在渗流过程中,dt时间内,微元体在x、y、z三个方向流入总流量和流出总流量应保持不变,则

简化得
(渗流连续方程)
土中的渗流满足Darcy定律时,则


式中:h为总水头或测压管水头
kx、ky、kz 分别为x、y、z方向的渗透系数。
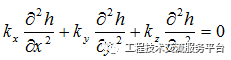
将上式代入渗流连续方程,得

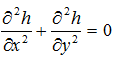
若kx=ky=kz ,则有

对于二维渗流问题,在xy平面上,上式简化为
(Laplace方程)
2. 渗流边界条件

1)水头边界条件:在边界Ω1上给定水头
2)流速边界条件:在边界Ω2上给定法向流速
3)渗出面:在边界Ω3上H=z,vn0
4)自由水面:在边界Ω4上H=z,vn=0
3. 渗流场方程的求解方法
1)数学解析法或近似解析法:求取渗流方程在特定边界条件下的理论解,或在一些假定条件下,求其近似解
2)数值解法:有限元、有限差分、边界元法等,近年来得到迅速地发展
3)电比拟试验法:利用电场来模拟渗流场,简便、直观,可以用于二维问题和三维问题
4)流网法:简便快捷,具有足够的精度,可分析较复杂断面的渗流问题
4. 流网及其特征
在流场中,等势线和流线交织在一起形成的网格叫流网。
流网具有下列特征:
1)流线与等势线彼此正交
2)每个网格的长度比为常数,为了方便常取1,这时的网络就为正方形或曲边正方形
3)相邻等势线间的水头损失相等
4)各流槽的渗流量相等
流网的绘制:
1)确定边界条件:边界流线和首尾等势线
2)研究水流的方向:流线的走向
3)判断网格的疏密大致分布
4)初步绘制流网的雏形:正交性、曲边正方形
5)反复修改和检查
流网的举例:
右图为坝基中的流网,虚线表示等势线,实线表示流线。如图所示愈接近坝底,流线愈密集,表明该处的水力梯度愈大,渗透速度也愈大;而离坝底愈远,流线愈稀疏,则水力梯度愈小。根据流网还可以定量地确定渗流场中的水头,孔隙水应力和水力梯度等。
|
|
相关资料推荐:
https://ziliao.co188.com/p46145237.html
知识点:渗透场理论以及计算
0人已收藏
0人已打赏
免费2人已点赞
分享
道路工程
返回版块15.09 万条内容 · 689 人订阅
回帖成功
经验值 +10
全部回复(0 )
只看楼主 我来说两句抢沙发