《桥梁工程》(上册)第二版(范立础 主编)1986年版,这本书很有年头了,应该是现有《桥梁工程》版本中最有历史的吧,相信比很多年轻工程师们的年纪都要大。
书中“桥面板内力的计算”有描述“对于梁式单向板或悬臂板,只要借助板的有效工作宽度,就不难得到作用在每米宽板条上的荷载和其引起的弯矩。”

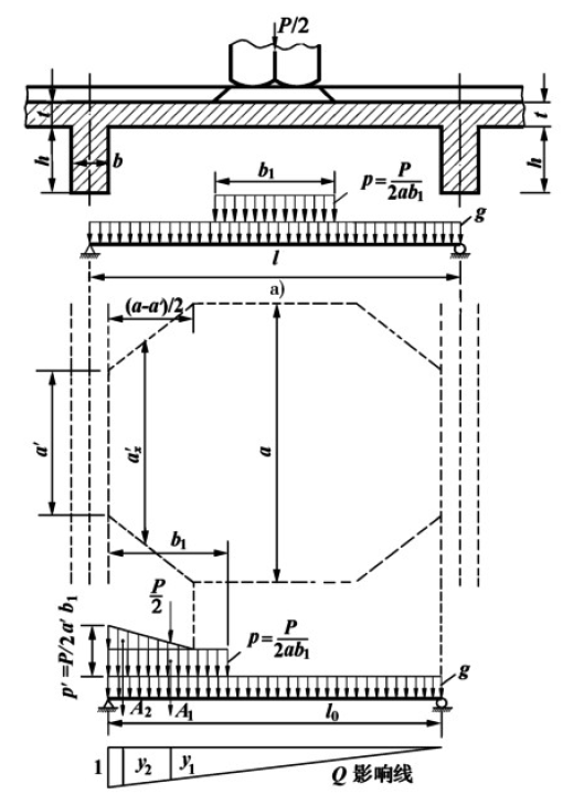
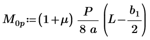
书中直接给出了M0p的计算公式,这个公式是如何得到的呢?书中的布置图示如下,可以看出是把桥面板当做简支结构,下面就用影响线来求跨中弯矩。

跨径为L的简支梁,跨中弯矩影响线如下所示,跨中影响线数值为0.25L,车轮横向分布宽度为b1(该值为车轮宽度经铺装层扩散后的值),a为板的有效工作宽度,P为轴重,考虑轮重除以2,就得到每米宽板条的荷载集度。

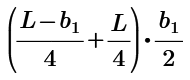
影响线面积为上图阴影部分,其面积为:
,量纲为
荷载集度为:
,因为是每米宽板条,量纲为
,
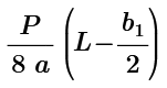
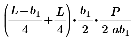
则内力弯矩为:

,化简后为:

,考虑冲击系数,就和书本上的公式一样

相关资料推荐:
https://ziliao.co188.com/d63216039.html
知识点:桥面板跨中弯矩计算
0人已收藏
0人已打赏
免费2人已点赞
分享
桥梁工程
返回版块19.44 万条内容 · 654 人订阅
回帖成功
经验值 +10
全部回复(0 )
只看楼主 我来说两句抢沙发