斜交桥指的是桥梁的纵轴线与其跨越的河流流向或路线轴向不相垂直的桥梁。常见于两条或多条高速公路的交汇处。设计城市桥梁中, 往往由于周围环境的条件限制会采用斜桥 , 弯桥等复杂形式桥梁结构, 这些桥梁具有不同于直线桥的受力性能。

主要用于小跨度桥梁:跨径通常在20米以下、全桥一般采用满樘支架整体浇筑
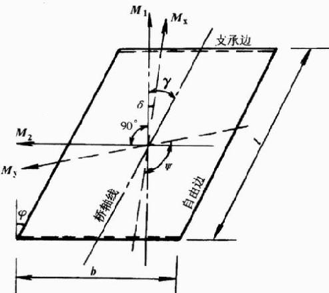
1 斜交角两种表示方法
当斜角小于15度时
取斜长按正桥计算

2 宽跨比b/l
宽桥对斜支承敏感
窄桥斜支承只影响支承局部
3 支承形式
支承个数
支承方向
是否弹性支承
4 斜板桥的受力特点
纵向主弯矩比跨径为斜跨长、宽度为b的矩形板小,并随斜交角的增大而减小

荷载有向支承边的最短距离传递分配的趋势

纵向最大弯矩的位置,随斜角的增大从跨中向钝角部位移动

除了斜跨径方向的主弯矩外,在钝角部位的角平分线垂直方向上,将产生接近于跨中弯矩值的相当大的负弯矩
横向弯矩比正板大得多
支承边上的反力很不均匀,钝角角隅处的反力可能比正板大数倍,而锐角处的反力却有所减小,甚至出现负反力
斜板的受力行为可以用Z字形连续梁来比拟

斜板的扭矩分布很复杂,板边存在较大的扭矩

5 斜板桥的钢筋布置及构造特点
桥梁宽度较大时,纵向钢筋,板中央垂直于支承边布置,边缘平行于自由边布置;横向钢筋平行于支承边布置。


窄斜板桥。纵向钢筋平行于自由边布置;横向钢筋,跨中垂直于自由边布置,两端平行于支承边布置

局部加强钢筋:在距自由边一倍板厚的范围内设置加强箍筋,抵抗板边扭矩;为承担很大的支反力,应在钝角底面平行于角平分线方向上设置附加钢筋

斜板桥在运营过程中,在平面内有向锐角方向转动的趋势,如果板的支座没有充分锚固住,应加强锐角处桥台顶部的耳墙,使它免遭挤裂。
计算方法根据对各向同性斜板的分析而获得.
斜交板挠曲微分方程至今无法求解,求解多用差分法。
利用差分法、有限元法和模型实验对斜板进行大量分析,提供了相应的数表。
1 粗略简化方法:

作为宽度 b,计算跨径l的矩形板桥来计
Mx 配筋平行于板边方向
My配筋平行于支承边方向


作为宽度 b,计算跨径 a 的矩形板桥来计算
Mx 配筋中央垂直于支承边方向,边缘平行与板边
My配筋平行于支承边方向


作为宽度 b,计算跨径(a+l)/2 的矩形板桥来计算
Mx 配筋中央垂直于支承边方向,边缘平行与板边
My配筋平行于支承边方向


作为宽度 b,计算跨径 a 的矩形板桥来计算
Mx 配筋平行与板边
My配筋平行于支承边方向

局部加强钢筋:
不论哪种情况,在边缘端部,路自由端 b/5的宽度范围内,均假定产生与中部的正弯矩同等大小的负弯矩,必须配置负弯矩钢筋

2 均布荷载作用下的内力“
正交方向上单位板宽上的主弯矩表示成
K:两个主方向的弯矩系数 ,根据斜角查表

钢筋方向的弯矩通过坐标转换获得”

纵横向钢筋配置成直角时



主弯矩方向根据斜角查曲线得

活载内力计算:
以斜跨长作为正桥跨径进行板的内力分析,求出跨中弯矩的最大值
根据斜交角与活载类型查表得弯矩折减系数
斜板板跨中央和自由边中点的斜向弯矩

按活载类型查表得正板桥的横向弯矩系数
和扭矩系数
正板跨中截面的横向弯矩和扭矩


根据斜交角与活载类型查表得斜板横向弯矩折减系数
和扭矩折减系数
斜板中央和自由边中点的横向弯矩和扭矩为


由斜弯矩、横向弯矩及扭矩合成斜板主弯矩

主弯矩的方向角

斜梁桥由多根纵梁及横梁组成的斜格子梁桥
横梁与纵梁可以斜交,也可以正交

1 斜梁桥的受力特点:
斜梁桥虽然为格子形的离散结构,在梁距不很大、且设一定数量横梁的情况下,仍然具有与斜板类似的受力特点。
随着斜交角的增大,斜梁桥的纵梁弯矩减小,而横梁的弯矩则增大;弯矩的减少,边梁比中梁明显,在均布荷载作用下比在集中荷载作用下明显;
正交横梁斜梁桥的横向分布性能比斜交横梁斜梁桥好,并且横向刚度越大,横向分布性能越好;
在对称荷载作用下,同一根主梁上的弯矩不对称,弯矩峰值向钝角方向靠拢,边梁尤其明显;
横梁和桥面的刚度越大,斜交的影响就越大,斜桥的特征就越明显。
2 斜梁桥常用计算方法:
结构力学单梁计算+横向分布理论
计算正桥内力 ? 斜桥修正系数
-修正的G-M法
-修正的铰接板法
杆系梁格理论
3 结构力学方法求解单斜梁
简支单斜梁:



其中:



其中:

内力影响线:

连续单梁:
全抗扭支承连续斜梁
中间点铰支承连续斜梁
-竖向荷载作用下两者在剪力和弯矩相差不大,中间点铰支承时扭矩比全抗扭支承大。
-在扭矩荷载作用下,采用中间点铰支承,各项内力均比全抗扭支承大得多。

4 修正的G-M法
基本思路:以正桥计算为基础,将由正桥计算求得的M值,用修正系数进行修正,从而得到斜桥的M。
1) 只计算跨中截面的弯矩,其它截面的弯矩按二次抛物线在跨内内插;
2) 本法修正系数的取值为集中荷载和均布荷载作用时的平均值;
3) 只计算中梁和边梁的弯矩,其它梁的弯矩可以按直线内插;
具体做法:
1.以斜跨长为正桥的计算跨径,用G-M法计算中梁和边梁的弯矩M以及横梁弯矩Mc
2.假定斜梁桥为各向异性平行四边形板,计算:

3. 根据以上的参数及?值,由图表查出修正系数K,用K乘以正桥的M值即可得到斜梁桥的弯矩值
4. 用按正桥求得的横梁弯矩乘以系数1/K即可近似地得到斜梁桥横梁的弯矩(K为中梁和边梁的平均值)

日本学者通过实验得出的表格,只与弯扭刚度比、宽跨比、斜角有关

5 横向铰接斜梁(板)桥的实用计算法
基本思路

采用单个集中荷载的斜交折减系数来代替实际车列荷载的折减系数
修正系数将只与斜交角、主梁片数、梁位及弯扭参数有关
1. 弯矩计算
1)应用铰接梁法,计算对应正桥的设计弯矩
2)查相应梁数、相应弯扭参数 、相应梁号、相应斜交角的折减系数
3)斜桥跨中弯矩

2. 支点剪力的计算
1)按铰接梁法计算对应正桥的横向分布影响线
2)按杠杆原理进行修正,得到支点断面混合横向分配影响线
3)分别计算跨中和支点断面的横向分布系数
4)在乘以横向分布系数后的剪力影响线上加载,计算支点截面的剪力

3. 跨中剪力计算
跨中截面剪力有所增大,但是不控制设计。可以近似地按正桥计算后,乘以系数:


4. 设计计算时的其它要点
1)斜梁中最大弯矩向钝角方向偏移,在跨中梁两侧各l/8范围内均按最大弯矩考虑
2)对于小跨径斜桥,其它截面弯矩仍可按二次抛物线内插
3)剪力包络图可近似地采取支点值与跨中值的直线连接图形
梁格理论要点
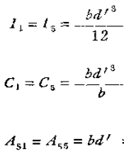
1 纵向梁格的抗弯刚度


切开的纵向梁格的中性轴,要与整体截面中性轴保持一致,因此需对切开纵梁的抗弯惯性矩进行调整。

2 横向梁格的抗弯刚度


横梁为“二”字形截面,抗弯惯性矩求解如上所示。

3 抗扭刚度


4 虚拟边构件


当箱梁挑臂较长时,移动荷载车道可能布置在挑臂上,此时需要定义虚拟边构件,否则程序提示无法定义车道。

5 支座反力

钝角角隅处出现较大的反力和剪力,锐角角隅处出现较小的反力,还可能出现翘起。
扭矩分布:结构出现较大扭矩,同时对于边梁靠近支承位置处,扭矩最大。

板边缘或边梁最大弯矩向钝角方向靠拢,随斜角的增大从跨中向钝角部位移动。除了斜跨径方向的主弯矩外,在钝角部位的角平分线垂直方向上,将产生接近于跨中弯矩值的相当大的负弯矩 。

6 梁格划分



斜交梁格
斜交角度小于20度时,使用斜交梁格是非常方便的。但是对于大角度的斜交桥,根据它的荷载传递特性,建议选用正交梁格,而且配筋时也尽量向正交方向配筋。
28°斜桥分析:


1、定义布置信息
1) 注意不同边界对结构的影响;
2)斜交角度小,可用斜交梁格;若角度大,建议用正交梁格;

2、定义跨度信息


3、定义截面信息


4、定义横桥向信息
1)注意各参数的含义
2)程序生成的边界条件,后期可能需做些修改;

5、定义荷载信息
1)建议利用建模助手定义移动荷载车道;
2)支座沉降量具有矢量性,沉降量为负;

6、定义钢束及钢筋
钢束及钢筋可以用建模助手定义,也可建好模型后再定义;

增加虚拟边构件:



定义虚拟边构件后,将其赋予横向联系结构组,D1车道能够显示。



修改边界条件


定义移动荷载
只有一个荷载子工况时,定义“组合”和“单独”没有影响。


1)对于结构基频,可暂时先输入非零值,而后利用特征值分析,精确求解;
2)对于二期恒载,不建议将其转化为质量加载在结构上,具体可参考《公路桥梁设计规范答疑汇编》;

定义预应力荷载:
注意直线、曲线、单元三种形状定义的区别;单元法不适用于弯桥结构;
无应力场长度的概念?


注意张拉控制应力的数量级不要输错;
单端张拉及两端张拉的区别?


定义其他荷载工况:
在施工过程中激活的荷载,建议定义成“施工阶段荷载”;
对于定义温度荷载,建议初始温度为0度,防止出现错误。

定义施工阶段:
定义时间依存材料特性;
材龄的含义,注意收缩与徐变材龄不一样;
边界条件中,变形前与变形后的区别。

定义分析控制数据:



定义荷载组合:


结合规范PSC设计:
1、定义PSC设计参数
2、定义PSC设计材料

3、定义PSC设计位置与计算书内容


4、查看PSC设计结果

变宽度桥、两端支承边斜角不等的直斜桥及弯斜桥、支承边呈折线形的多边形斜桥 。

1) 在结构布置设计中,尽量使异形结构部分相对独立,使其复杂的受力行为对规则结构影响较小;
2) 通过计算或试验分析使结构的主梁或主筋布置方向尽量与主弯矩方向一致;
3) 在支承边应设置与支承线方向平行的横梁或横隔板;
4) 避免出现支座超载或脱空现象;
计算方法:形状变异不大的桥梁——近似地按照相应的规则桥梁计算;复杂形状的桥梁——有限元方法进行数值分析,如再辅以模型试验分析;车列活载内力最大值计算——有待于进一步研究。
相关资料推荐:
https://ziliao.co188.com/d62756482.html
知识点:斜交桥设计
0人已收藏
0人已打赏
免费3人已点赞
分享
桥梁工程
返回版块19.44 万条内容 · 655 人订阅
阅读下一篇
50m曲线半径3x40钢箱梁设计及计算大体思路互通里面经常出现两条主线之间的小曲线半径匝道桥梁,匝道桥梁具有弯、剪、扭曲线桥型综合受力特点: 上海延安东路立交 广西竹溪立交 1)主动的预应力混凝土桥梁 预应力的主动张拉,造成两曲线腹板内钢束在平面内形成径向力向心线形荷载,全桥大部分线形荷载在截面质心偏下,造成全桥扭矩进一步加大,小曲线半径预应力结构不合适。 2)装配式混凝土结构 曲线半径过小,内外侧边梁梁长差别过大,边梁悬臂不能很好适应曲线线形,桥梁受力整体性偏差。
回帖成功
经验值 +10
全部回复(0 )
只看楼主 我来说两句抢沙发