为什么大多数跨海大桥会建成曲线,其实不光是港珠澳大桥,我们的杭州湾大桥等很多跨海大桥都是一条曲线,之所以要这样修建。首先受到了海流的影响,从结构力学的角度来看,有弯度明显更稳定,跨海大桥受到的海浪冲击远远大于普通桥梁,所以通过设计S型曲线,能让水流通过引导减少对桥梁造成的伤害。

而且由于海底并不是平坦的,也会和地面一样是不平的地形,把桥梁修成弯曲的形状是为了避开这些起伏的地形,保障桥梁的稳定和安全。另外把桥梁修成弯曲的,还能防止司机出现驾驶疲劳,比如在一条直线上开车司机经常会因为周围相同的驾驶环境,产生视觉疲劳和精神懈怠,通过弯曲的路线,能引导驾驶人员的视线,这会让司机注意力更加集中,不容易发生交通事故。

所以说把长度很长的跨海大桥,修建成一条弯曲的曲线,受到了自然和现实多种因素影响,并不是在浪费建材。

河南郑州经济技术开发区耿庄村跨越京广高铁的10000吨T型刚构曲线桥、跨域郑西高铁16500吨斜拉桥是郑万铁路的关键控制性工程。当天成功转体的T型刚构桥梁全长147.4米,曲线半径为2500米,总重达到10000吨,相当于37架空客A380,桥面距离地面30米,相当于10层楼的高度。

马哈迪:要重启新马“弯桥计划”,彻底解决海关拥堵问题!关于为何要建弯桥,其实很简单。新加坡Woodlands和马来西亚新山之间连接的通道叫作新柔长堤。既然叫长堤,那自然就不是桥。也便是说,长堤的两边是不能通船的。因为这座长堤的存在,柔佛海峡被硬生生从中间截断,不再具有通航能力。
弯梁桥在现代化的公路及城市道路立交中的数量逐年增加,应用已非常普遍。尤其在互通式立交的匝道桥设计中应用更为广泛。随着高等级公路在路线线形方面的要求越来越高,要求桥梁设计完全符合路线线形,所以桥梁的平面布置,基本上应服从整体线形布置的要求,桥梁纵坡也应服从路线纵坡。为了抵抗梁截面的弯矩和扭矩,在弯梁桥设计中多采用箱形截面。由于桥面超高的需要及梁体受扭时外边梁受力较大的需要,故可在桥梁横向将各主梁布置做成不同的梁高,如图一所示。为了构造简单,方便施工,也可将主梁做成等高度的,其超高横坡由墩台顶面形成。
曲梁在外荷载的作用下会同时产生弯矩和扭矩,并且互相影响,使梁截面处于弯扭耦合作用的状态,其截面主拉应力往往比相应的直梁桥大得多,这是曲梁独有的受力特点。弯梁桥由于受到强大的扭矩作用,产生扭转变形,其曲线外侧的竖向挠度大于同跨径的直桥;由于弯扭耦合作用,在梁端可能出现翘曲;当梁端横桥向约束较弱时,梁体有向弯道外侧“爬移”的趋势。
在曲线梁桥中,由于存在较大的扭矩,因而通常会使外梁超载、内梁卸载,尤其在宽桥情况下内、外梁的差异更大。由于内、外梁的支点反力有时相差很大,当活载偏置时,内梁甚至可能产生负反力,这时如果支座不能承受拉力,就会出现梁体与支座的脱离,即“支座脱空”现象。
由于内外侧支座反力相差较大,使各墩柱所受垂直力出现较大差异。弯桥下部结构墩顶水平力,除了与直桥一样有制动力、温度变化引起的内力、地震力等外,还存在离心力和预应力张拉产生的径向力。
故在曲线梁桥结构设计中,应对其进行全面的整体的空间受力计算分析,只采用横向分布等简化计算方法,不能满足设计要求。必须对其在承受纵向弯曲、扭转和翘曲作用下,结合自重、预应力和汽车活载等荷载进行详细的受力分析,充分考虑其结构的空间受力特点才能得到安全可靠的结构设计。直梁桥受“弯、剪”作用,而弯梁桥处于“弯、剪、扭”的复合受力状态,故上、下部结构必须构成有利于抵抗“弯、剪、扭”的措施。
弯梁桥的弯扭刚度比对结构的受力状态和变形状态有着直接的关系:弯扭刚度比越大,由曲率因素而导致的扭转弯形越大,因此,对于弯梁桥而言在满足竖向变形的前提下,应尽可能减小抗弯刚度、增大抗扭刚度。所以在曲线梁桥中,宜选用低高度梁和抗扭惯矩较大的箱形截面。
在弯梁桥截面设计时,要在桥跨范围内设置一些横隔板,以加强横桥向刚度并保持全桥稳定性。在截面发生较大变化的位置,要设渐变段过渡,减小应力集中效应。
在进行配筋设计时要充分考虑扭矩效应,弯梁应在腹板侧面布置较多受力钢筋,其截面上下缘钢筋也比同等跨径的直桥多,且应配置较多的抗扭箍筋。
城市立交桥中的弯箱梁桥中墩多布置成独柱支承构造。在独柱式点铰支承弯连续梁中,上部结构在外荷载作用下产生的扭矩不能通过中间支承传至基础,而只能通过曲梁两端抗扭支承来传递,从而易造成曲梁产生过大扭矩。为减小弯梁桥梁体受扭对上、下部结构产生的不利影响,可采用以下方法进行结构受力平衡的调整:
4.4.1为减小此项扭矩的影响,比较有效的办法是通过调整独柱支承偏心值来改善主梁受力。
4.4.2通过预应力筋的径向偏心距来消除曲梁内某些截面过大的扭矩,改善主梁的受力状态也是一种行之有效的办法。预应力曲线梁往往产生向外偏转的情况,这是由其结构特点造成的。预应力产生的扭矩分布和自重、恒载作用下的扭矩分布规律有着较大的区别,为调整扭矩分布,可在曲线梁轴线两侧采用不同的预应力钢束及锚下控制应力,构成预应力束应力的偏心,形成内扭矩来调整曲线梁扭矩分布。
曲线梁桥的不同支承方式,对其上、下部结构内力影响非常大。对于弯梁桥,中间支承一般分为两种类型:抗扭型支承(多支点或墩梁固结)和单支点铰支承。在曲线梁桥选择支承方式时,可遵循以下原则:
4.5.1对于较宽的桥(桥宽B>12m)和曲线半径较大(一般R>100m)的曲线梁桥,由于主梁扭转作用较小,桥体宽要求主梁增加横向稳定性,故在中墩宜采用具有抗扭较强的多柱或多支座的支承方式,亦可采用墩柱与梁固结的支承形式。
4.5.2对于较窄的桥(桥宽B≤12m)和曲线半径较小(一般约R≤100m)的曲线梁桥,由于主梁扭转作用的增加,尤其在预应力钢束径向力的作用下,主梁横向扭矩和扭转变形很大。由于桥窄因此宜采用独柱墩,但在选用支承结构形式时应视墩柱高度不同而确定。较高的中墩可采用墩柱与梁固结的结构支承形式。较低的中墩可采用具有较弱抗扭能力的单点支承的方式。这样可有效降低墩柱的弯短和减小主梁的横向扭转变形。但这两种交承方式都需对横向支座偏心进行调整。
4.5.3墩柱截面的合理选用。当采用墩柱与梁固结的支承形式时就必须注意墩柱的弯矩变化。在主梁的扭转变形过大同时墩柱弯矩也很大(一般墩柱较矮)的情况下,宜采用矩形截面墩柱。因为矩形截面沿主梁纵向抗弯刚度较小,而沿主梁横向抗弯刚度较大,这样既减小了墩柱的配筋又降低了主梁的横向扭转变形,更适合其受力特点。
4.6.1所有中墩支座,尽可能横桥向位移固定,可采用盆式或普通板式橡胶支座
4.6.2当桥长较大(如大于100m),梁端支座应能顺桥向自由滑动、横桥向位移固定,可采用盆式橡胶支座,或附加了横桥向位移固定装置的四氟板橡胶支座;此外,梁端间隙和伸缩缝构造,应保证在最大升温条件下,梁能够不受阻碍地自由伸缩变形;当桥长较小时,梁端支座可以采用普通板式橡胶支座。“梁端设普通板式橡胶支座、所有中墩设横桥向自由滑动的盆式支座”,对曲线梁桥是危险的,应绝对避免。
4.6.3当曲线梁桥比较宽、各墩也较宽时,应注意温度变化时由于曲线梁水平弯曲变形在墩顶产生的横桥向水平作用力可能会比较大,尤其是当所有中墩支座均为横桥向位移固定时。
曲线梁桥平面形状:

曲线梁桥的主要截面尺寸:


曲线梁桥结构体系:





对于复杂的曲线梁桥结构,一般采用有限元方法来进行计算。主要的应用有:空间薄壁曲线梁单元(考虑翘曲)、曲线梁单元(不考虑翘曲)、空间壳单元、空间实体单元。在实际应用中有:(1)专门针对曲线梁开发的专业分析软件;(2)大型有限元分析软件,如ANSYS,SAP2000,ADINA等。
针对较窄的混凝土曲线梁桥(如工程实际中应用比较多的匝道桥,宽度一般为8.5米左右),采用单梁模型来建立曲线梁桥的有限元分析模型,并模拟相应的边界条件,进而计算其在结构自重、汽车荷载以及预应力荷载作用下的内力和位移。
基本分析过程
(1)计算主梁跨中、支点截面几何特性参数,如面积A、竖向抗弯惯性矩Iz、横向抗弯惯性矩Iy以及扭转常数Id;
(2)制定有限元模型建立原则,即划分多少单元(综合考虑精度和计算量);
(3)定义节点、几何实常数和物理参数、单元类型;
(4)指定单元类型、实常数、物理参数,生成单元;
(5)设定边界条件、施加荷载;
(6)静力求解;
(7)提取计算数据,查看计算结果。
某预应力混凝土曲线连续梁桥,跨径组合为30+40+30m、桥梁中心轴线曲率半径为R=50m 。0#、3#墩为双柱墩,设抗扭支座;1#、2#墩为独柱墩,墩顶支座设置偏心;桥墩高度均为H=10m,桥墩为直径D=2.30m的圆形截面。主梁宽为8.5米。
曲线梁空间有限元分析单梁法分析的命令流:





梁格法的基本原理及划分原则
曲线梁桥空间梁格法虽然是一种空间分析法,但由于其具有基本概念清晰,易于理解和使用,计算费用较省,应用范围广等特点,在桥梁设计中得到了广泛的应用。
空间梁格法的基本思路:就是用一个等效梁格来代替实际桥梁上部结构。其物理意义是:假定把分散在桥梁上部结构的每一部分的弯曲与扭转刚度集中到与其相邻的梁格内,确保等效后的梁格与实际桥梁在相同的荷载作用下恒具有相同的挠度,且任一梁格内弯矩、剪力和扭矩应等于该梁格所代表的实际结构部分的内力。(只能是近似的,原因如下:)
1)梁格法中任意梁内的弯矩严格与其曲率成正比,而在原结构如板结构中,任一方向上的弯矩和该方向的曲率以及与该方向正交方向的曲率有关。
2)实际板结构中,任一单元的平衡要求扭矩在正交方向上是相等的,而且扭率在正交方向上也是相同的。在等效梁格中,由于两类结构的特性不同,无法使扭矩和扭率在正交方向的节点上相等,然而梁格网格细密时,梁格随着挠曲而成一曲面,在正交方向上可近似相等。
实际桥梁工程中,有板式结构的上部结构,因此简要介绍该种结构如何进行梁格法的简化。 利用刚度等效的原则对板式结构进行梁格划分时,由于上部结构截面形状和支点布置方式的多样化,网格划分很难得到统一规律,一般根据结构布筋方向及结构形式来决定。
不同型式的桥梁结构形式,其网格划分的方法不同,但大致遵循以下几个原则:
1)梁格的纵、横向构件应与原结构梁肋(或腹板)的中心线重合,通常沿 弧向和径向设置;
2)每跨应至少分成4~6段,一般应分成8段或更多,以保证具有足够的精度;
3)连续弯梁桥的中间支承附近因内力变化剧烈,一般应加密网格;
4)横向和纵向构件的间距必须接近相同,使荷载静力分布较为灵敏。
不同结构型式的曲线梁桥网格划分方法
曲线板桥:
肋板式曲线梁桥:


箱形曲线梁桥:
箱形曲线梁桥因其受力性能的特点,通常采用所谓的“剪力柔性梁格”来模拟,其纵向构件轴线一般均与腹板的中心线相重合,这样可使腹板的剪力直接由所在位置的梁格构件的剪力来代表。此外,还需要沿两侧悬臂边翼缘设置纵向构件,这样可以在输入电算数据时简化编制悬臂部分荷载,否则这部分荷载难以处理,下图所示为箱形断面的梁格划分图式。

箱形截面典型梁格划分图式



箱梁剪力柔性梁格法
对于多室箱梁上部结构,剪力柔性梁格法是最适宜的,它可以用于仅一个或几个格室的结构及具有斜腹板的上部结构。上部结构可以是平面上也可以是曲线或是变宽度的。
梁格网格划分:
(一) 等宽多室箱梁结构
用梁格法模拟箱梁结构时,假定梁格网格在上部结构弯曲的主轴平面内,纵向构件的位置均与纵向腹板相重合,这中布置可使腹板剪力直接由横截面上同一点的梁格剪力来表示,如图2-2。在悬臂板边缘纵向设置一个纵向构件,以便于计算悬臂处的荷载。
对于单箱单室横向施加预应力的截面或双箱截面,在顶板上应增设纵向梁格构件,用虚拟构件改善上部结构内的静力分布,其设置方式与板式结构相同。
对于具有斜腹板的上部结构,代表斜腹板的梁格的位置具有一定的随意性,一般而言将斜腹板对应的梁格设置在水平投影的中心处,可以得到满意的结果。
横向梁格设置应视结构的实际情况来确定,若横隔板相当多,这时横向构件应与横隔板重心重合。若横隔板间距较大,则必须增加横向虚拟梁格,其间距一般为反弯点之间距离的1/4。
曲线型箱梁结构:
可以采用图所示的曲线梁格或直线梁格来模拟。
曲线梁桥梁格
纵向梁格构件刚度确定:
1)纵向梁格构件的弯曲刚度
如图所示,将箱梁在腹板之间切开,此时各工字梁的重心将不在同一水平线上,这与实际结构是不相符的。实际梁受弯时,应该绕同一中心轴弯曲,因此,梁格构件所代表的每一根工字梁的截面特性应绕整体的上部结构中性轴计算。当截面翼缘较宽或悬臂较大时,应考虑截面有效宽度影响。
箱梁从顶板、底板切开成工字梁
2)纵向梁格构件的扭转刚度(自由扭转)
当箱梁结构做整体扭转时,环绕顶板、底板和腹板流动,少量通过中间腹板。在比拟的梁格体系受扭时,在横截面上,总的扭转由两部分组成,一部分是纵向构件的扭转,另一部分是由各梁格构件间相反的剪力组成,如图所示。

截面受扭时剪力分布
3)纵向梁格构件的剪切刚度(自由扭转)
由于剪力流使腹板产生剪切变形,纵向梁格的剪切面积应等于腹板的横截面面积。
横向梁格构件刚度确定:
1)横向梁格构件的弯曲刚度
EIx=E·(横向梁格所代表的截面对X中性轴惯性矩),如果横梁内包括横隔板,则应计入横隔板的影响。
EIy=E·(横向梁格所代表的截面对Y中性轴惯性矩),如果横梁内包括横隔板,则应计入横隔板的影响。
2)横向梁格构件的扭转刚度
3)横向梁格构件的剪切刚度

若箱梁内有横隔板As中还应包括横隔板面积。
曲线梁桥空间分析法-梁格法

梁格划分 :
采用梁格法来分析曲线连续梁桥结构在自重荷载作用下的内力及变形,以演示应用ANSYS软件采用空间梁格法对曲线连续梁桥的分析过程。


箱形截面梁格划分纵向梁格

箱形截面梁格划分横向梁格
曲线连续箱梁桥梁格有限元模型建立:
根据曲线连续箱梁桥结构梁格法的划分原则与方法,建立相应的有限元模型。纵向梁格划分为7条纵梁(共3类构件),横向单位长度(1米)划分横向构件(共两类构件)。

有限元模型图


结构自重作用下的变形图及竖向弯矩图

2、6#纵梁扭矩图

2、6#纵梁弯矩图

4、5#纵梁扭矩图

3、4、5#纵梁弯矩图
根据结构自重作用下的内力图与位移图可以发现曲线梁桥外侧受力比内侧要大;而扭矩则表现出内侧梁比外侧梁大的特点(以前很少注意到这点,值得关注)。
曲线梁桥的构造形式与直线梁桥有不少相似之处,但由于它是曲线梁桥,其结构受力的特点不同,在构造处理上也相应有其较多特点。
1、由于曲线梁桥(弯桥)比直线梁桥的受力复杂,对结构的抗弯、抗扭性能要求高于同跨径的直线梁桥,故采用整体性好、抗扭刚度大就地浇注的连续箱形梁桥比较好。
2、小半径曲线梁桥的梁高大于跨径的1/18时,是比较经济的。在特殊情况下也不应小于跨径的1/22。
3、由于混凝土的收缩、徐变涉及的因素较多,每个工程中混凝土的材料、级配不尽相同,要很精确的计算出混凝土收缩、徐变对小半径曲线梁桥的作用较难。故在设计小半径曲线梁桥,最好采用普通钢筋混凝土结构。对于预应力混凝土曲线梁桥,纵向预应力筋采用高强度低松弛钢绞线,但钢束一般不大于12-7ф5,压应力应小于12MPa,拉应力小于1MPa,为预应力A类构件即可。
4、与一般的直线桥相比,曲线箱梁桥顶板、底板和腹板中的纵向受力钢筋、横向钢筋、箍筋、水平分布钢筋都要考虑到全桥计算和构造上的需要,并适当加强。
5、在预应力混凝土曲线梁桥中设置防崩钢筋。
6、在支承形式上,小半径曲线梁桥通常三种布置形式:①全部采用抗扭支承。②两端设置抗扭支承,中间设单支点铰支承。③两端设置抗扭支承,中间既有单支点铰支承,又有抗扭支承的混合式支承,下部墩柱当与之相匹配。
对于多跨小半径曲线连续梁桥,全部为抗扭支承与中间为点铰支承的,两者在荷载作用下的弯矩和剪力值差别甚小,而且曲率的变化对弯矩值的影响也只有1%~2%;,但对扭矩的影响,则随曲率的增大而加大。当各跨圆心角大于30度时,中间设单支点铰支承的扭矩控制值比全部为抗扭支承的扭矩控制值要大15%左右。在中间设独柱式单支点曲线连续梁内,上部结构的扭矩不能通过中间单支点支承传至基础,而只能由曲线桥两端设置的抗扭支承来传递。在此情况下连续梁的全长成为受扭跨度,这也是我们常常所说的扭矩的传递作用。必然造成曲线桥两端抗扭支承处产生过大的扭矩,造成曲线梁端部内侧支座脱空,所以在必要时,须对多跨桥梁中间墩设置两支点的抗扭支承。
如果在中间墩点支承向曲线外侧方向预设一定偏心值,就可以调整曲线梁桥的梁体恒载扭矩分布,有效地降低两端抗扭支承的恒载扭矩值。但这一措施对减少活载扭矩的影响较小,这是由于活载引起的扭矩中车辆偏载占了很大一部分。
7、必要时可在墩顶设置限位挡块或采用墩梁固接的办法来限制曲线梁桥的梁体径向位移。
一、弯桥正作时的防撞护栏预埋钢筋位置不准确
随着公路等级的不断提高, 弯桥的比例逐渐增多, 对于预制装配式桥梁来讲, 大多数采用弯桥正作, 即桥梁主体为折线, 曲线线形仅靠两侧护栏形成。但一般在施工设计图纸中预制梁板中的防撞护栏预埋钢筋位置仍按直线桥考虑, 由于直线与曲线的调整问题, 再加上许多情况下梁板预制与安装及桥面系工程的施工也不是同一作业队。在梁板安装时既要考虑桥面的宽度限制又要考虑支座位置、两侧线形的顺直, 难以兼顾防撞护栏预埋钢筋的位置, 很容易造成防撞护栏的一些预埋钢筋位置不准确或钢筋保护层厚度无法保证甚至预埋钢筋位于模板之外的情况, 处理起来十分困难。此类情况施工中经常出现, 因此在预制梁板时要特别注意防撞护栏预埋钢筋位置的准确性。
采取措施:
1、首先要根据整座桥梁的线形布置准确计算出预埋钢筋的曲线位置, 在预制梁板时按照计算数据进行布置;
2、在钢筋骨架制作安装时, 对预埋钢筋要采取可靠的固定措施, 条件允许时可与钢筋骨架进行点焊(如果预应力钢筋布置后, 不得使用电焊) ;
3、在浇筑振捣混凝土时要注意保护, 以防预埋钢筋被碰撞而发生位移或倾斜;
4、在预埋钢筋的露出部分用一根或两根同长的临时定位钢筋加以棒扎固定, 待混凝土凝结后在将其取掉, 以备下次再用。
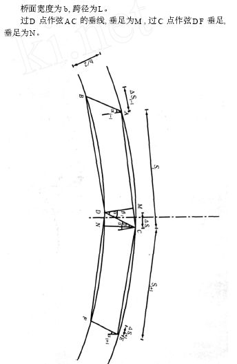
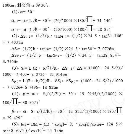
二、斜弯桥的梁板预制与安装宽度的控制
对于既为斜交又处于曲线范围的预制装配式桥梁, 需注意梁板预制宽度与安装时桥面宽度的协调问题。因为在这种特殊情况下, 梁板预制的宽度(包括接缝宽度) 与其安装后的宽度不完全一致。
基本条件:





根据计算可知:
1、各桥墩横桥向轴线的斜交角度不同(一般设计图中均已标明) ;
2、各桥墩横桥向长度不同(一般设计图中均已标明) ;
3、每跨长度有所变化(相同梁板位置相差很小, 可不予考虑) ;
4、在同一桥墩上前后两孔梁板的安装宽度不同, 如果数据不大, 可在安装时通过调整安装接缝宽度解决(即安装接缝宽度一端稍宽, 另一端稍窄)。
对于以上问题, 在施工中均要引起注意, 否则在安装梁板时难以准确就位。如果出现曲线半径较小, 跨径较大, 斜交角较大的情况, 则梁板安装宽度的差异就会增大, 若不进行调整梁板预制的宽度, 很容易造成梁板安装宽度超宽(安装宽度比标准桥面宽度小的一侧, 可通过调宽安装接缝加以解决) , 且难以解决。
所以遇到这种情况时应先进行复核计算, 根据数据大小确定是否需要对梁板预制宽度进行调整或调整多少。所谓调整就是将每片梁宽度适当减小, 在安装时即可通过调整接缝宽度来保证梁板就位的准确性。
三、弯桥桥台侧墙或耳墙线形的控制
对于预制装配式弯桥, 在施工设计图中标明了桥梁主体部分各点坐标, 而对于桥台侧墙尾部或耳墙尾部往往未标明其坐标, 施工中如果按照以往直线桥的常规作法放样, 即与桥台轴线相垂直(正交桥时) 或按斜度延伸(斜桥时) 放样的话, 就会使桥台部分线形不顺, 或者影响到其上防撞护栏的线形布置。尤其当侧墙或耳墙较长时或桥梁轴线弯曲半径较小时比较突出。所以在桥梁桥台或耳墙施工放样时必须注意, 应将其尾部坐标推算出来, 精确放样使得整座桥梁与路线能够比较好的衔接。
相关资料推荐:
高墩大跨弯桥剪力滞特性分析
https://ziliao.co188.com/p46921308.html
知识点:弯桥
0人已收藏
0人已打赏
免费4人已点赞
分享
桥梁工程
返回版块19.44 万条内容 · 654 人订阅
阅读下一篇
混凝土梁桥构造与设计要点,建议收藏!概述 梁桥指结构在垂直荷载作用下,支座只产生垂直反力而无推力的梁式体系桥的总称。 静力特性:①简支梁式桥;②连续梁桥;③悬臂梁桥;④T形刚架桥。 截面形式:①板式梁桥;②肋梁式梁桥;③箱形梁桥。 预应力度:①普通钢筋混凝土;②部分预应力混凝土;③全预应力混凝土梁桥。 按施工方法分类:整体浇筑式梁桥和预制装配式梁桥 按装配式结构块件划分方式的不同,分为:纵向竖缝划分、纵向水平缝划分和纵、横向竖缝划分。
回帖成功
经验值 +10
全部回复(0 )
只看楼主 我来说两句抢沙发