1.地基的临塑荷载
1)定义
临塑荷载pcr 是地基变形的第一、二阶段的分界荷载,即地基中刚开始出现塑性变形区时,相应的基底压力。
2)计算公式
|
|
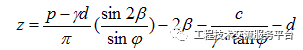
如图所示,条形基础在均布荷载作用下,当基础埋深为d,侧压力系数为1,地基中任意深度z处一点M,它的最大主应力和最小主应力分别为

式中: p——基底压力,kPa;
2β——M点至基础边缘两条连线的夹角,rad。
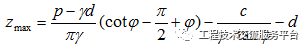
由极限平衡状态时大、小主应力关系,得到塑性区边界线方程为

令
得出塑性变形区最大深度zmax

令zmax=0,对应的荷载 p 就是地基局部开始发生塑性变形时的临塑荷载 pcr,其计算公式为

式中: d——基础的埋置深度,m;
γ——基底平面以上土的重度,kN/m3;
c——土的粘聚力,kPa;
φ——土的内摩擦角(度),计算时化为弧度,即乘以π/180;
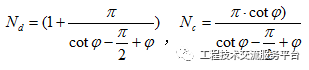
Nd、Nc——承载力系数,可查表6-1 得出。
2. 地基的临界荷载
1)定义
大量工程实践表明,用pcr作为地基承载力设计值是比较保守和不经济的。即使地基中出现一定范围的塑性区,也不致危及建筑物的安全和正常使用。工程中允许塑性区发展到一定范围,这个范围的大小是与建筑物的重要性、荷载性质以及土的特征等因素有关的。一般中心受压基础可取zmax=b/4,偏心受压基础可取zmax=b/3,与此相应的地基承载力用p1/3、p1/4表示,称为临界荷载。
2)计算公式
式中:d——基础的宽度,m;
Nb、Nb′、Nd、Nc——承载力系数,可查表6-1 得出。
注意:1.第一项中的γ为基底面以下地基土的重度;
2.第二项中的γ为基础埋置深度范围内土的重度;
3.如果是均质土地基,则重度相同。
4.如地基中存在地下水时,则位于水位以下的地基土取浮重度γ′值计算。其余的符号意义同前。
5.采用此公式确定地基承载力时,还需要对地基变形进行验算,看是否满足地基的变形需求。
上述临塑荷载与临界荷载计算公式均由条形基础均布荷载推导得来。对于矩形、圆形基础可近似采用上述公式进行计算,其结果偏于安全。

某条形基础宽度b=3m,基础埋深d=1m,地基土为粉质黏土,天然重度γ=19kN/m3,饱和重度γsat=20kN/m3,土的快剪强度指标φ=10°,c=6kPa。
(1)试求地基承载力p1/3,p1/4的数值;
(2)若地下水位上升至基础底面,承载力有何变化?
【解】:(1)由φ=10°,查表6-1,得Nb=0.18,Nb′=0.24,Nd=1.73,Nc=4.17代入公式,得

(2)当地下水位上升至基底时,若假设土的强度指标φ、c值不变,则承载力系数同上。地下水位以下的土重度采用浮重度
γ′=γsat-γw=20-9.8=10.2(kN/m3)
代入公式,得

从计算可以看出,当有地下水时,会降低地基承载力的数值。故当地下水位变化很大时,对地基的稳定不利。
相关资料推荐:
https://ziliao.co188.com/p63452902.html
知识点:地基的临塑荷载和临界荷载
0人已收藏
0人已打赏
免费4人已点赞
分享
道路工程
返回版块15.09 万条内容 · 689 人订阅
回帖成功
经验值 +10
全部回复(1 )
只看楼主 我来说两句 抢板凳学习了地基的临塑荷载和临界荷载,多谢了。
回复 举报