土木在线论坛 \ 道路桥梁 \ 隧道工程 \ 高地应力硬岩岩爆隧道施工技术

高地应力硬岩岩爆隧道施工技术

发布于:2022-10-12 14:46:12 来自:道路桥梁/隧道工程 [复制转发]

 引 言

在高地应力硬岩地层修建隧道,容易发生岩爆。岩爆是一种工程灾害,不仅会威胁施工人员、作业设备的安全,降低施工进度,而且还会造成超挖、支护结构失效,严重影响隧道建设的安全、工期和成本。

本期将结合国内外既有工程经验及研究成果,介绍防治岩爆的关键施工技术。


一、岩爆 的影响因素

因素很多,主要包括地质因素、环境因素和施工因素,其中地质因素中地层岩性条件和地应力的大小是产生岩爆与否的两个决
定性因素。


1)地质因素


(1)岩体结构及其性能条件
岩体结构由结构面和结构体两个要素组成,是反映岩体工程地质特征的最根本的因素,不仅影响岩体的内在特性,而且影响岩体的物理力学性质及其受力变形的全过程。结构面和结构体的特性决定了岩体结构特征,也决定了岩体的结构类型。工程岩体是否会发生岩爆以及岩爆的烈度大小主要取决于结构面性质及其空间组合、结构体的性质及其立体形式。按照我国《公路隧道设计规范》(JTG D70—2010)中的围岩分级,岩爆主要发生在Ⅱ、Ⅲ级围岩中,它不发生在非常完整的围岩中,也不发生在节理裂隙很发育的Ⅳ、Ⅴ级围岩中,具有明显的岩体结构效应。一般说来,当岩体的结构较为完整,构造变动较小,节理裂隙发育微小,岩体的强度就越
大,其质地也越坚硬,可能蓄积的弹性变形能就越大,岩体破坏时转化为较大的动能,使其弹射、抛出形成岩爆;反之,在岩性复杂的破碎岩层,
构造变动强烈,构造影响严重,接触和挤压破碎带,风化带,节理、劈理等均较发育,结构面组数多,密度大,彼此交切,其储存的弹性变形能较小,岩体破坏时发生岩爆的可能性也越小。
发生岩爆的岩石通常为高弹性储能的硬脆性岩石(单轴抗压强度:σ c 60MPa ),如花岗岩、花岗闪长岩、闪长岩等岩浆岩,灰岩、白云岩、砂岩等沉积岩以及混合花岗岩、花岗片麻岩、片麻岩、石英岩、大理岩等变质岩。
脆性岩多发生爆裂弹射(薄片状),层理发育的地层多发生片帮,节理发育地层多发生破裂松动和掉块。
对于含有垂直节理的流纹岩,即使强度不是很高,在掌子面也可能发生岩爆,因为各节理面之间连接刚度较小,在上部压力很大的条件下,较易抛出,形成抛射性岩爆。
2 )地质构造
复杂的地质构造带容易发生岩爆,如褶曲、岩脉、断层以及岩层的突变等。 特别是向斜的轴部岩层存在较大的地应力,聚积有大量的弹性变形能,开挖或开采,就有可能产生岩爆。
当断层通过隧道开挖断面时,根据现场实测结果显示,在断层的上盘,宜形成较大的剪应力,同时使得洞壁的最大切向应力增大,因此在断层上盘附近较易产生岩爆。
(3)不连续面性状
不连续面的光滑或粗糙程度,不连续面的组合状态及其充填物的性质,都
反映了不连续面的性质,直接影响着结构面的抗剪特性。结构面越粗糙,其抗剪强度中的摩擦系数越高,对块体运动的阻抗能力越强,易于发生岩爆;结构面宽度或充填物的厚度越大且其组成物质越软弱,则压缩变形量越大,抗滑移的能力越小,岩爆发生的可能性也较小。此外,不连续面的间距、产状及其组合状态都对岩爆的发生有较大影响,如弱面比较发育的地段,其平均间距较小,不同产状的弱面彼此交切,将岩体切割成大小不同的岩块,破坏了岩体的完整性,削弱了岩体的强度,则不易岩爆。

2 )环境因素

1 )隧道工程埋深
岩爆多发生在隧道埋深大的部位,隧道工程埋深决定着原岩应力的大小、方向与分布状态,进而影响着工程的地质和环境状况。 研究表明,地应力随开采深度的增加呈线性或非线性增加趋势,在 1000m 以上的深度,水平方向的主应力大于垂直方向的主应力; 而在 1000m 以下的深度,垂直方向的主应力往往大于水平方向的主应力。 众所周知,岩爆的发生与地应力积聚特性有着密切的关系,具有较高地应力的岩石,其弹性模量也较高,岩石具有较大的弹性变形能,也最易发生岩爆。 在实际工程中,地应
力的现场量测比较困难,再加上开挖扰动的影响,地应力发生重新积聚与分布,是一个动态变化的量。
2 )渗流量
通常情况下,岩爆大都发生在干燥的岩体中,即比较湿润的岩体较难发生岩爆,这是因为渗流对岩石的作用造成的。 一方面,水及某些含阳离子的溶液具有降低岩石颗粒间表面能的能力,引起岩石软化; 另一方面,渗流量好的岩体明显比干燥的岩体中的层理、节理、裂隙发育好,数量多,岩体的空隙率高,由于裂隙的增加与扩展,降低了岩体的强度和弹性模量,泊松比增加,黏结力减少,储存的弹性变形能小。
3 )地震
地震是触发岩爆的一个重要外因,当隧道工程处于多震区,由地震产生的巨大的弹性波迅速传播,可使得处于临界状态的岩体受到扰动而发生突然失稳破坏, 而导致岩爆的发生。 据不完全统计,有 20% 左右的岩爆是由地震引发的。

3 )施工因素

1 )隧道断面形状、断面大小
隧道开挖打破了岩体中原始应力平衡状态,在其周围一定范围的岩体中发生应力重分布。这种应力的重分布与隧道的形状、尺寸有着密切的关系,理论分析表明,非圆形隧道的应力重分布不均匀程度高,一旦某些部位的应力值达到或超过发生岩爆的临界值,就容易发生岩
爆。
2 )隧道平面位置
隧道平面位置的走向与主应力方向的夹角不同,发生岩爆的概率也就不一样。 当隧道的长轴走向与最大主应力方向一致时,应力的集中与破坏程度较小,岩爆发生的概率也较低; 而当隧道走向与最大主应力方向垂直时,应力的集中与破坏程度较大,岩爆发生的概率也较大。
3 )开挖工艺
开挖工艺主要是指隧道的开挖方式与爆破方法。 隧道是采用一次开挖工艺还是分部开挖工艺,其实施效果不同。 当采用分部开挖时,积聚在岩体内的弹性变形能以较小的速率释放出来,从而降低岩爆的发生概率。 另一方面,采用不同的爆破方式,工程岩体的外载荷在爆破的瞬间差异很大,并以 P 波和 S 波的方式在岩体内传播,既导致了围岩的损伤演化结果有明显区别,又成为邻近工程岩体发生岩爆的诱发因素。
4 )支护工艺
良好的工作面支护一般表现为开挖后靠近工作面及时安设较强的初期支护,以便限制岩体的早期位移。同时还表现为具有一个可控制快速屈服的能力以使支护体尽可能地吸
收岩体变形释放的能量,并且使支护体本身在岩体变形后仍能保持一支承载的能力。

二、岩爆 的破坏机理

目前,国内外学者应用各种基础理论,分别从强度、刚度、稳定、能量、断裂、损伤以及突变等方面对岩爆机理进行了分析,在提出各种假设的基础上,形成了不同的理论判据。
Hoek 教授认为岩爆是高地应力区隧道围岩剪切破坏作用的产物。 Zoback 教授在解释钻孔崩落现象成因时 ,也认为类似“岩爆”的孔壁崩落破坏属剪切破坏。 然而 Mastin Haimso 在通过打有圆孔的砂岩岩板进行的单向压缩物理模拟试验,证实了钻孔崩落现象是由于孔壁应力集中部位的局部破坏所引起张性破裂的产物。
杨淑清教授通过天生桥二级水电站引水隧洞相似材料岩爆机制物理模拟试验,总结出岩爆造成围岩劈裂破坏和剪切的两种机制,并且认为它们是两种应力水平的产物,即劈裂破坏属脆性断裂,而剪切破坏是岩石应力达到峰值强度状态时的破坏; 前者形成的破裂面与洞口边界平行,而后者则与洞口边界斜交,呈对数螺旋形状。 谭以安博士认为,岩爆是渐近破坏过程,其形成过程可分为“劈裂成板—剪断成块—块片弹射”三个阶段。 王兰生教授将岩爆作用与岩石在三向应力条件下的压缩变形破坏全过程加以对照,认为岩爆力学机制可以归纳为压致拉裂、压致剪切拉裂、弯曲鼓折三
种基本形式,也可以多种组合方式出现。
有关岩爆机理的研究理论和方法还有很多,这些理论和方法对于深入研究岩爆的机理都起到了一定的促进作用。

三、岩爆预测技术

1 )岩爆预测方法概述

岩爆是非常复杂的动力地质现象,其影响因素众多,岩爆预测结果往往具有多样性。 国内外学者在分析研究岩爆机理的前提下,提出了各自的假设和判据,建立了多种预测方法。 主要预测方法有以静力学分析为基础的预测法、以探测技术为基础的岩爆预测法、岩爆临界深度预测法、数学预测法以及根据特殊的地质现象进行宏观预测的方法。

1 )以静力学分析为基础的预测方法
σθ/ σR (应力强度比)判据法。
②岩爆倾向性指数( Wet )判据法。
③岩爆能量冲击性指标( Acf )判据法。
④单轴抗压强度( UCS )。
⑤岩石脆性指数预测。
2 )以探测技术为基础的岩爆预测方法
①声发射现场检测预报。
②电磁辐射检测预报
③微重力法。
3 )岩爆临界深度预测法
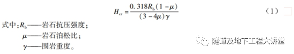
学者侯发亮认为,岩爆虽然多发生在水平构造应力较大的地区,但如果洞室埋深较大,即使没有构造应力,由于上覆岩体效应,洞室也可能会发生岩爆。 根据弹性力学求解,侯发亮推导出仅考虑上覆岩体自重情况下岩爆发生最小埋深 Hcr (即岩爆临界深度)的计算公式:

图片

4 )数学预测方法
数学预测主要是指选 取影响岩爆的一些因素,对岩爆的发生与否及其烈度级别进行非线性预测的方法。 目前概括起来主要有以下五种。
①模糊数学综合评判预测。
②神经网络预测。
③分形预测。
④突变理论预测。
⑤灰色理论预测。
5 )根据特殊的地质现象进行宏观预测
特殊的地质现象诸如钻孔岩芯饼裂现象; 现场大剪试验或表面应力解除时,岩体四周被解除后,底部会自动断裂,甚至会被弹起,并伴有断裂声等; 应力—应变全过程曲线异常等。 这些现象多预示着该区岩体具有较高的地应力,可以帮助判断岩爆是否发生。

2)采用微震检测技术对岩爆进行预测预警

微震是检测岩爆孕育过程中岩体微破裂发生的一种有效方法。 微震检测在南非深部金矿、加拿大和澳大利亚等深部矿山已有30多年的历史。 我国近10年已有越来越多金属矿山、煤矿开展微震检测。 我国的边坡和深埋隧道最近5年也开展了微震检测工作。 通过这些实践,在微震传感器布置、定位算法、滤波算法、系统研制与软件开发等方面
取得了重要进展。

1 )微震检测原理及系统构成
①微震检测原理。
微震检测的基本原理是通过传感器收集和采集由岩体破坏或者岩石破裂所发射出的微震波信号,对地震波信号进行处理分析,从而得到振动发生的位置、震级大小、能量及地震矩等信息。 利用系统所携带的软件,结合地震学原理对围岩的应力应变状态进行分析,从而判断岩层的稳定性。
②微震定位原理。
由于P波与S波波速不同,所以当微震事件发生后,P波与S波到达传感器就会有时差。若已知P波和S波波速,则利用以下公式可求
出传感器离震源距离:

图片

根据每个传感器搜集到的信号,计算该传感器离震源距离。 以传感器所在位置为半径,计算得到的距离为半径画圆,当传感器数目足够时,这些圆就会交为同一点,该点即为震源,见图1。


图片

图1  微震定位原理

③微震检测系统构成。

微震检测系统主要包括传感器、信号采集仪、通信系统和中心服务器。

④系统功能。

微震信号24h实时无遗漏采集;微震信号自动滤波与识别;P波和S波自动拾取;微震源自动定位;微震源精细定位;连续历史信号查询;振动信号自动绘图;信号采集模式选择;能量、转角频率、体变势、地震矩、震源半径、震级、视体积、视应力等地震学参数自动计算;定位信息与灾害风险区三维动态显示;采集仪配置与监控;微震系统配置与监控;数据流监控、端口配置与监控;微震波形实时显示(虚拟示波器)。

2)微震传感器布置

在隧道钻爆法施工中,爆破作业是岩爆和塌方等工程事故的主要诱发因素,越靠近掌子面,岩爆或塌方等工程事故发生的风险也就越高;同时,传感器安装需较长时间,安装人员将面临岩爆或塌方的风险也较大。因此,为了保障安装人员的人身安全及避免因爆破冲击而造成的传感器损坏或失效,传感器布置应适当远离掌子面,按阵列布置。

①距掌子面60~70m处布置第一组共4只(编号D1-1~D1-4)传感器。D1-1~D1-4均为单向速度型,钻孔深度3m,超过松动圈范围;钻孔直径约为安装传感器直径的1.5倍,即75~80mm。传感器
走向上布置方式如图2a)所示,相邻传感器相距2m,断面上布置方
式如图2b)所示。
②当第一组传感器距离掌子面约 100m 时,安装第二组共 4 只(编号  D2-1~D2-4 )。
③掌子面继续推进至距第一组传感器约 130m 处时,回收第一组传感器,并于距当前掌子面 70m 处安装第三组传感器。
重复上述步骤,实现紧跟掌子面移动的实时检测。 各个传感器在空间上错开式布置,能有效提高定位的精度,空间上传感器协同工作示意如图  2c )所示。
图片
图2  掌子面掘进紧跟掌子面移动整体协同传感器优化布置

(3)岩爆微震检测与预警预报
建立隧道岩爆实时微震检测与预警预报系统,将现场微震检测实时分析结果传输到管理平台,以便及时了解现场微震活动情况,根据检测结果及时对现场情况进行决策、指挥与管理。 见图3。

图片
图3  岩警预爆微震检测与预测系统  

内容源于网络,旨在分享,如有侵权,请联系删除


相关资料推荐:

高地应力隧道施工方案编制说明

https://ziliao.co188.com/p63463740.html



知识点:高地应力硬岩岩爆隧道施工技术


全部回复(0 )

只看楼主 我来说两句抢沙发
这个家伙什么也没有留下。。。

隧道工程

返回版块

2.96 万条内容 · 280 人订阅

猜你喜欢

阅读下一篇

高寒缺氧环境隧道装渣运输方案及配套建议

 引 言

回帖成功

经验值 +10