混凝土高坝(例如重力坝、拱坝等)都是直接建造在岩基上的,坝体自重及其所受的各种荷载最终必然都传递到岩基上去,坝基承载后,在岩体内部如果产生过大的应力,则将危及坝基的安全与稳定。因此,在设计时最好对坝基的应力有一定量的估计。
总得来说,作用于坝基岩体上的外荷载包括大坝自重力及其所承受的静水压力、动水压力和波浪作用力等,可以分解成垂直荷载V及水平荷载H。这时它们的合力R显然是倾斜的,设合力R与竖向的夹角为δ,如图(a)所示。为了分析上的方便,可近似认为由坝体传递到岩基上的荷载是一种如图(b)所示的分布荷载,这种分布荷载又可分解成大小按梯形分布的垂直荷载和水平荷载,如图 (c)、(d)所示。
图11-1 岩基上荷载的分解
不论是梯形分布的垂直荷载或水平荷载,总可看成是由三个三角形分布的荷载所组成,例如上述图形中的梯形分布荷载ABCD,可以看成是由ABE,AED及DEC三个三角形分布荷载所组成。由此可知,不论作用在岩基上的荷载方式如何,在一般情况下我们总可以把它看成是由两种基本分布荷载所组成:一种是垂直分布的三角形荷载;另一种是水平分布的三角形荷载。因此,这些荷载引起的附加应力的计算,与前述地基中的附加应力计算方法一样。
所谓岩基的极限承载力,就是指岩基所能负担的最大荷载(或称极限荷载)。当岩基承受这种荷载时,岩基中的某一区域将处于塑性平衡状态,形成所谓的塑性区(或称极限平衡区),这时基础沿着某一连续滑动面产生滑动。
在计算岩基的极限承载力时,需用到塑性力学中的有关公式。对于塑性区的每一点来说,由于它处于塑性平衡状态,因此它必须满足塑性条件,此外,还应满足平衡条件,亦即塑性区中的任一点应同时满足下述两种条件:
塑性条件:
平衡条件:
式中:x、y为水平与垂直坐标(m);
为水平法向应力、垂直法向应力以及剪应力(kPa);
为岩体的重度(kN/m3)、内摩擦角、凝聚力(kPa)。
计算岩基的极限承载力,实际上就是根据岩基的边界条件去求解上述三个基本方程,从而得出作用于岩基上的应力。设计时,必须把设计荷载限制在极限承载力以内,并具有足够的安全系数。
1.倾斜荷载下岩基的承载力
1)基础水平的情况
图11-2 倾斜荷载作用下的滑动面
(a)基础水平的情况 (b)基础倾斜的情况
当坝基荷载远远大于岩基中滑动岩体的重量时,这时滑动面就可按照岩体重度γ=0的情况来确定。此时,滑动面的形状是一个较为简单的曲面,如图(a)所示。图中由滑动面ABCD所围成的塑性区,是由两个三角形区ABO和OCD以及一个类似于“扇形”的所谓扇形区OBC所构成。各区域的有关角度如图(a)所示,其中α与β角可按下式确定:

式中:δ为荷载与铅垂线之间夹角。
由塑性条件和平衡条件确定作用于滑动面上各点的应力,然后根据滑动体ABCDA所应满足的平衡条件,求得岩基的极限荷载P为
式中:
(普遍式)

q为基础侧面的均布荷载(kPa),如图11-2(a)所示
c为黏聚力(kPa)
e为自然对数的底
普朗特尔利用塑性力在不计重量以及φ≈0的情况下

推出垂直极限荷载公式:
(普朗特尔公式)
2)基础倾斜的情况
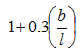
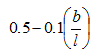
对于宽度为b,埋深为h的倾斜基础,基础底面与水平面的夹角为δ。这时地基的极限承载力可由下式计算:
系数Nc和Nγ可根据基础倾角 以有基础埋置深度h与宽度b之比自倾斜承载力曲线中查出。
上式 不仅可以计算倾斜荷载下的岩基承载力,而且也可近似用于计算垂直荷载作用下倾斜地基的承载力 及拱坝坝肩的承载力。
图11-3 倾斜承载力曲线
2.垂直荷载下岩基的承载力

图11-4 承载力系数Nγ、Nq
下面列出各种形状的基础(条形、正方形、圆形、矩形等基础)在垂直荷载作用下的许可承载力
的计算公式:
式中:Fs为安全系数;
Nγ、Nq为承载力系数,由右图根据内摩擦角确定;
β1、β2 为基础形状系数,由形状系数表确定;
b为基础短边宽度(若为圆形基础,代表直径)(m);
h为基础埋置深度(m);
|
|
|
|
|
|
| β1 | 0.5 | 0.4 | 0.3 | ![]() |
| β2 | 1 | 1.3 | 1.3 | ![]() |
注:表中的b和l分别表示矩形基础的短边和长边。
3.根据规范或经验确定岩基的承载力
1)根据规范确定岩基的承载力
岩基的容许承载力是反映岩基整体强度的性质,取决于岩石强度和岩体完整性,对于软岩还需要考虑长期强度问题,另外还应当考虑岩体三维应力状态。
《水利水电工程地质勘察规范》(GB 50487-2008)规定,坚硬岩的容许承载力可按单轴饱和抗压强度的1/25-1/20取值,中硬岩的容许承载力可按单轴饱和抗压强度的1/20-1/10取值。软岩的容许承载力采用荷载试验极限承载力的1/3与比例极限二者的小值作为标准值,如无荷载试验成果,可通过三轴压缩试验确定,或按岩石单轴饱和抗压强度的1/10-1/5取值。
2)根据经验确定岩基的承载力
经验方法一般情况是结合岩体的节理裂隙发育程度,根据岩块单轴饱和极限抗压强度(
),折算成坝基岩体的容许承载力,具体数值如表11-2所示。
对于风化的岩基的许可承载力,可按风化程度将上列数值降低到25%~50%。对于Ⅳ级和V级水工建筑物,在岩基未经风化破坏的情况下,可考虑采用表11-3所列的许可承载力。
|
|
|
|||
| 节理不发育(间距>1.0m) | 节理较发育(间距1.0~0.3 m) | 节理发育(间距0.3~0.1 m) | 节理极发育(间距<1.0 m="" td=""> | |
坚硬和半坚硬岩石![]() |
![]() |
![]() |
![]() |
![]() |
软弱岩石![]() |
![]() |
![]() |
![]() |
![]() |
|
|
|
| 松软的岩基(凝灰岩、密实的白垩、粗面岩) 中等坚硬的岩基(砂岩、石灰岩等) 坚硬的岩基(片麻岩、花岗岩、密实的砂岩,密实的石灰岩等) 特别坚硬的岩基(石英岩、细粒花岗岩等) |
0.8~1.2 1~2 2~4 4~6 |
大坝失稳形式主要有两种情况:
1)岩基中的岩体强度远远大于坝体混凝土强度,同时岩体坚固完整且无显著的软弱结构面,这时大坝的失稳多半是沿坝体与岩基接触处产生,这种破坏形式称为表层滑动破坏,如右图所示。
2)在岩基内部存在一条或多条缓倾角软弱结构面(泥化夹层、断层、节理等),并且下游方面有凌空切断面,或者有横河的易于变形的断层、节理或软弱夹层,它们组合起来形成滑动面,在此情况下岩基容易产生如下图所示的深层滑动。
![]() |
![]() |
|
图11-5 表层滑动 |
图11-6 深层滑动 |
除了上述两种破坏形式之外,有时还会产生所谓混合滑动的破坏形式,即大坝失稳时一部分沿着混凝土与岩基接触面滑动,另一部分则沿岩体中某一滑动面产生滑动的破坏形式,即大坝失稳时一部分沿着混凝土与岩基接触面滑动,另一部分则沿岩体中某一滑动面产生滑动,因此,混合滑动的破坏形式实际上是介于上述两种破坏形式之间的情况。
1. 表层滑动稳定性计算

坝体受力情况如右图所示,分别求出坝体沿岩基表层的抗滑力与滑动力,然后通过两者之比求得验算表层滑动的抗滑安全系数F2

式中:V为由坝体传至岩基表面的总垂直荷载;
H为坝体承受的总水平荷载;
U为坝底扬压力;
f为坝体混凝土与岩基接触面上的摩擦系数。
上式中未将混凝土与岩石接触面上的凝聚力c计算在内,可以认为是抗剪断强度消失后,只依靠间断后的摩擦维持稳定时的安全系数,它计算的是滑移安全系数的下限值,因此在设计时只要求具有稍大于1的安全系数即可。
考虑接触面上的凝聚力c,抗滑安全系数Fs为
式中:c为坝体与岩基接触面上的凝聚力(MPa)
b为坝底宽度(m)
考虑c以后求得Fs值,一般要求满足Fs =2.5~3.0甚至更大些。
2. 深层滑动稳定性计算
在进行深层滑动的稳定性计算中,必须首先判断岩基中可能滑动面的形状及位置,确定岩基中可能产生滑动的块体,然后根据力学原理分析块体的受力情况,即可求出块体的抗滑安全系数Fs。
1)滑动面倾向上游的情况

AB为岩基中倾向上游的一个滑动面,其倾角以α表示。当坝体在水平推力H作用下,坝体连同下面的三角形块体ABC有可能同时沿滑动面AB产生滑动。图中以V表示坝体的总垂直荷载与三角形ABC的重量之和。滑动面上的扬压力以U表示。根据图中所示的受力情况,可分别计算滑动面上的抗滑力以及滑动块体沿滑动面方向的滑动力。在计算过程中,如果认为BC面是由三角形块体沿BA向上滑动时所产生的断裂面,那么由于岩体的抗拉强度很低,因此BC面上的拉应力可以略去不计。采用这种简化假定后,这时的抗滑力R与滑动力T分别是:
式中:c、
分别表示滑动面上的凝聚力与内摩擦角。
由此可得抗滑安全系数Fs如下:
2)滑动面倾向下游的情况

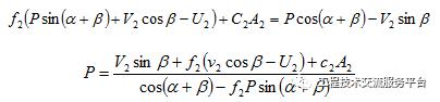
如果岩基中出现倾向下游的软弱结构面,如图(a)中的AB面,这时必须验算坝下的岩体是否可能沿此软弱面并通过岩基中的另一可能滑动面BC产生滑动。在一般情况下,滑动面BC的位置以及它的倾角 β都是未知的。因此,在计算安全系数Fs时,要选定若干个可能滑动面BC分别进行试算,以便求得最小安全系数及其相应的危险滑动面。以下将讨论当滑动面选定后,如何根据岩基中的已知滑动面ABC来确定相应的安全系数Fs。对于重力坝或拱坝坝基抗滑安全系数的计算,常采用以下三种方法:
①抗力体极限平衡法
a由抗力体的极限平衡状态计算推力P

自抗力体BCD的受力状态,由右图可以直接写出作用于抗力体上的抗滑力与滑动力分别为:
抗滑力=
滑动力=
式中:f2、C2为滑移面BC上的内摩擦系数与凝聚力(MPa)
V2为抗力体BCD的重量(MN)
α、β分别为滑面AB与BC的倾角
U2为滑面BC上的扬压力(MN)
A2为滑面BC的面积(m2)
当抗力体处于极限平衡状态时,其抗滑力与滑动力必然相等,即:

b根据滑移体ABD计算抗滑安全系数
由右图可知,作用于滑移体ABD上的抗滑力与滑动力分别是:
抗滑力=
滑动力=
式中:f1、C1为滑动面AB上的内摩擦系数与凝聚力(MPa)
V1为坝体与滑移体ABC的重量之和(MN)
U1为作用于AB面上的扬压力(MN)
A1为滑面AB面积(m2)
由抗滑力与滑动之比,直接求得安全系数Fs如下:
②等Fs法
“等Fs法”认为,坝基在丧失稳定的过程中,不论是滑移体还是抗力体,两者具有相同的抗滑安全系数Fs。
a根据滑移体的受力状态,可直接写出作用于滑移体ABD上的抗滑力与滑动力如下
抗滑力=
滑动力=
由此可得Fs如下:
b 根据抗力体的受力状态,可求得相应的抗滑力与滑动力为:
抗滑力=
滑动力=
由此可得安全系数Fs如下:
由上式解出推力P
③不平衡推力法

此法认为图(a) 中左侧滑移体ABD如果沿着滑动面AB不能处于平衡状态(亦即滑移体的抗滑安全系数小于1),这时ABD将具有下滑趋势,并将未知的下滑力P传至其下的抗力体BDC,并成为抗力体BDC的推力,如图(c)所示。因此,该推力P称为“不平衡推力”,其值显然等于AB面上的下滑力与抗滑力之差,即


推力求出后,再根据抗体力沿着BC面的抗滑力和滑动力之比,即可求得抗滑安全系数Fs如下:

内容源于网络,旨在分享,如有侵权,请联系删除
相关资料推荐:
https://ziliao.co188.com/p113539.html
知识点: 坝基的稳定性分析
0人已收藏
0人已打赏
免费2人已点赞
分享
道路工程
返回版块15.09 万条内容 · 689 人订阅
阅读下一篇
地下工程围岩的稳定性分析知识点1:地下洞室开挖引起的围岩应力重分布 在岩石地下工程中,受开挖影响而发生应力状态改变的周围岩体,称为围岩。从原始地下应力场变化到新的平衡应力场的过程,称为围岩应力重分布。围岩应力重分布只限于围岩一定范围内,在离洞壁较远的岩体内应力重分布甚微,可以略去不计。 在地下开挖以前:静水压力式、岩体内均为压应力,每点均处于挤压状态。 在地下开挖以后:应力就重新分布,地下开挖后洞室周围岩体就向洞室这个空间松胀。显然,在本情况中,松胀方向必然是沿着半径指向洞室中心的,这就必然引起径向应力的减小。径向松胀最充分的地方是在洞壁上。径向应力完全解除。越深入围岩内部,径向松胀就越困难,因为径向松胀的阻力是越来越大的。在离开洞壁的一定距离处,径向应力与原来未开挖时的初始应力相等。
回帖成功
经验值 +10
全部回复(0 )
只看楼主 我来说两句抢沙发