1)基本假定
①土层均匀且完全饱和;
②土颗粒与水不可压缩;
③变形是单向压缩(水的渗出和土层压缩是单向的);
④荷载均布且一次施加;——假定σz = const.
⑤渗流符合达西定律且渗透系数保持不变;
⑥压缩系数av是常数。
2)单向渗透固结微分方程式的建立及求解
3. 固结度
固结度实际上是地基土层在某一时刻的固结程度。饱和黏土层达到完全固结需要很长时间,研究饱和土的固结规律,目的是了解如何对软弱饱和土进行地基处理。
地基在固结过程中任一时间t的变形量st与最终变形量之比,称为地基土在任一时间t的固结度,常用Ut 表示,即
。
Ut=0~1,表征总应力中有效应力所占比例。
由于饱和土的固结过程是孔隙水压力逐渐转化为有效应力的过程,且土体的压缩是由有效应力引起的,因此,任一时间t的土体固结度Ut又都可用土层中的总有效应力与总应力之比来表示。可得出土的固结度公式如下
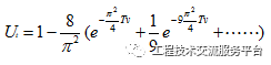
式中P与H均为已知,通过积分并简化便可求得地基土层某一时间t的固结度Ut的表达式为
当Tv的数值较大时,上式即简化为
由此可见,固结度Ut仅为时间因数Tv的函数,即 Ut=f(Tv)。只要土质指标k、e1、av和土层厚度H,以及排水和边界条件已知,Ut-t关系就可以求得。
适用于附加应力上下均布的情况,也适用于双面排水附加应力直线分布的情况。对于地基为单面排水且上下面附加应力又不相等的情况,可用比值
求得,查“时间因子Tv与固结度的关系图”中相应的曲线,得到固结度Ut。
4. 地基变形与时间的关系计算
1)基本问题
2)计算步骤:
① 用分层总和法计算地基最终沉降量s;
② 根据土层的性质指标,确定土的固结系数cv;
③ 根据时间t、固结系数cv计算时间因数Tv;
④ 根据土层附加应力与排水情况确定比值J;
⑤ 由Tv、J查图3-43确定Ut;
⑥ 根据Ut,最终沉降量s由
,求st


某地基为饱和黏土,厚度为10m,其顶面上分布有一层透水的砂层,底面为一不透水岩层,已知该土层的物理力学性质如下:初始孔隙比e1=0.8,压缩系数αv=0.25(MPa)-1,渗透系数k=2.0cm/a。在荷载p的作用下,在该土层中产生的附加应力如图所示,问:加荷一年后,地基的沉降为多少?加荷后历时多久,地基的固结度才可达0.75?
【解】:
(1)求黏土层的最终沉降量s。该土层所受平均附加应力为

黏土层的最终沉降量为

(2)求黏性土的固结系数。

(3)求加荷一年的沉降量st。从时间因子Tv与固结度的关系图查得,加荷一年后,地基固结度Ut=0.45,再按st=sUt得到

(4)求所需时间,由J=1.5和Ut=0.75,查时间因子Tv与固结度的关系图,得到

故黏土层当固结度达到0.75时,所需的时间为

内容源于网络,旨在分享,如有侵权,请联系删除
相关资料推荐:
https://ziliao.co188.com/p46765571.html
知识点:饱和土的单向固结理论
0人已收藏
0人已打赏
免费2人已点赞
分享
道路工程
返回版块15.09 万条内容 · 689 人订阅
回帖成功
经验值 +10
全部回复(0 )
只看楼主 我来说两句抢沙发