岩石变形指标以及应力-应变关系,可以在实验室内测定,也可在现场测定。目前用得较多的方法是:实验室的单轴压缩试验、室内三轴试验、实验室或现场的波速测定法等,有时候还可以做弯曲试验、现场水压试验等。
1)单轴压缩试验
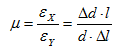
在单轴压缩试验时,试样大多采用圆柱形,一般要求试样的直径为5cm,高度为10cm,两端磨平光滑,按照实验要求,在侧面粘贴电阻应变片,以便观测变形,然后用压力机对试样加压,见图 。在任何轴向压力下都测量试样的轴向应变和侧向应变。设试样的长度为l,直径为d,试样在荷载P作用下轴向缩短△l,侧向膨胀△d,则试样的轴向应变为
以及侧向应变为:
如果试样截面积为A,则应力是:
假如岩石服从虎克定律(线性弹性材料),则压缩时的弹性模量E由下式给出:

以及泊松比为:

图7-24 单轴压缩试验 |
图7-25 岩石单轴压缩试验结果 |
2)三轴压缩试验
用岩石三轴仪也可直接测定岩石试件的弹性模量。设施加在试件上的轴向应力为
1,压力室的侧压力为
3,测得的轴向应变为
1 ,测弹性模量为:
如测得侧向应变
3,令
3/
1=B,则可用一式计算泊松比
现场变形试验也称原位变形试验,它比实验室变形试验更能反映天然岩体的性质(例如裂隙、节理等地质缺陷),所以有条件最好做这种试验。但是现场试验所需工作量大、时间长、费用高,故这种试验并不是所有工程都能采用的,一般对于一些重要的建筑物如等级高的水工隧洞、地下厂房、大坝地基,采用这种方法。
1)承压板法

图7-26 承压板试验装置图
试验可以在平地上或在平硐中进行,通过刚性或柔性承压板将荷载加在岩面上以测定其变形。先在已选择好的地段上,清除爆破影响深度内的破碎岩石,并且把岩面整平,然后安装油压千斤顶,通过承压板对岩面施加静荷载,定时测量岩体表面的变形。
试验采用刚性承压板,其尺寸大小是根据岩体中裂隙的间距和试验所选用的最大压力来确定的,通常 采用的是2000~2500cm2。施加荷载方法,视岩体结构和工程实际使用的情况而定。当岩体比较完整时,采用分级加荷,每级荷载作一次加荷、卸荷过程,叫逐级一次循环。
试验时,根据施加的单位压力P和实测的岩面变形S,绘制P-S关系曲线。按照所采用的承压板的刚度和形状,用下列弹性力学公式计算变形(弹性)模量
2)环形加荷法
该法是一种适用于测定岩体处于压、拉两种应力状态下的变形特性的试验方法。为了进行这种试验,必需先选择与建筑物的地质条件相近的、有代表性的地段,开凿一条试验隧洞。洞径大小一般是2~3m,洞长不小于3倍洞径。然后对洞壁岩面加压,并量测洞壁变形。对洞壁加压,可以采用各种不同的方法,目前应用较多的是水压法、径向千斤顶法和钻孔膨胀计法。
请点击查看:水压法
图7-27 水压法试验示意图
径向千斤顶法(奥地利法)
在这个方法中,不是用水压力对洞壁加压,而是借助于一个圆形的钢支撑圈(国内有的单位采用十二边形反力框架)与洞壁间安放的扁千斤顶加压。扁千斤顶是沿着环向均匀布置,每个断面一般放12~16个。以试验洞的中心轴为基准,沿径向布置测杆,使之呈辐射状,测杆上装有测量仪表。
此外,在传力的衬砌外部也要预先埋置各种量测仪表。扁千斤顶逐级增加压力,就可以测定洞壁岩体的相应变形。
图7-28 径向千斤顶法装置图
钻孔膨胀计法
又叫钻孔弹模计法,自六十年代起发展很快,它有下列优点:设备简单、轻便、可以装拆供多次使用和进行大量试验,特别是可以在岩体的深部和有水的地方进行(例如可在地下200m或更深的钻孔中进行试验)。扰动岩体小;不需专门开挖试验洞,因而费用较少;
但是也存在一些缺点,例如:钻孔直径较小,一般只有几厘米至几十厘米,因此,压力作用在岩体上影响范围较小;在垂直钻孔中测定的岩体变形,只能用来计算岩体在水平方向的模量等。
图7-29 钻孔膨胀计法试验装置示意图
相关资料推荐:
https://ziliao.co188.com/d37234536.html
知识点:岩石变形性质的室内测定
0人已收藏
0人已打赏
免费2人已点赞
分享
道路工程
返回版块15.09 万条内容 · 689 人订阅
回帖成功
经验值 +10
全部回复(0 )
只看楼主 我来说两句抢沙发