引 言
装渣和运输是钻爆法施工工序的重要环节,装运方案是否合理高效直接影响着钻爆法施工效率。高原铁路隧道修建过程中,对于装运渣设备配套,与一般地区相比,要求能适应高原缺氧环境,产能要有一定的富余量,技术要相对先进等。本篇文章以高原铁路为例,结合其特殊的自然地理环境,提出选择适应高寒缺氧环境的无轨装渣运输合理配套方案,以有效提高高原铁路隧道钻爆法施工效率。
装渣运输设备选型原则
一 、高寒缺氧环境对装渣运输设备的影响和对策
1)高寒环境对装渣运输设备的影响
(1)高寒对装渣运输设备的影响
高寒会使设备的润滑油性能变差,发动机运行阻力大;蓄电设备易冻坏,导致设备负荷过高,甚至不能使用。同时,温度过低,设备启动困难,造成施工效率降低。
(2)高海拔对汽车动力的影响
研究表明,当海拔每升高1000m时,内燃机动力损失约11%。高海拔造成内燃机吸入空气(氧气量)减少,改变了空燃比,导致气缸内有效压力降低,发动机功率下降。若隧道洞口海拔在3000m以上,隧道装渣运输设备的动力损失将超过30%,见图1。
图1 海拔对汽车动力的影响
2)使用对策与保养措施
(1)使用对策
①使用带增压装置的柴油发动机设备。
②采取高原型机械设备。较平原常见施工设备,高原型机械设备各项性能指标(如动力性、经济性、热平衡性能、排放性能、低温启动性能等)均有较大提升。内燃机机械效率与转速关系见图2。
图2 内燃机机械效率与转速关系曲线
③其他措施。高原型施工设备使用过程中,仍需采取发动机预热、保温、选用低凝点柴油、强化放电能力、加大进气量、增加发动机保养次数、改善启动时间、增加清洗次数等措施。
(2)保养措施
①增加设备的保养次数、及时进行维修是保证设备正常运转的基础。
②超前预测,备足配件。对特种润滑油、防冻液、燃油、三滤、斗齿、油缸油封、高压油管、加压设备等易损易耗件,根据消耗量及更换周期提前预测需用量,做好计划,储备充足。
③按制度及时进行检查维修和保养,预防设备经常性故障的发生。设备维修保养四项要求为清洁、整齐、润滑良好、安全。
二、装渣运输设备配套原则
考虑高原铁路的实际情况,隧道装渣运输设备选型配套原则如下。
(1)高原型
高原缺氧环境下,设备降效明显,因此在选择装渣运渣设备时,必须考虑这一特殊因素。在设备选型及配套过程中,尽可能选用高原型施工设备。
(2)产能富余
选择设备规格和能力应大于实际需要。运渣设备理论生产能力宜为装渣设备理论生产能力的1.2~1.5倍,装渣设备理论生产能力宜为预计施工产能的1.2~1.5倍,即运渣设备产能>装渣设备产能>施工计划产能。
(3)经济适用
以满足高原施工需要为出发点,在保证安全、经济、快速的条件下选择合适的设备,以通用设备为主,专用设备可根据需要使用。
(4)同型同系列
装渣运输设备均为大型设备,同一项目应尽量采用同一企业生产的同一系列产品,便于保养、修理、备件储存等。
(5)相互兼容
装渣运输设备运行时应不影响其他工序施工,可与其他工序平行作业。如在选择装载机、自卸车、挖掘机和挖装机时,应考虑设备在重载情况下仰拱栈桥、模板台车及各种台架下方的可通过性。
(6)技术先进
选用的设备应符合国家标准且技术先进,应尽量选择自动化程度高、操作安全性高、故障率低的设备。多选用大型设备,少选小型设备;多选用增压设备,少用非增压设备;多用新设备,少用旧设备。
(7)动态调整
随着施工进展,装渣运输设备数量及种类应进行动态调整,保持设备配置与施工进度、安全、质量相适应,防止设备过剩或者不足而影响施工。
(8)节能环保
在选用装渣运输设备时除需要满足国家节能强制性标准外,还应注重选择低能耗、低排放的设备,优先选择清洁能源设备,即多选风动、电动设备,少选内燃设备。
装渣运输设备选择
一、装渣设备
隧道施工常用无轨装渣设备,其具有施工效率高、国产化程度高、技术成熟等优点。无轨装渣设备有装载机、挖掘机、挖装机等。
1)侧卸式轮胎装载机
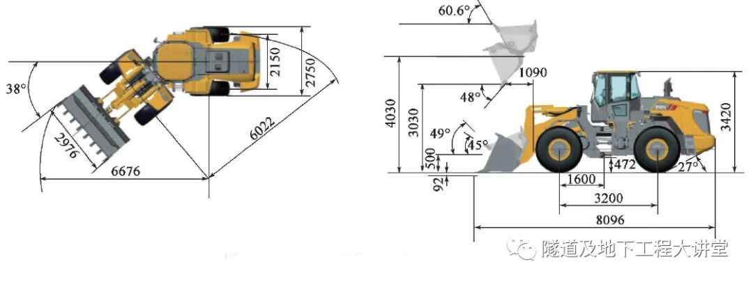
侧卸式轮胎装载机主要用途是装渣,具有机动灵活、经济适用等优点。近年来,国内生产的装载机使用性能已十分优越,完全可满足高原铁路隧道施工需求。铁路隧道施工中,最常用的一款为50型侧卸式装载机。隧道断面较大时,为提高装渣效率,也可采用60型装载机装渣。其中50型装载机技术参数见附表5,作业尺寸见图3;60型装载机作业尺寸见图4。
图3 50型装载机作业尺寸图(尺寸单位:mm)
图4 60型装载机作业尺寸图(尺寸单位:mm)
2)履带式挖掘机
隧道施工中,挖掘机的主要用途是隧道掌子面清危找顶、仰拱装渣、平整施工平台、上台阶挖渣倒运等。双线隧道中最常用的为20t级(斗容0.8~1.06m3)挖掘机;单线隧道中因工作空间受限,最常用的为10t级(斗容0.48~0.53m3)挖掘机。
20t级挖掘机设备长9425~9495mm,宽2800~980mm,高2970~3190mm,外形见图5。
图5 20t级挖掘机外形示意图
10t级挖掘机设备长7160mm,宽2490mm,高2855mm,外形见图6。
图6 10t级挖掘机外形图
3)挖装机
履带式挖装机采用双动力驱动,行走采用内燃动力,装渣时采用电力驱动,适用于矿山、隧道、地下工程的挖掘和装载作业。其宽度和高度应能满足单线隧道施工需要,主要用于断面尺寸较小的隧道装渣。挖装机装渣能力强,其最大生产能力可达到500m3/h,铁路单线隧道施工常用的型号理论生产能力可达到300m3/h。目前该设备已经大量国产化,主要有LT320型挖装机、WZ330型挖装机等,性能均可满足隧道装渣需要。在实际施工中,使用较多的进口挖装机为ITC312型,其作业范围见图7。
图7 挖装机作业范围(尺寸单位:mm)
目前,国内有关厂家也开始研制数字化智能挖装机(图8),它集挖掘、行走、装运、岩石破碎于一体。
图8 国产数字化智能挖装机
二、运输设备
1)自卸汽车
在隧道施工中,无轨运渣设备主要指自卸汽车。自卸汽车具有行走速度快、就位灵活方便、装渣量大、卸渣不受场地和运距的限制等特点。自卸汽车配置数量由出渣运距以及出渣时间确定。但是汽车尾气容易造成洞内污染,增加施工通风难度等。国产自卸汽车性能完全可满足铁路隧道施工运渣需求。
隧道爆破岩渣的特点是块度较大,料质不均匀,装渣时候对货厢的冲击大,因此应选择满足这些条件的运渣设备。一般选择自卸汽车时,考虑选用矿山斗而不选择普通物料斗。当出渣车辆经过栈桥时,重量不宜超过栈桥的载重能力。自卸车的斗容与装载机的实测斗容比值为6~12,运距近时选小值,运距大时选大值。因为高原铁路多为长大隧道,故选择斗容约20m3的自卸汽车。
2)皮带运输机
(1)皮带运输机
皮带运输机的用途是隧道出渣,其主要由两个端点滚筒、若干托辊及紧套其上的闭合输送带组成。带动输送带转动的滚筒称为驱动滚筒,另一个仅改变输送带运动方向的滚筒称为改向滚筒。驱动滚筒由电动机通过减速器驱动,物料放置于输送带上,输送带依靠驱动滚筒与输送带之间的摩擦力拖动完成物料输送。
皮带运输机宜采用主、从分站控制模式,具有控制和数据收集传输等功能,可以将实时运行状态数据发送至信息化控制平台,便于对现场设备运行状态进行监控。也可增加视频监视系统,设置敞开式数据接口,直接和现场其他设备进行信息互通和互联,便于实现对设备运行信息的总监控。皮带运输机出渣过程中,渣石只能从隧道内往卸料点输送,为防止如运料过程中皮带运输机倒转影响施工安全,皮带运输机应具有防倒转功能,可在皮带运输机发生倒转时自动紧急制动。连续皮带运输机运量应至少为开挖量的1.2倍。
国内的隧道连续皮带运输机出渣技术已比较成熟且有应用,皮带运输机可根据现场实际需求定制,根据进度要求、隧道宽度等确定相关参数。
(2)皮带运输机适用范围及特点
皮带运输机适用于输送粒状、小块状物料,如碎石、砂等。皮带输送机可在环境温度-20~+40℃范围内使用。
和传统出渣方式相比,皮带运输机出渣技术具有以下特点:
①工作效率高
皮带运输机具有输送能力大、速度快、承载能力强等特点,只要提高装渣能力,就可快速完成出渣作业,提高工效。
②高寒缺氧环境适应性好
在高寒缺氧环境下,采用机械化、自动化程度较高的皮带运输机出渣,可大幅降低运输设备和人员数量,保证隧道施工安全。
③节能减排和环保
皮带运输机出渣运输系统由电力驱动,其能效高、污染小,可有效减少隧道中二氧化碳等有害气体的产生及排放,改善隧道作业环境,减轻隧道通风压力,降低能源消耗。
尽管皮带运输机出渣具有较突出的优点,但是出现较大爆渣时需进行二次破碎,增加了施工工序,输送系统中的一个单元(设备)发生故障会导致全线停机,对施工影响较大,且初期设备一次性投入较高。
④占用空间小
皮带运输机通常设置在隧道的一侧,可固定在隧道底部,也可斜撑或吊挂在洞壁一侧,占用空间小,可最大限度地减少施工干扰。
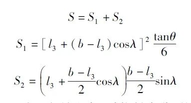
(3)皮带运输机运量计算
若已知输送带上允许的最大岩渣横截面积S和带速,便可以估算出皮带运输机的运量,从而估算出单个循环岩渣运输的时间(图9)。为保证不洒料,输送带上允许的最大物料横截面积S计算公式如下:
图9 皮带运输机物料堆积面积参数示意图

式中,θ为运行堆积角,受物料水分、粒度、带速等影响,应以实测为准,当无条件获取准确运行堆积角时,如皮带运输机运行速度v≤2.5m/s,可利用物料静堆积角α,按θ=0.75α来近似计算。
(4)皮带运输机安装及工作所需条件
①皮带运输机需要足够的安装空间
根据不同施工项目情况,需考虑在洞口或洞内布置皮带运输机储带仓、驱动、放带装置等。皮带运输机机身标准延伸段的布置要避开风管、所有隧道施工设备进出所需空间,并重点考虑转弯的位置。
②电力需求
皮带运输机装机功率随着隧道开挖直径、长度、提升高度的增加而增加,目前主要的电机布置有头部集中驱动、头尾驱动、头中驱动几种形式,需要在相应的位置满足供电需求。
③供水要求
皮带运输机的水清洗装置的耗水量约为100L/min,需将水源提供至机头卸载滚筒处。
④安装基础需求
卸载平台、驱动装置、张紧改向架需提前做好钢筋混凝土基础,基础需满足荷载需求,预埋地脚螺栓或钢板。
⑤安装所需设备
30t起重机、装载机、焊机、10t手拉葫芦、冲击钻、全站仪、水平仪、千斤顶、扳手、卷尺等。
(5)皮带运输机使用安全保证措施
①相关操作人员须仔细阅读皮带运输机操作手册、维保手册。
②做好岗前培训,进行安全技术交底,操作人员必须经培训合格后方可进行操作。
③开机前除必须对皮带运输机各部进行一次认真的保养检查外,应着重检查皮带上是否有人和其他杂物等,经检查无问题后才可发信号开机。当多节皮带串联时,其开机的顺序是从卸料端至喂料端依次启动。
④运行中如发现皮带跑偏、打滑、乱跳等异常现象时,应及时进行调整。皮带打滑时,严禁向转轮和皮带间塞东西。如皮带松紧度不合适,要及时调整拉紧装置。
⑤运行中要重点检查电动机、变速箱、传动齿轮、轴承轴瓦、联轴器、传动皮带、滚筒、托辊等是否正常;清扫刮板及制动装置是否有效, 凡是上行下行皮带的制动装置必须绝对可靠,防止飞车。
⑥皮带运输机运转中,严禁任何人跨越皮带行走,严禁乘坐皮带等。
⑦在运行中严禁重车停车(紧急事故除外),如遇忽然停电,应立即拉上拉伸开关。
⑧停机前要首先停止给料,待皮带上的物料全部卸完后,才能发信号停机。多节皮带串联时,其停机顺序是从喂料端至卸料端依次停机。
⑨施工后根据维保手册,定期对维保项目进行检查维保。
3)集装箱
在隧道掌子面后方,先准备好大型集装箱(亦称车斗,容积22m3),爆破后用大型叉车将其运到掌子面装渣,装渣完毕后,再用叉车托放到掌子面后方约300m的位置临时存放,待钻孔、喷射混凝土、锚杆作业时将集装箱运出洞外。具体工作步骤如图10~图14所示。
图10 空斗按顺序排放
图11 车头叉上空斗送到工作面
图12 倒运
图13 外运
图14 卸渣
内容源于网络,旨在分享,如有侵权,请联系删除
相关资料推荐:
https://ziliao.co188.com/p62406680.html
知识点:高寒缺氧环境隧道装渣运输设备选型
0人已收藏
0人已打赏
免费4人已点赞
分享
隧道工程
返回版块2.96 万条内容 · 280 人订阅
阅读下一篇
高地应力硬岩岩爆隧道施工技术引 言 在高地应力硬岩地层修建隧道,容易发生岩爆。岩爆是一种工程灾害,不仅会威胁施工人员、作业设备的安全,降低施工进度,而且还会造成超挖、支护结构失效,严重影响隧道建设的安全、工期和成本。
回帖成功
经验值 +10
全部回复(0 )
只看楼主 我来说两句抢沙发