1、隧道施工的特点及施工测量的任务和内容
2、隧道贯通误差
3、隧道洞外控制测量
4、进洞关系计算和进洞测量
5、隧道洞内控制测量
6、隧道施工中线测设


一、隧道施工的特点
开挖顺着中线不断地向洞内延伸,衬砌和洞内建筑物(避车洞、排水沟、电缆槽等)的施工紧跟其后,不等贯通,隧道内的大部分建筑物已经建成;
为了保证工期,常利用增加开挖面的方法,将整个隧道分成若干段同时施工;
增加开挖面的主要方法有:设置平行导坑或在隧道中部设置横洞、斜井或竖井。

两个开挖面相向开挖,在预定位置挖通称为贯通。贯通后,由两端分别引进的线路中线,应按设计规定的精度正确衔接。
二、隧道施工测量的主要任务
(1)保证相向开挖的工作面,按照规定的精度在预定位置贯通;
(2)保证洞内各项建筑物以规定的精度按照设计位置修建,不得侵入建筑限界。
三、隧道施工测量的特点
1.洞外总体控制
作为指导隧道施工的测量工作,在隧道开挖前一般要建立具有必要精度的、独立的隧道洞外施工控制网,作为引测进洞的依据;对于较短的隧道,可不必单独建立洞外施工控制网,而以经隧道施工复测、调整后并确认的洞外线路中线控制桩为引测进洞的依据。
2. 洞内分级控制
洞内控制点控制正式中线点(正式中线点是洞内衬砌和洞内建筑物施工放样的依据),正式中线点控制临时中线点;临时中线点控制掘进方向。
洞内高程控制与平面相仿,临时水准点控制开挖面的高低,正式水准点控制洞内衬砌和洞内建筑物的高程位置。
3.开挖方法影响测量方式
先导坑后扩大成型法对隧道的位置还有一定的纠正余地,隧道施工测量可先粗后精;
全断面开挖法一次成型,隧道施工测量必须一次到位。
对于采用全断面开挖法开挖的隧道,其测量过程与先挖导坑后扩大成型开挖的隧道基本一样,不同的是对临时中线点、临时水准点的测设精度要求较高,或者是直接测设正式中线点、正式水准点。


4. 隧道施工的特殊环境对控制点布设提出特殊要求
隧道贯通前,洞内平面控制测量只能采用支导线的形式,测量误差随着开挖的延伸而积累。洞外控制网和洞内施工控制测量应保证必要的精度。
控制点应设置在不易被破坏的位置处。
四、隧道施工测量的主要内容
洞外平面控制测量;
洞外高程控制测量;
洞内平面控制测量;
洞内高程控制测量;
进洞测量;
洞内中线测设;
贯通误差调整;
竣工测量。
一、贯通误差及其对隧道贯通的影响
相向开挖的两条施工中线上,具有贯通面里程的中线点不重合,两点连线的空间线段称为贯通误差。

1. 贯通误差的分类
贯通误差在水平面上的正射投影称为平面贯通误差;
在铅垂面上的正射投影称为高程贯通误差,简称高程误差。

平面贯通误差在水平面内可分解为两个分量:
与贯通面平行的分量,称为横向贯通误差,简称横向误差;
与贯通面垂直的分量,称为纵向贯通误差,简称纵向误差。

2. 贯通误差对隧道贯通的影响
纵向误差影响隧道中线的长度和线路的设计坡度。
横向误差影响线路方向,如果超过一定的范围,就会引起隧道几何形状的改变,甚至造成侵入建筑限界而迫使大段衬砌拆除重建,既给工程造成重大经济损失又延误了工期。因此,必须对横向误差加以限制。
高程误差主要影响线路坡度。
3.横向误差和高程误差的限差

4. 影响贯通误差的主要因素及其分解
由于洞外控制测量、洞内外联系测量、洞内控制测量和洞内中线放样等项误差的共同影响。
一般将洞外平面控制测量的误差作为影响隧道横向贯通误差的一个独立的因素,将两相向开挖的洞内导线测量的误差各为一个独立的因素,按照等影响原则确定相应的横向贯通误差。
高程控制测量中,洞内、洞外高程测量的误差对高程贯通误差的影响,按相等原则分配。
5. 控制测量对贯通精度影响的限值

二、贯通误差估算
贯通误差估算的方法因控制网的形式不同而异。
1. 导线测量误差对横向贯通精度的影响
测角误差的影响
设RX 为导线环在隧道两洞口连线的一列边上的各点至贯通面的垂直距离(m),则导线的测角中误差mb (″)对横向贯通中误差的影响为:



推导:如图,当在A点测角时,产生一个测角中误差mβA,因此使导线在贯通面上的尺点产生一个位移值(误差值)KK’,而移至K’点,这个位移值在贯通面上的投影(亦即对于横向贯通误差的影响)为:

上面分析的是在导线点A上的测角中误差对横向贯通的影响。实际测量过程中,每个导线点上都有测角中误差mβ”,都可以得出公式。应用误差传播定律,就得出公式。

测距误差的影响
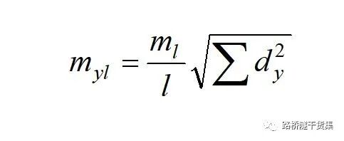
设导线环在邻近隧道两洞口连线的一列测边上的各边对贯通面上的投影长度为 dy (m),导线边长测量的相对中误差为 ml / l ,则由于测距误差对贯通面上横向中误差的影响为:



推导:如果在测量导线边l时产生了误差ml,从图中可以看出,这一误差所引起的横向贯通误差为:

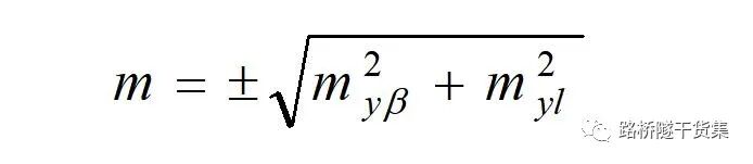
受角度测量误差和距离测量误差的共同影响,导线测量误差对贯通面上横向贯通中误差的影响为:

2.三角测量误差对横向贯通精度的影响估算
方法1. 按照严密公式计算(公式与方法见《新建铁路测量规范(条文说明)》)

方法2. 按导线估算(偏于安全,目前不提倡)
3. 高程控制测量对高程贯通误差的影响估算
在贯通面上,受洞外或洞内高程控制测量误差影响而产生的高程中误差为:

式中,M为每千米水准测量的偶然中误差,以mm计;L为洞外或洞内两开挖洞口间高程路线长度的公里数。
算例:
[例7-1]某铁路隧道为直线隧道,设计长度为L = 1136. 29m,洞外平面控制设计为单导线,其布设如图。试确定测量等级并判定该设计方案能否满足贯通的精度要求。

(1)图解相关数据
A、F为导线的始、终点,亦为隧道洞口控制点。
以洞外导线的始点A做为坐标系原点,以隧道中线按里程增加方向为X 轴正向,建立测量坐标系。在地形图上,各导线点A、B、C、D、E、F在贯通面方向上的垂足分别为A′、B′,C′、D′、E′、F′,量算出各导线点的垂距 RX 及各导线边在贯通面方向上的投影长度 dy,其结果于表7-3 中。
(2)确定隧道洞外平面控制测量等级
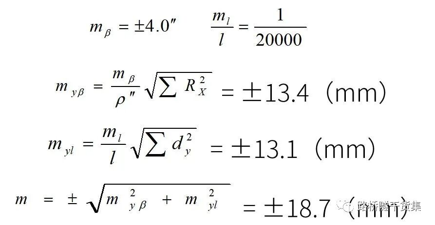
本例隧道长度小于 2 km,根据表7-5 洞外导线测量适用长度知,洞外导线可布设为五等,即:导线测角中误差为 mβ=±4.0″,
边长相对中误差为 ml / l =1/20000。
(3)估算洞外导线测量误差对贯通的影响
洞外导线测量误差对贯通的影响列表计算如下


洞外导线测量中误差对隧道的影响预计是18.7mm,其允许值是30mm,显然该洞外导线测量设计可行。




直线隧道长度大于1000m,曲线隧道长度大于 500 m,均应根据横向贯通精度要求进行隧道平面控制测量设计。
两相邻开挖洞口(包括横洞口、斜井口)高程路线长度大于5000m,应根据高程贯通精度要求进行隧道高程控制测量设计。
中线法
所谓中线法,就是将隧道线路中线的平面位置,按定测的方法先测设在地表上,经反复核对无误后,才能把地表控制点确定下来,施工时就以这些控制点为准,将中线引入洞内。
一般在直线隧道短于1000m,曲线隧道短于500m时,可以采用中线作为控制。

如图14-1所示,A、C、D、B作为在A、B之间修建隧道定测时所定中线上的直线转点。由于定测精度较低,在施工之前要进行复测,其方法为:以A、B作为隧道方向控制点,将经纬仪安置在C?点上,后视A点,正倒镜分中定出D?点;在置镜D?点,正倒镜分中定出B?点。若B?与B不重合,可量出B?B的距离,则


3.三角网法
三角测量建立隧道洞外平面控制时,一般是布设成单三角锁的形式。
对于直线隧道,一排三角点应尽量沿线路中线布设。条件许可时,可将线路中线做为三角锁的一条基本边,布设为直伸三角锁。以减小边长误差对横向贯通的影响。
对于曲线隧道,应尽量沿着两洞口的连线方向布设,以减弱边长误差对横向贯通的影响。

二、洞外高程控制测量
洞外高程控制测量的任务,是按照测量设计中规定的精度要求,以洞口附近一个线路定测点的高程为起算高程,测量并传算到隧道另一端洞口与另一个定测高程点闭合。
闭合的高程差应设断高,或推算到路基段调整。这样,既使整座隧道具有统一的高程系统,又使之与相邻线路正确衔接,从而保证隧道按规定精度在高程方面正确贯通,保证各项建筑物在高程方面按规定限界修建。
隧道高程控制测量一般采用水淮测量,对于四、五等高程控制测量也可采用光电测距三角高程测量。

高程控制测量误差对高程贯通精度的影响
受洞外或洞内高程控制测量的误差影响,贯通面上所产生的高程中误差按下式估算:

每千米水准测量高差中数的偶然中误差计算。
[例7—2] 某铁路直线隧道,设计长度为5246m,分别由两端洞口相向开挖。两端洞口分别埋设四个水准点:BM23、BM23-1和BM24、BM24-1,其中BM23和BM24 为定测线路水准点。洞外高程控制测量设计为四等水准测量,布设六个临时水准点。各测段水准路线长度、往返测高差观测值及高程计算列于表中,试计算每千米水准测量高差中数的偶然中误差mΔ,并估算mΔh。


高程贯通中误差为:

可见,该项洞外高程控制测量对贯通面上所产生的高程贯通
中误差的影响满足精度要求。
相关资料推荐:
https://ziliao.co188.com/p63458566.html
知识点:市政隧道施工测量的任务误差及控制
0人已收藏
0人已打赏
免费4人已点赞
分享
隧道工程
返回版块2.96 万条内容 · 279 人订阅
阅读下一篇
隧道测量方法及注意事项分析由洞外向洞内传递方向和坐标联系导线:洞外导线的方向和坐标传递给洞内导线,构成一个洞内、外统一的控制系统。主要是支导线。 斜井、横洞或竖井:增加开挖面 方法:垂准仪光学投点、陀螺经纬仪定向
回帖成功
经验值 +10
全部回复(2 )
只看楼主 我来说两句抢地板学习了多谢了
回复 举报
学习了市政隧道施工测量的任务误差及控制,多谢了。
回复 举报