最后成果。观测过程中不得在天线附近50m以内使用电台,10m以内使用对讲机;在一时段观测过程中不允许进行以下操作:接收机关闭又重新启动,进行自测试,改变卫星仰角限,改变数据采样间隔,按动关闭文件和删除文件等功能。
观测按照整体计划作业表进行,测量时应使用仪器电子手簿进行自动记录点号、天线高数据,同时认真填写GPS静态观测手簿。
为保证基线向量计算的精度时,选择已知一点在WGS-84坐标系中精度优于20m的绝对坐标,这就要求控制网中至少有一点连续观测6小时以上,以获取精度较高的单点定位解。
GPS测量作业的基本技术要求见表5-1。

观测2个时段时应采用不同的卫星星座。根据GPS定位的特点,每一时段的观测时间与洞口间的距离有关,采用2个时段观测时,不同长度基线的隧道GPS网的观测时间要求如表5-2。

三、洞内控制测量引起的贯通误差的估算
1、隧道GPS网独立环闭合差检验
在外业观测后应对观测数据进行计算并检核观测成果的质量。首先应根据商用软件进行基线解算,然后进行同步环检验,再根据实际布网选择独立基线构成独立环,由于隧道控制网的特殊性,对独立环闭合差的限差计算如下。
(1)独立环闭合差计算的一般公式
若基线观测的加常数误差为a(mm),乘常数误差的b(ppm),则边长为D的基线长度观测中误差为

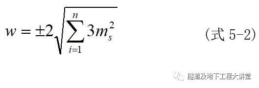
一般可认为GPS基线各分量的方差大致相等且等于长度的方差,设独立环中有n条基线边,取2倍中误差为极限误差,则独立环闭合差限差为

相对误差限差为:

(2)隧道控制网中的独立环闭合差
从隧道GPS网贯通误差的估算可以看出,两相邻洞口的观测精度直接影响到隧道的贯通精度,两洞口点构成的独立环有两种:一种是包含两洞口点的闭合环,另一种是只包含一个洞口内控制点的闭合环,各环一般只有3-4条基线边,下面对这两种闭合环的限差做进一步的探讨。
设隧道长为
,洞口内部点间距离平均为
,对第一种闭合环设其有四条基线,其中两条为相邻洞口间基线,其基线三维中误差按静态观测5mm+1ppm的要求观测,取2倍中误差做为限差则即第一种异步闭合环的相对误差限差为:

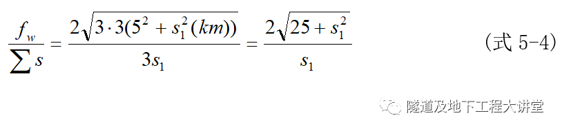
以
=400可计算出各长度隧道第一种闭合环相对中误差限差如表5-4。

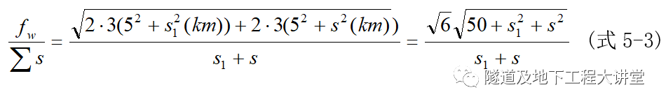
对第二种独立环设基线数为3条,边长平均为
,则其相对闭合差限差为:

按
=300、400、500可算出各种长度隧道第二种独立环闭合差限差如表5-5。

若按GPS基线观测5mm+1ppm,则第二种基线独立环闭合差限差均小于30mm,若观测精度为3mm+1ppm,则闭合差的限差为18mm。
2、隧道GPS网平差计算
隧道GPS网的数据处理一般以过隧道坐标系原点的子午线为中央子午线,投影面采用进出口平均高程面,这样有利于与洞内导线实测边的尺度保持一致,方便洞内点位的测设,平差时固定一点坐标及一个方位角,一般即为Y轴。
在隧道工程控制网中多采用工程独立坐标系统,而在进行GPS网与地面数据联合平差时采用的数学模型,一般要求WGS—84与地面坐标系统间的旋转角为微小量,对国家控制网而言旋转角一般均在几秒以内,但对于隧道独立坐标系有时会很大,在这种情况下非微小量的旋转常常会给平差结果带来不利影响,目前处理这一问题有两种方法:一是改善模型中对微小量数学处理的简化,不把旋转角作为微小量处理。二是固定一点做GPS网平差,平差结果与已知坐标进行拟合,把待定点的GPS成果转化到独立坐标系。第一种方法使得数学模型十分繁琐,计算的工作量加大,第二种方法对于坐标拟合转化后的精度难以评定。
隧道工程坐标系投影面采用隧道平均高程面。这个坐标系的x轴方向与正北方向夹角α较大。如果参考椭球的定位与定向不变,增大其长半径使椭球面与投影面相切,称此局部椭球为E1椭球。E1椭球以过隧道工程坐标系原点的子午线为中央子午线的高斯投影坐标经平移并旋转α角后即可得到隧道工程坐标系坐标。E1椭球绕过隧道工程坐标系原点的法线旋转α后的椭球为E2椭球。E2椭球过旋转轴的子午线与隧道工程坐标系的x轴方向一致,以此为中央子午线的高斯投影坐标与隧道工程坐标系坐标仅差一对平移常数。
1 在E1 椭球上平差
本方法的基本思想是首先利用已知点的两种坐标求出近似的转换参数,利用这些参数把已知点独立坐标转换到与WGS—84坐标系具有微小旋转角的一定投影面上的高斯坐标后再进行平差计算,计算结果转换到地方坐标系,方差、协方差阵同时进行旋转变换,最终获得独立坐标系中的成果。
(1)工程坐标系与参考椭球坐标系的转换
在道路测量中,除采用国家坐标系以外也经常使用工程独立坐标系。工程坐标系实际上可看作为一种高斯平面直角坐标,因此也对应于一定的椭球,只是其椭球的定位与定向有其特殊性。工程坐标系可认为是基于一种国家坐标系的参考椭球(设该椭球为E0),但由于测区的高程面以及坐标轴的指向不同,因此要在E0的基础上进行变换来建立工程坐标系。首先将E0的长半径增大 ,使得椭球面与测区平均高程面重合,但其扁率及椭球的定位和定向不变,该椭球称为E1,将该椭球绕工程坐标系原点的法线方向顺时针旋转β角,使得工程坐标系的X轴方向与过工程坐标系原点的中央子午线的北向一致,该椭球称为E2,即为工程坐标系所对应的椭球。由于该坐标系对应的椭球与WGS-84椭球有较大的旋转,即β不是微小量,因此有必要把工程坐标系的坐标转回到E1高斯平面坐标系再进行处理,处理后的结果返回到工程坐标系,下面就讨论一下两者的转换关系。
在E1椭球上以过工程独立坐标系原点的子午线为中央子午线进行高斯投影建立XOY坐标系,从图中可以看出工程坐标系xDy与XOY的转换关系如下:
工程坐标系转换到E1高斯坐标的关系式为:

E1高斯坐标转换到工程坐标系的关系式为:

上述两式中XD、YD为加常数,即独立坐标系原点在高斯坐标系中的坐标,β为两坐标系间的旋转参数。由转换关系式可以看出两个坐标系除具有平移和旋转外没有尺度参数,也就是两种坐标系具有相同的尺度,而椭球坐标系与WGS—84仍然具有尺度的差异,该参数在平差计算中求出。
(2)转换参数的计算
设已知独立坐标系中两点的坐标(
),(
)或一点坐标(
)以及至另一点的方位
,该两点的大地坐标为(
),(
),大地坐标如果未知,则可利用一点单点定位结果以及由基线向量推得的另一点大地坐标。由于已知的大地坐标属于国家椭球或者WGS-84椭球,必须把它转化为E1椭球上的大地坐标,因此首先由大地坐标转化成三维空间直角坐标(
),(
)。将椭球长半径增加da,使椭球面与独立坐标系的投影面相重合,则由空间坐标就可算出对应于E1椭球上的大地坐标(
),(
)。

图5-3平面直角坐标系

如果有多个已知独立坐标点则在计算转换参数时只需要2个点并且这两点的大地坐标是已知的,求得转换参数后把其它点转到E1高斯坐标,平差计算时固定各点的平面位置进行平差。一般而言计算转换参数的1号点与平差计算时三维固定约束点是一致的。
独立坐标系中往往也有加常数,因此在计算时应减去坐标中含有的加常数,以保证独立坐标系原点位置的准确性,加常数未知或不准确会引起高斯坐标中央子午线的变化。
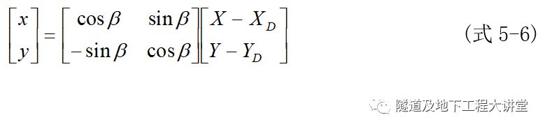
(3)平差计算
在计算转换参数后就可利用式(5-5)把已知点的独立坐标转到E1高斯坐标,由高斯坐标可求得大地坐标,这样就可以经纬度为参数在E1椭球上进行平差计算,平差时固定一个已知点的三维坐标,固定其它已知点的平面位置,平差后获得各待定点的高斯坐标及方差协方差阵,经过旋转变换便可获得相对于独立坐标系的成果。坐标按(5-6)式变换,方差协方差阵按(5-7)式进行误差传播。设平差后获得各待定点的高斯坐标的方差协方差阵为
,则i点在独立坐标系中的方差阵为:

i点与j点的相关协方差为:

由上述几公式便可计算出相对于独立坐标系基准的各控制点坐标的方差协方差阵,平差后的坐标及协方差阵是相对于独立坐标系的位置、方位和尺度基准的成果。
2、E2椭球上进行平差
(1)GPS基线向量及其协方差阵的变换
如图5-4所示,oxyz为WGS-84空间直角坐标系(简称I坐标系),其坐标用向量
表示,图中的椭球采用克氏椭球元素,隧道工程坐标系原点在此椭球上的经纬度为B0,L0,由此原点可定义一个站心坐标系
(简称为L坐标系),其坐标用向量
表示,它以过原点
的法线方向为w轴,u轴与过
点的子午线相切并指向北极, v=w×u,构成左手坐标系。

图5-4 坐标系统






内容源于网络,旨在分享,如有侵权,请联系删除
相关资料推荐:
https://ziliao.co188.com/p62297638.html
知识点:铁路隧道控制测量14讲 之 洞外平面控制测量
0人已收藏
0人已打赏
免费1人已点赞
分享
隧道工程
返回版块2.96 万条内容 · 279 人订阅
阅读下一篇
铁路隧道控制测量14讲 之 线路关系计算洞外控制测量完成后,由于洞外控制测量与定测时中线测量在坐标系选用不同、测量精度不同,造成铁路中线成果需要重新计算和调整,涉及曲线偏角、曲线元素计算、中线里程的推算、进洞关系计算等线路关系的计算。 一、线路中线计算 1、偏角的计算 当隧道线路带有曲线时,通常是先确定两端洞口外的直线或切线方向,明确定测时在洞口标定切线上的控制点,如图6-1所示,A、B、C、D为切线上的转点,这四个点在布网时已纳入到隧道GPS控制主网里。根据这些控制点平差后的坐标去反算出切线的方位角,两相邻切线坐标方位角之差即为曲线的偏角α。
回帖成功
经验值 +10
全部回复(0 )
只看楼主 我来说两句抢沙发