土木在线论坛 \ 道路桥梁 \ 桥梁工程 \ 钢-混组合结构桥梁

钢-混组合结构桥梁

发布于:2022-09-26 15:54:26 来自:道路桥梁/桥梁工程 [复制转发]

前言

钢-混组合结构桥梁作为可实现可持续桥梁工程的结构形式之一,有良好的综合技术经济效益和社会效益,日益受桥梁工程界所欢迎。钢-混组合结构能充分发挥混凝土和钢材各自的材料性能优势,以其整体受力的合理性、经济性、便于施工等突出优点,已广泛应用于结构工程许多领域。为促进我国桥梁建设向装配化、绿色化及智能化的转型升级,在中小跨度桥梁中推广使用钢-混组合结构面临机遇与挑战。

钢-混组合结构桥梁2020年度进展主要搜集了来自各大常用数据库中的英文文献和中文文献,其中英文文献库包括:Whiley,Springer,Elsevier,ASCE;中文文献库来源:中国知网、万方。英文期刊主要包括:《Engineering structures》,《Thin-Walled Structures》,《International Jou-rnal of Steel Structures》,《Construction and  Building Materials》,《Journal of Construction-al Steel Research》,《Structures》,《Journa-l of Bridge Engineering》,《Journal of Structur-al Engineering》,《Advances in Structural Eng-ineering》,《Composite Structures》,《Inter-national Journal of Steel Structures》,《Advan-ces in Bridge Engineering》等。中文期刊主要包括《土木工程学报》,《中国公路学报》,《建筑结构学报》,《桥梁建设》,《建筑科学与工程学报》,《工程力学》,《铁道学报》,《土木工程与管理学报》,《长安大学学报(自然科学版)》,《浙江大学学报(工学版)》,《南京工业大学学报(自然科学版)》,《公路交通科技》,《铁道科学与工程学报》,《西南交通大学学报(自然科学版)》等。

为了跟踪组合结构桥梁研究动态,掌握本领域研究热点以及发展趋势,西南交通大学高性能组合桥梁研究团队基于上述文献来源,对2020年度国内外学者在钢-混组合结构桥梁研究领域所取得的进展进行了扼要的梳理和总结。钢-混组合结构桥梁是国内外学者高度关注的热点问题之一,2020年度发表的文献远不止所列,欧洲和日本等国家和地区学者所发表的非英文文献未列入,国内学者发表的论文也可能存在挂一漏万之处。

1 剪力连接件研究进展

本节主要搜集整理了2020年度剪力连接件性能研究的相关文献,以推出试验和有限元模拟为主要研究手段,研究对象为焊接栓钉连接件,PBL剪力连接件,螺栓连接件,同时,还有一些对常用于桥梁结构中的新型连接件的探索,如用于加固的螺栓抗剪连接件的性能研究以及特殊应用场景的剪力滞后抗剪连接件的使用,此外,抗剪连接件在新型混凝土材料中的性能研究也受到了很大的关注。研究性能除基本的抗剪性能外,研究者们根据连接件的主要应用场景,对压-剪,拉-剪,以及其他工作环境,如腐蚀环境,冻融环境等特殊工作环境下的使用性能进行了研究,其中相关的静力性能研究较多。

1.1 栓钉连接件及其新型连接件

高性能混凝土材料的应用在组合结构中已是发展的大趋势,往年对于连接件在高性能混凝土材料中的抗剪性能已有部分研究,其中主要有UHPC,使用UHPC的桥面板较薄,使得栓钉的变形特点与嵌入普通混凝土的连接件较为不同。

Tong等[1]研究了高强度钢(fy= 690MPa)-UHPC组合梁中栓钉连接件的抗剪性能,进行了6个推出试件,分为三组,研究参数包括直径和栓钉的布置(单个栓钉/栓钉群),对滑移曲线经验公式,破坏模式,群钉效应等进行了研究,见图1?1。Zhao等[2]研究了钢-UHPC组合桥面板性能,提出了一种用于UHPC薄桥面板的短槽钢连接件,并通过推出试验和有限元参数分析来研究其力学性能和适用性,见图1?2。

图片

图 1-1 栓钉失效状态[1]


图片

图 1?2 推出试验模型[2]


林明畅等[3]通过对8组试件进行推出试验,对带环氧胶层的钢-UHPC栓钉剪力连接件(如图1-3所示)的极限承载状态进行研究。邵旭东等[4]提出一种新型剪力连接件-短钢筋连接件(如图1-4所示),并对其开展了静力推出试验和疲劳推出试验。

图片

图 1?3新型胶栓剪力连接件示意图[3]


图片

图 1-4短钢筋连接件示意图[4]


不同于以往进行的推出试验,研究者们越来越关注剪力件在实际使用受力状态下的力学行为以使研究目标更为精细,依据不同的使用特点研究它与一般抗剪性能的区别,如拉-剪使用环境下性能,存在剪力滞后效应的连接件性能,低温条件下栓钉性能,以及其他劣化条件下性能的研究。

刘永健等[5]通过有限元分析法研究了车轮荷载下加劲肋与横梁形式对双工字钢组合梁栓钉剪力键的拉拔应力的影响,如图1-5所示。安然等[6]针对栓钉连接件在拉剪复合作用下栓钉剪力键的承载能力及其计算公式进行研究,并通过理论分析推导出拉剪复合作用下栓钉剪力件极限承载能力的计算模型,如图1-6所示。

图片

图 1-5最大拉拔应力随k1趋势[5]


图片

图 1-6拉剪复合作用下栓钉剪力键的计算模型[6]


Deng等[7]采用凝胶覆盖的剪力钉作为钢混结合装置,对三组梁柱节点进行了动力试验,见图1-7。Xu等[8]对9个不同橡胶套高度的栓钉连接件,进行疲劳推出试验,研究了套橡胶管的栓钉连接件的剪切疲劳性能,建立了套橡胶管栓钉连接件的静力滑移公式和疲劳S-N曲线,见图1-8。Zhuang等[9]研究了索塔锚固区钢-混凝土组合界面中套橡胶管的剪力连接件(RSS)抗剪机理,进行了节段模型试验和有限元(FE)模拟,分析了不同RSS配置下的连接件,钢-混相对滑移和混凝土塔应力,见图1-9。

图片

图 1-7 凝胶覆盖的栓钉连接件[7]


图片

图 1-8 带橡胶套的栓钉破坏形态 [8]


图片

图 1-9 斜拉桥桥塔中带橡胶套的栓钉连接件[9]


黄彩萍等[10]针对橡胶-剪力钉群钉连接件开展推出试验,探究其对改善群钉剪力件受力不均匀性的效果。谢宜琨等[11]对低温环境下栓钉连接件的破坏形态、荷载-位移曲线、抗剪承载力和抗剪刚度进行研究,低温保温装置见图1-10,破坏形态见图1-11。

图片

图 1?10 低温保温装置[11]


图片

图 1?11 常温与低温时间混凝土破坏对比[11]


汪劲丰等[12]通过24个栓钉连接件推出试验研究了栓钉长度对其抗剪承载能力的影响(见图1?12),结合其他学者的栓钉连接件推出试验结果拟合出了考虑栓钉高度的栓钉承载能力计算公式。刘双等[13]依托一座六塔钢-混凝土组合梁矮塔斜拉桥对现浇桥面板的钢-混组合梁界面栓钉参数进行敏感性分析。

图片
图片

(a)横桥向剪力                           (b)纵桥向剪力


图 1?12收缩作用下不同间距剪力钉受力情况[13]


1.2 PBL剪力连接件与钢-混接头连接

Zhan[14]考虑了PBL连接件,栓钉连接件在有外部压力下推出试验的性能,以模拟如塔柱内,有长期较大侧向压力时,连接件的性能问题,推出试验模型见图1?13。Liu等[15]研究了PBL的平面外剪切行为,以应对截面横向弯曲的情况,受力路径见图1?14。

图片

图 1?13 压剪推出试验模型[14]


图片

图 1?14 PBL连接件面外受力路径[15]


Németh等[16]对波形钢腹板与混凝土板之间的混凝土榫剪力键做了推出试验。通过在波形腹板的平板板段挖孔,再放入横向钢筋的方式形成混凝土榫剪力键,破坏模式如图1?15所示。

图片
图片

(a)单纯插入式                        (b)带有混凝土榫


图 1?15  单纯插入式构件和带有混凝土榫剪力键构件的破坏模式


He等[17]研究了有无钢槽约束下的PBL连接件(见图1?16)性能,以模拟真实的斜拉桥钢-混混合段接头处的受力传递模型,探究了栓钉与PBL多种连接件共同存在时的受剪模式。Zou[18]着重分析了受力传递与破坏模式,以及钢-混摩擦力的影响,见图1?17。

图片

图 1?16 有无槽钢约束的PBL连接件[17]


图片

图 1?17 混合段接头[18]


1.3 螺栓连接件

螺栓连接件相较于普通的焊接栓钉连接件,有易操作施工,快捷等优点,对于其作为抗剪连接件的性能也是广受关注,在桥梁加固和快速施工方面以往已有一些实际的研究成果,但抗剪性能仍需进一步细化探究。Yang等[19]试验了十个螺栓抗剪连接件的推出试件,并研究了多螺栓抗剪连接件的布置形式,螺栓的间距以及对钢筋混凝土板的加固措施下连接件的剪切强度。Hosseini等[20]通过静载试验研究了螺栓剪力连接件的刚度,极限强度和延性,通过高周疲劳试验,得出螺栓剪力连接件的S-N曲线,确定了这种剪力连接件的失效模式,认为螺栓连接器具有替代传统焊接螺柱的优势。Li等[21]研究了高强螺栓连接件(见图1?18)在腹板开孔的组合梁中的性能,试验了六个带腹板开口的高强度螺栓连接的组合梁(三个带有节段混凝土板的试样,三个带有整体混凝土板的试样),对失效模式,组合刚度,开口附近应变分布,螺栓公差等影响进行了分析。

图片

图 1?18高强螺栓连接件[21]


1.4 连接件耐久性能与退化性能

赵根田等[22]通过试验模拟和数值模拟,研究了低周往复荷载作用下群钉连接件的栓钉直径、混凝土强度和加载方式对群钉剪力连接件抗剪承载能力的影响,试件刚度退化曲线见图1?19。

图片

图 1?19 刚度退化曲线[22]


荣学亮等[23]基于考虑构件初始缺陷影响的断裂力学方法对受反复剪力作用的栓钉连接件的极限承载能力退化程度进行研究,建立栓钉连接件疲劳寿命分析模型,并通过试验确定了模型中的未知参数,提出了栓钉剩余承载能力与等幅循环荷载加载次数之间的计算方法,见图1?20。

图片
图片
图片

(a)栓钉直径影响    (b)初始缺陷率影响    (c)剪应力幅值影响


图 1?20极限承载能力随循环荷载的变化规律[23]


张建东等[24]利用外加电流对间断式开孔板PBL连接件进行快速锈蚀处理(如图1?21),并对锈蚀处理后的连接件进行推出试验,探究锈蚀对其抗剪性能影响。

图片

图 1?21 加速锈蚀电路图[24]

2 钢-混组合梁研究进展

本节主要汇总2020年对组合梁桥的相关研究文献,主要指组合梁式桥的相关研究,其中分类了7个部分,1)组合梁理论模型建立,主要指有限元理论的应用,以及自编程序的建立用于计算组合梁桥的力学特性;2)组合梁组合效应与空间受力行为研究,主要包括,组合梁弯曲性能,抗弯承载力,弯扭,弯剪,弯-扭-剪等空间力学行为,其中组合梁有,组合板梁,波形钢腹板组合箱梁,钢管混凝土桁架梁等梁式桥;3)组合梁负弯矩区性能研究,包括了负弯矩区裂缝控制与负弯矩区组合梁刚度研究;4)组合梁动力特性研究,研究了考虑连接件柔性特性时,组合梁的动力特性;5)组合梁劣化性能与检测加固研究,包括疲劳,腐蚀,高温等特殊环境下结构的退化性能,以及结构损伤后检测的相关研究;6)组合梁施工方法研究;7)组合梁常用构件性能研究,其中包括对波形钢腹板的抗剪、疲劳特性研究,以及钢管混凝土节点的疲劳特性研究。

2.1 组合梁理论模型研究

为避免复杂的三维建模,研究者们通过提出不同的组合梁单元模型,利用不同的静力分析方法,以达到高效率的求解,也有研究者通过现有的有限元软件,进一步简化建模程序,达到求解的目的,求解组合梁的长、短期组合性能。

Das等[25],考虑粘结滑移和轴弯剪共同作用,提出了一种新的组合梁单元,通过对材料实施耦合多轴本构关系以及新的稳定性准则,将Ayoub和Filippou(2000)的双场混合变分原则扩展到考虑复合材料构件剪切问题中。Uddin等[26]采用高阶梁理论(HBT)建立一维有限元模型,以预测钢-混凝土组合梁的可靠响应。剪力连接件被理想化为连接钢梁与混凝土板连接的界面分布弹簧,HBT在沿梁高度方向上提供了剪切应力的真实抛物线变化。Henriques等[27]建立了基于广义梁理论(GBT)的时变有限元模型,考虑了混凝土徐变和截面变形(剪力滞和扭转)的影响,徐变的影响通过线性粘弹性定律和徐变函数的Dirichlet级数逼近进行建模,裂缝模型遵循标准的固定弥散型裂缝方法。Zhu等[28]建立了每个节点具有11个自由度的曲线结合梁的理论模型,见图2?1。自由度包括钢与混凝土之间的纵向位移,横向位移,挠度,扭转角,翘曲角和双轴滑移。Lin等[29]提出了一种基于配点法的组合梁静力分析方法,与解析法中复杂的微分方程推导不同,控制方程的解首先假定为具有待定系数的Fourier级数,然后通过满足控制方程和配置点处的边界条件来确定系数,这些配置点沿梁的跨度均匀分布,建立无需进一步空间离散的梁模型。Feng等[30]综合考虑波形钢腹板箱型组合梁(CBBCW)的特性,包括剪切滞后,界面滑移,剪切变形等因素,基于Hamilton原理,开发了一种用于计算CBBCW固有频率的改进分析方法(IMA)。Lin等[31]使用考虑了粘结和摩擦的多折线模式内聚区模型来描述,钢-混结合界面的切线滑移和法向裂纹,通过ABAQUS中的用户定义的单元子程序UEL实现了零厚度的粘合单元,并使用该方法对两跨连续箱形梁进行了数值模拟分析。Silva等[32]使用顺序线性规划算法优化了具有部分相互作用的钢-混凝土组合梁的有限元模型。Ji等[33]通过等效刚度原则,将组合梁的波形钢腹板等效为正交异性板(如图2?2所示),推导了等效后钢板的弹性模量和剪切模量,通过试验和有限元结果的对比,验证了等效的可行性。

图片

图 2?1 改进的有限元模型 [28]


图 2?2将波形腹板等效为正交异性板[33]


2.2 组合效应与空间受力行为研究

组合结构梁由钢-连接件-混凝土组合而成,其受力形式除受到钢,混凝土自身截面、材料特性外,剪力连接件的配置,滑移等使得组合梁的特性与其他结构显得不同,需要研究者们不仅对组合梁的整体空间性能研究,还要对梁式结构中参与受力的剪力钉性能进行研究。

组合梁的抗弯性能一直是研究者们关注的重点,与实际的工程需求息息相关,研究者们对不同的荷载类型,梁结构和截面尺寸,剪力件配置,剪力件连接种类等各种参变量下的组合梁抗弯性能进行研究。Kalibhat等[34]提出了一个简化的数值计算模型对钢混组合梁(SCC)梁进行建模,进行了参数化研究,考虑了剪力连接度,跨度,载荷类型,栓钉连接件的分布,钢梁的几何形状,钢的屈服强度和混凝土等级。Hillhouse等[35]考虑了集束和均布两种剪力钉布置形式与不同摩擦结合面(见图2?3),对组合梁进行疲劳试验。采用压力应变片(PMS40),对剪力钉-混凝土之间的压力规律进行测量,从而得到剪力钉承受剪力的大小。Razzaq[36]通过三维有限元建模,确定了静载荷作用下简支斜交复合工字梁的弯矩和剪力分布系数,针对梁弯矩和剪力分布因子开发了两组经验表达式,与CHBDC(Commentary of the Canadian Highway Bridge Design Code)设计指南进行了比较。Zhang等[37]进行了梁试验和推出试验,以研究横向钢筋配筋率,抗剪连接度,纵向单排和双排栓钉以及栓钉直径对组合梁的纵向剪切性能和破坏形态的影响。李杨等[38]对2个两跨连续钢-混组合梁进行静力加载试验研究钢-混凝土双面组合梁的基本性能,加载试验如图2?4所示。

图片

图 2?3集束和均布两种剪力钉布置[35]


图片

图 2?4试件安装、加载示意图[38]


在考虑连接件纵向抗剪对结构性能的作用时,当采用柔性连接件,研究者们也关注了组合梁的横向受力行为。Zhu等[39]研究了考虑受压薄膜效应的组合箱梁中桥面板的横向性能,提出了一种计算不同边界条件下板承载能力的新方法,桥面板构造如图2?5所示。Kong等[40]使用刚性梁法(RJG),评估AASHTO公式,以获得多箱室组合梁的弯矩分配系数(LDF),通过两次现场试验验证。通过参数分析,提出了一种由粗略和精细计算组成的遍历算法来获得桥梁的LDF。Xiang等[41]在本文中,对已有的双工字钢梁桥梁进行了有限元分析,以研究其混凝土板在外部荷载下的横向弯矩分布,见图2?6。提出了一种基于框架模型的横向矩分布系数的简化预测方法,还通过参数分析研究了几何参数和混凝土板开裂对横向弯矩分布系数的影响。

图片

图 2?5 具有受压薄膜效应的组合箱梁桥面板[39]


图片

图 2?6 横向弯矩分布[41]


李立峰等[42]通过建立一座40m跨径组合桥梁的有限元模型对榀内横向联结密布、榀间横向联结的不等横向联结系钢-混组合梁桥的荷载横向分布效应展开研究,着重分析了不同桥面板厚度下横向联结数量对荷载横向分布的影响规律。闫林君等[43]采用杠杆原理法、刚性横梁法、修正刚性横梁法、铰接梁法和有限元法等多种方法对14.18m宽、不同跨径、不同主梁数及不同主梁高度的6种钢-混组合梁桥的荷载横向分布系数进行计算比较,探究装配式多主梁钢-混组合梁桥的荷载横向分布规律。

对于引入新材料,尤其是高强钢,高性能混凝土,结构的刚度,破坏形式,理论极限状态,承载力等性能优化的研究,以及与传统普通混凝土之间的对比也是研究的热点。Zhu等[44]本文对两种不同类型的混凝土(钢纤维混凝土,SFRC;工程水泥基复合材料,ECC)和剪力连接件(抗剪栓钉;抗拔不抗剪连接件,URSP)的曲线组合箱梁进行了静载荷试验,建立了详细的有限元模型,以预测整体载荷-位移关系和应变结果,试验构件见图2?7。Liu等[45]通过试验和有限元数值计算研究了三种组合梁的性能,其中包括钢-钢筋混凝土组合(S-RC),钢-超高性能混凝土组合(S-UHPC),钢-钢筋混凝土-超高性能混凝土组合(S-RC-UHPC)。Haber[46]对使用UHPC的两个创新的预制桥面板-梁连接细节(见图2?8)的性能进行了试验研究,变量包括空腔的几何形状,栓钉配置,定位销配置和定位销长度。Hu等[47]通过试验和数值方法研究了钢-UHPC组合梁中集束式栓钉的剪切特性和梁的抗弯性能。结果表明:钢-UHPC组合梁的屈服荷载,极限荷载和弹性刚度分别比钢-NC组合梁提高了4.6%,11.3%和10.8%。

图片

图 2?7 栓钉连接件和URSP [44]


图片

图 2?8预制桥面板-梁连接细节[46]


马印平等[48]对钢管混凝土组合桁梁的受弯性能进行研究,给出了在单点荷载及双点对称荷载下简支组合桁梁各构件的效率系数,在此基础上推导出组合桁梁的破坏模式判定方法和受弯承载力的计算方法,并对此方法的精确性进行了检验。

除了抗弯性能,对于组合梁的其他空间受力行为,包括非对称弯曲,扭转,弯扭,弯剪扭组合,不同的荷载模式,钢筋配置,剪力连接度设置等,研究者们对其破坏形态、传力机理等也进行了研究。

Lin等[49]对钢-混凝土组合双工字钢梁桥进行了静载试验,加载试验采用对称加载和非对称加载两种加载条件,见图2?9。Rossi等[50]研究了钢-混凝土组合梁的横向屈曲(LDB)承载力。Suzuki等[51]对工字钢钢混结合梁(见图2?10)同时受弯扭作用时的受力性能进行了试验研究,研究了极限旋转强度、旋转刚度和极限剪切强度。

图片

图 2?9对称加载和非对称加加载条件[49]


图片

图 2?10受弯扭钢混梁[51]


Soto等[52]研究了箱型组合梁承受弯-剪-扭复合作用下的性能,试验观察到,混凝土中的应变低于Navier-Bernouilli平面应变假设所预期的应变;着重地分析了混凝土板在抗剪,抗扭中的作用,采用组合截面广义Cardiff模型确定了更精确的极限抗剪承载能力,构件截面如图2?11所示。Zhu等[53,54]对如图2?12所示的6个华夫板的组合梁(SUCBWS)进行了试验和有限元分析,研究了SUCBWS的剪弯受力机理,研究参数包括:钢材强度,肋高与华夫板厚度比,横向配筋率以及肋的布置,提出了SUCBWS抗弯承载力的计算方法;研究了组合梁的典型挠曲和剪切模式和极限行为。

图片

图 2?11 one cross section of tests[52]


图片

图 2?12 steel-UHPC bridge[53,54]


上述研究的主体结构多以工字钢组合梁为主,且连接件多为栓钉连接件,对于其他组合梁,如带有波形钢腹板的组合箱梁,钢管混凝土翼缘组合梁等,以及其他连接件的梁式试验研究,研究相对较少。Cong等[55]研究了变截面波形钢腹板组合箱型梁(CBGCSW)在弹性阶段的剪力滞效应,提出了一种理论计算方法,改进钢筋模拟方法,评估了钢筋数量对改进的钢筋模拟方法的计算精度的影响。基于所提出的理论方法,对CBGCSW与相应的混凝土箱形梁的剪力滞效应进行了比较,并得出了宽跨比,梁高比,梁高变化曲线等各种参数的影响。Chen等[56]通过试验,数值分析研究了带有波形板和下桁梁连接的顶板混凝土底板钢管混凝土组合箱形梁(如图2?13所示)的抗弯性能。Zhang等[57]对顶板为混凝土板,底板为平钢板,腹板为波形钢板的组合梁的扭转力学行为进行了试验研究。Ar?ko?lu等[58]提出了一种钢-混凝土组合系统(见图2?14),使用槽钢剪力连接件结合混凝土面板和I型钢,关注了直剪切试验以确定连接件的抗剪能力,并对结合梁进行试验,认为实际使用中,面板可以由采用纵向和横向接头的多个块形成。并用接缝连接。Suwaed等[59]研究了带有抗摩擦的螺栓剪力连接件(FBSC)组合梁性能,对9.0m长的预制钢混凝土组合梁进行了带有六个循环荷载的四点弯曲试验,与焊接螺栓剪力钉不同,FBSC可以快速提供刚度,测量了挠度,滑移,等结果,同时还有包括失效模式,有效宽度,裂纹拓展等其他研究结论。

图片

图 2?13钢管混凝土组合箱形梁[56]


图片

图 2?14 Composite system[58]


2.3 组合梁负弯矩区性能研究

组合梁的负弯矩区性能一直是研究热点,负弯矩区混凝土容易开裂,对于裂后的刚度退化以及耐久性问题,研究者们做了很多工作,以探究不同参数下,如剪力连接件形式,连接件分布,配筋等,组合梁的初始开裂荷载,裂缝拓展模式,负弯矩区性能优化等。

其中最直接的方法就是使用高性能混凝土材料改善混凝土板的开裂性能从而提高抗裂性能。Zhu等[60]对UHPC-钢组合梁进行了负弯矩弯曲试验研究,对比了不同的负弯矩区接头配置。刘新华等[61]用超高性能混凝土代替传统普通混凝土来解决钢-混组合梁负弯矩区混凝土桥面板开裂问题,提出了建议的UHPC裂缝计算公式,给出了建议的混凝土接口形式和纵向铺设长度。Qi等[62]研究了钢-钢纤维混凝土(UHPFRC)组合梁,并于普通组合梁进行了比较。Zhang等[63]研究了负弯矩下采用螺栓(SU-B)和栓钉(SU-S)两种连接件的钢-UHPC组合梁的抗裂性,弯曲性能和变形特性,对结构的破坏形态,裂纹发展,曲率变化等进行了详尽的分析,试件破坏形态见图2?15。

图片

图 2?15 组合梁破坏形态[63]


Fan等[64]对应用工程水泥基复合材料(ECC)的钢-混组合梁负弯矩区性能进行了研究。对具有不同混凝土板材料和配筋率的三根梁,进行了弯曲试验,建立了一个实用的四参数纤维连接模型来描述不同ECC材料的应变硬化行为。

在其他方面如精细化计算模式,优化结构形式,优化计算程序等,Zhou等[65]通过试验和数值分析,研究了组合梁负弯矩作用下的竖向抗剪性能。Kalibhat等[66]提出了一种简化的数值程序来研究连续钢混组合梁(SCC)的整体性能。段树金等[67]通过试验梁的反向加载试验对钢-混凝土组合与叠合梁(CLB)的受弯性能进行研究,并将其与钢-混凝土双面组合梁(DCB)进行对比,两种组合梁截面构造见图2?16,顶板开裂情况见图2?17。

图片

图 2?16  CLB和DCB的截面构造[67]


图片

图 2?17混凝土顶板裂缝分布[67]


莫时旭等[68]通过分析受载状态下填充式窄幅钢-混组合梁裂缝分布、发育过程和宽度等特征研究了配筋率、抗剪连接度和钢箱梁混凝土填充形式对钢-混组合梁抗裂能力及裂缝开展状况的影响。Wang等[69]讨论了装配整体式预应力混凝土组合梁(AMS-PCCB)在负弯矩下的性能。研究了预应力,混凝土桥面宽度,抗剪连接件类型和桥面加工工艺对AMS-PCCB抗负弯矩承载力的影响,见图2?18。

图片

图 2?18 两种栓钉连接件[69]


2.4 组合梁动力特性研究

组合梁的动力特性一方面影响着行车的舒适性,一方面影响着结构的安全性,当各方向产生较大振动时,不仅影响行车安全,同时,冲击系数过大可能导致结构的应力水平,位移水平超出预期。动力特性受界面刚度,结构与材料特性,移动荷载自身等多种因素影响。

Zhu等[70]提出了考虑滑移和剪力滞的车-钢-混凝土组合桥耦合系统的有限元数值模型,见图2?19。研究了滑移和剪力滞对钢-混凝土组合桥梁系统动力响应的影响,并与既有结果进行了验证。严战友等[71]基于建立的两跨钢-混组合连续梁桥的有限元模型,通过改变移动荷载的速度、载重、跨数、轴数和剪力钉位置等参数,分析不同工况下两跨钢-混组合连续梁铺装层的挠度、应力和冲击系数等相应。Zhang等[72]研究了具有大U肋的钢–UHPC组合桥面板的动力特性,利用橡胶锤的冲击对模态参数进行了评估;对比了传统的正交异性钢板和钢-混凝土组合桥面板,三者的动力特性;关注了板中的振动传递特性,提出了两种减少振动的对策,并验证。Abramowicz[73]开发了复合梁空间刚性模型用于确定基本动力特性:自然振动的频率,自然振动模式和频率响应函数,采用已开发的识别算法可用于估算模型的刚度参数,包括连接刚度,混凝土的弹性,确定性参数可用于模型,数值分析与试验结果对比见图2?20。项贻强等[74]为了探究体外预应力束对钢-混组合小箱梁自振频率的影响,基于Timoshenko梁理论,考虑群钉受力机理,推导了单折线型布筋、双折线型布筋和直线布筋三种情况下钢-混组合单箱梁结构的自振特性计算公式,并进行了有限元验证,进一步分析了预应力大小和预应力束位置对其自振频率的影响。

图片

图2?19 车桥模型[70]

图片

图2?20 数值分析与试验结果对比[73]


2.5 组合梁劣化性能与检测加固研究

组合梁的劣化性能表现在服役阶段刚度退化,承载能力下降等几个方面,主要使用环境有疲劳,腐蚀,高低温,冻融,日照等劣化环境,尽管现在研究者们和设计者们多关注结构的全寿命周期性能,但是由于结构部件退化的随机性,多耦合作用下试验难实现等因素,相关研究较少。

Pham等[75]研究了不同受损形态的双钢箱梁桥(见图2?21)在集中荷载作用下(轻载、重载、循环荷载)的冗余承载力。项贻强等[76]引入考虑栓钉初始缺陷的基于断裂力学的承载力退化模型及经典钢梁、混凝土板承载力退化模型,结合考虑不同疲劳荷载后退化为非完全抗剪结构的剩余极限承载力计算模型,提出了常幅疲劳荷载下组合梁剩余承载能力预测方法,并通过5组试验梁数据验证了此方法的准确性,组合梁剩余承载力计算流程见图2?22。

图片

图 2?21 双箱组合梁[75]


图片

图 2?22组合梁剩余承载力计算流程[76]


Han等[77]通过建立平衡方程考虑分段浇筑连续组合梁的长期徐变效应,采用龄期调整的有效模量法的代数方程对徐变效应进行描述,并在有限元中采用蠕变效应与理论结果进行了对比。Liu等[78]采用Ansys蠕变率法(RCM)分析了推出试验下混凝土板,钢梁和双头螺栓的长期应力分布。周大为等[79]对日照作用下大型钢管混凝土拱桥的温度效应进行研究。Zhang等[80]研究了真实桥梁的温度场,开发并验证了阴影识别算法和仿真模型,以用于未来研究中确定复合桥的温度作用特征,测量和计算结果之间的一致性证明了模型在模拟桥梁长期热负荷和阴影效应(见图2?23)方面的准确性。Zhou等[81]研究了预应力结合梁(PCCBs)的抗火性能,对临界温度、临界挠度、预紧力损失等进行了探讨。Kang等[82]提出了一种结构火灾破坏指数,该指数反映了由于高温引起的材料强度变化,在钢混凝土组合梁的破坏评估中的适用性,火灾破坏指数使用了高温下的材料强度。Zhang等[83]利用瞬态有限元分析程序研究了组合箱梁在火灾暴露与荷载作用下的行为,组合梁抗火曲线见图2?24。

图片

图 2?23 不同时段下结构阴影[80]


图片

图 2?24 抗火曲线[83]


康俊涛等[84]利用有限元软件以一座跨径为40m的钢混组合连续梁桥为研究对象,模拟了不同落石速度、落石质量、接触面积和碰撞位置下,山区落实撞击下行混组合梁桥上部结构的动力响应,落石撞击位置如图2?25所示。McMullen等[85]建立了四个足尺试验来评估UHPC加固钢板梁(见图2?26)的方法,对全高修补和半高修补的情况进行了分析,同时确定焊接螺栓的位置,为快速修补钢板梁桥提供了理论支持和修补思路。

图片

图 2?25落石撞击位置[84]


图片

图 2?26加固钢板梁[85]


2.6 组合梁施工方法研究

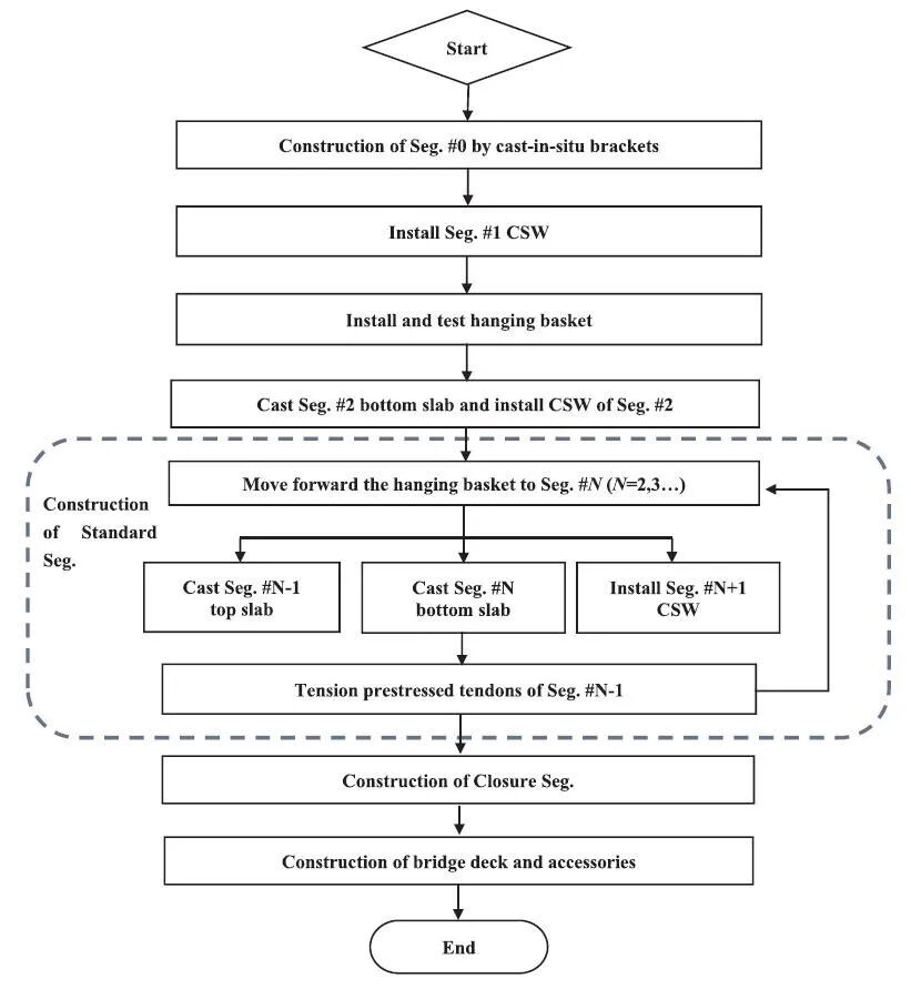
Wang等[86]、He等[87]、Zhou等[88]提出了一种针对波形钢腹板组合梁桥的新型异步挂篮施工方法。总体而言,新型的异步施工方法,减小了挂篮自重,扩大了施工空间,缩短了工期,提高了效率。波形钢腹板组合梁桥具体施工步骤见图2?27和图2?28,施工方法如图2?29所示。

图片

图 2?27波形钢腹板异步施工步骤[86]


图片

图 2?28波形钢腹板异步施工步骤[87]


图片

图 2?29新型挂篮施工方法[88]


2.7 组合梁中常用构件性能研究

(1)波形钢腹板

Gao等[89]研究了內填混凝土圆钢管翼缘I型弯曲梁(CRCFTFG),在中跨集中荷载作用下的极限强度和性能,提出了CRCFTFGs截面上的弹性横向扭转屈曲矩和全塑性弯矩的计算方法,提出了考虑曲率影响的CRCFTFGs极限强度的计算公式,有限元模型见图2?30。

图片

图 2?30內填混凝土圆钢管翼缘I型弯曲梁[89]


Inaam等[90,91]为了模拟波形钢腹板组合梁桥悬臂施工中,腹板局部受力的状态,于有限元模型中波形腹板梁的上翼板上施加局部荷载,探究了主梁上纵向不同的荷载位置,荷载在翼板上的横向偏心,波形腹板的平行段宽和厚度之比,腹板高和厚度之比,波折角对局部荷载极限值的影响。Wu等[92]利用有限元方法对高强度钢S690波形钢腹板工字梁进行了参数分析,将承载力数值计算结果和Driver等五个已有论文的公式计算值进行了比较,通过修正Leblouba公式,提出了适用于高强度钢波形腹板剪切屈曲强度的公式。Zhang等[93]对简支波形钢腹板工字梁的剪切屈曲以及屈曲后的力学行为进行了静力试验和数值仿真,对失效前后的受力状态和渐进的破坏状态(见图2?31)进行了描述与归纳。Yossef[94]研究了曲线波形钢腹板的抗剪强度。选择了20个非曲线波形钢腹板的试验以涵盖广泛的变量,用于验证所提出的抗剪公式,并进行了参数分析,有限元模型如图2?32所示。

图片

图 2?31 三种屈曲模式[93]


图片

图 2?32 曲线波形钢腹板[94]


Wang等[95]研究了具有不同波纹角和曲率半径的波纹腹板工字形梁截面的残余应力分布,见图2?33,并将其与平腹板工字形梁截面进行了比较,提出了与相关影响参数有关的残余应力分布模型。

图片

图 2?33 残余应力分布模式[95]


(2)钢管混凝土节点

刘永健等[96,97]给出了基于热点应力法的钢管混凝土组合桁架桥节点疲劳评估流程(见图2?34),并基于此方法对8种钢管混凝土焊接节点的疲劳构造细节进行比较,提出了分别适用于矩形钢管节点的平面框架模型和适用于矩形钢管混凝土节点的固端梁模型(见图2?35),并推导出2类节点的轴向刚度理论公式。

图片

图 2?34基于热点应力法的疲劳性能评估流程[96,97]


图片

图 2?35轴向刚度简化模型[96,97]


Li等[98]对圆套管混凝土节点进行了疲劳试验研究。设计了五组节点疲劳试验,以探究应力幅,参数β和混凝土填充率ψ对疲劳寿命的影响,节点疲劳裂纹扩展情况见图2?36。

Matti等[99]对面外弯矩下的方钢管混凝土T型节进行了试验和有限元模拟。分别用二次外推和线形外推获得热点应变(力)和名义应变(力)。探究了方钢管节点上关键位置处SCF关于几何参数β,τ,γ的变化规律(见图2?37),最后给出了这些位置处的SCF关于几何参数的计算公式。Jiang等[100]对主管内带有PBL剪力键的方钢管混凝土T/Y型节点的热点应力进行了试验研究和数值模拟,见图2?38。

图片
图片
图片

(a)开始开裂             (b)裂纹扩展             (c)断裂失效


图 2?36  圆套管混凝土节点疲劳裂纹扩展[98]


图片

图 2?37方管T节点SCF随参数β的变化[99]


图片

图 2?38方管Y型节点有限元建模[100]


Yang等[101]对圆套管混凝土T型节点在支管受轴向压力时的极限承载力进行了试验研究,探究了β(支管与外套主管直径之比)和χ(内主管外经和外套管内径之比)对极限承载力和节点失效模式的影响。Zheng等[102]利用有限元方法对钢管混凝土T型节点在四种荷载工况,即支管面外弯矩和面内弯矩,主管轴向压力和主管面内弯矩作用下的热点应力集中系数进行了参数研究,提出了四种作用下SCF的计算公式。Jiang等[103]对主管内带有PBL剪力键,节点处设置过渡板的方钢管混凝土Y型节点的疲劳性能进行了试验研究图2?39。分别记录描述了七个构件在循环荷载下疲劳裂纹的萌生,扩展及断裂失效的全过程。提出了针对于该形式节点的热点应力S-N曲线,同时也给出了等效为16mm板厚的等效热点应力S-N曲线。

图片

图 2?39方管混凝土Y型节点疲劳试验设置[103]


AI Zand等[104]对带有V型凹槽的钢管混凝土截面梁进行了抗弯承载力试验研究(如图2?40所示),随后在有限元模型基础上探究了混凝土强度,钢材屈服强度以及钢管壁厚对钢管混凝土组合梁静力性能的影响,将有限元结果和钢管混凝土结构技术规范(GB50936)中的相应公式作比较,指出该公式可以进行合理预测。

图片
图片

(a)短梁                                     (b)长梁


图 2?40带V槽的方管混凝土组合梁弯曲试验[104]


3 热点与展望

通过对2020年国内外学者在钢-混组合梁桥方面所作研究的综述,主要分为两大类,一类是对抗剪连接件力学性能的研究,一类是钢-混组合梁力学行为研究。可以看出,研究者们对连接件性能着重在高性能混凝土材料下剪力件性能研究,不同力学边界条件下剪力件力学性能研究,新型改进连接件性能研究,以及连接件自身抗剪性能的耐久与性能退化研究;对于钢-混组合梁构件,主要集中在工字形钢-混凝土板组合梁,其他如,组合箱梁,桁架组合梁形式研究相对较少,其中波形钢腹板组合箱梁相比较其他形式而言研究较多,这与国内的发展是密不可分的。在所汇总研究中,研究者们对组合梁的所做工作着眼于7个方面,其中最关注的仍然是组合结构的静力行为、极限承载力特征,对不同配置下梁的正、负弯矩抗弯性能的探究,多种受力状态下结构破坏形式与承载力研究;其次是对负弯矩区性能的研究,以及裂缝控制等相关研究,也包括高性能混凝土材料在这方面的应用;然后汇总了包括组合梁理论模型建立,组合梁不同配置下的动力特性研究;对组合梁结构性能退化的研究较少,检测加固研究也较少;同时也汇总了对波形钢腹板组合箱梁悬臂施工方法的几点探究相关文献,以及在组合结构中常用的基本构件的探究,其中包括波形刚腹板的抗剪性能研究,以及钢管混凝土节点的疲劳特性研究。

与2019年相比,汇总文献中,研究对象没有发生大的改变,延续2019年钢-混组合结构桥梁的研究热点方向,仍以新结构——新型组合结构和连接件的开发;新材料——高性能混凝土,钢,其他纤维材料的应用;新方法——精细分析方法的建立,多阶段结构模型分析,多耦合荷载作用的力学行为研究;及新环境——复杂环境效应,时变结构特性分析等,为重要研究热点与方向。

随着钢-混结合梁桥的建成并投入使用,其结构健康服役的重要性日渐突出。由于结构性能劣化、服役环境变化、车辆冲击振动等内外因素共同作用下,桥梁结构受力状态会发生变化,性能逐步退化,给桥梁结构健康服役状态的判断和预知控制带来了极大困难,亟需开展系统的基础研究。对复杂环境和荷载耦合模式下钢-混组合桥梁结构全寿命周期服役性能演化过程的感知与评估成为必然要求。提升钢-混组合桥梁的耐久性是桥梁基础设施建设的核心技术,从材料性能自然退化、结构原生缺陷劣化和服役环境对损伤的激发等方面入手,研究钢-混结合梁桥服役性能经时演变特征和机理及智能感知和诊断方法,会为该类结构在桥梁工程中的应用提供科技保障。

相关资料推荐:

河南某高速公路(钢-混组合梁)桥梁全套图纸

https://ziliao.co188.com/d48731049.html



知识点:钢-混组合结构桥梁


全部回复(0 )

只看楼主 我来说两句抢沙发
这个家伙什么也没有留下。。。

桥梁工程

返回版块

19.44 万条内容 · 655 人订阅

猜你喜欢

阅读下一篇

这个波形钢腹板组合体内外预应力混凝土箱梁施工工法,有点厉害!

1 前言 波形钢腹板组合体内外预应力混凝土箱梁是一种以波形钢代替传统混凝土作为箱梁的腹板受力的桥梁结构形式,具有自重轻、跨度大、预应力效率高、造型美观等诸多优点。同时,其独特的结构形式使结构各组成部分受力明确,避免了传统预应力混凝土梁桥容易发生腹板开裂的缺点。 本工法着重强调波形钢腹板的制作、吊装及箱梁结构的整体施工过程。通过在XX市XX东路(沪杭高速-XX路)改造提升工程江干段02标等多个工程的应用,有效减少人员和材料的投入、简化了施工,取得了良好的经济效益和社会效益。

回帖成功

经验值 +10