土木在线论坛 \ 建筑结构 \ 地基基础 \ 地基承载力知识点总结

地基承载力知识点总结

发布于:2022-09-26 11:03:26 来自:建筑结构/地基基础 [复制转发]

一、地基承载力的组成

荷载作用下,地基的破坏形式主要包括以下三种

图片
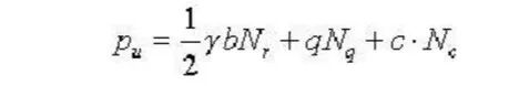
工程中地基土层,一般较好,基础埋深较浅。因此主要发生整体剪切破坏,地基极限承载力计算的太沙基公式为:
图片
式中:
C---土的粘聚力,KPa;
q---基础两侧土压力q=γ0d,若地基土是均质,则基础两侧土压力q=γd;若地基土是非均质,则γ0是基底以上土的加权平均重度; 
d---基底埋深,m ;b---基础宽度,m ; 
Nr、Nq、Nc---无量纲承载力系数,可根据内摩擦角从下表查出
图片
据此可知,地基承载力由以下三部分组成。
图片

二、地基承载力的深宽修正

地基承载力深宽修正的计算公式为:
图片
为什么要进行深度修正?
这主要是因为地基承载力特征值fak,一般都是通过载荷板试验得到的。
图片
这下就很容易理解了,浅层载荷板试验测得的fak,没有包括埋深范围内侧荷载产生的抗力,必须进行深度修正。而深层载荷板试验测得的fak,已经包括埋深范围内侧荷载产生的抗力,因此不需要进行深度修正。
深度修正系数ηd=0
而对于宽度修正,由于实际基础具有一定宽度,比载荷板大很多。基础宽度越大,抗力越大,承载能力越高。因为需要进行宽度修正。但由于宽度大于6m很难发生整体破坏,因此宽度修正时限制。3≤b≤6,宽度修正容易,难把握的就是深度修正,深度d在不同条件下有不同的取值规定,到底d如何取值呢?
图片
图片
图片
图片

三、复合地基承载力的深宽修正

复合地基是指,部分土体被增强或置换,形成由地基土和竖向增强体,共同承担荷载的人工地基,按下列规定进行深宽修正:
图片
为什么宽度修正系数取0,而深度修正系数取1.0呢?
这主要是因为:
01 复合地基破坏模式与天然地基不同,复合地基可能的破坏模式有:
图片
02 载荷板尺寸不同,复合地基载荷试验所用承压板面积为单桩或多桩承担的处理面积明显大于天然地基载荷板试验的承压板面积。
03 复合地基承载力修正的研究成果很少,出于安全考虑。

内容源于网络,如有侵权,请联系删除


相关资料推荐:

地基承载力特征值、标准值、基本值、设计值!

地基承载力计算


知识点:地基承载力知识点

  • djw1234
    djw1234 沙发

    分析的很到位

    2022-09-26 17:39:26

    回复 举报
    赞同0
这个家伙什么也没有留下。。。

地基基础

返回版块

12.11 万条内容 · 716 人订阅

猜你喜欢

阅读下一篇

浅析复合地基

复合地基是指天然地基在地基处理过程中部分土体得到增强,或被置换,或在天然地基中设置加筋材料,加固区是由基体(天然地基土体或被改良的天然地基土体)和增强体两部分组成的人工地基。 在荷载作用下,基体和增强体共同承担荷载的作用。根据复合地基荷载传递机理将复合地基分成竖向增强体复合地基和水平向增强复合地基两类,又把竖向增强体复合地基分成:

回帖成功

经验值 +10