1857年英国学者朗肯(Rankine)研究了土体在自重作用下发生平面应变时达到极限平衡的应力状态,建立了计算土压力的理论。由于其概念明确,方法简便,至今仍被广泛应用。

(3)墙背垂直光滑,墙后土体达到极限平衡状态时所产生的两组破裂面不受墙身的影响。


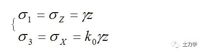
如上图所示,在墙后土体中深度Z处任取一单元体,当挡土墙静止不动时,则两个主应力分别为:

(因为已假设墙背是光滑的、直立的,所以在单元上不存在剪应力。)
该应力状态仅由填土的自重产生,故此时土体处于弹性状态,其相应的莫尔圆如下图所示的圆Ⅰ,一定处于填土抗剪强度曲线之下。

当挡土墙离开填土向前发生微小的转动或位移时,σ1=σz=γz不变,而σ3=σx却不断减少,相应的莫尔圆也在逐步扩大。当位移量达到一定值时,σ3减少到σ3f,由σ3f与σ1=γz构成的应力圆与抗剪强度曲线相切,如图Ⅱ所示,称为主动极限应力圆。此时,土中各点均处于极限平衡状态,达到最小的小主应力σ3f称为朗肯主动土压力pa。与此同时,土体中存在过墙踵的滑动面(剪切破坏面),滑动面与大主应力作用平面(水平面)的夹角为45o+φ/2。

当挡土墙在外力作用下推向土体时,σx不断增加,直至超过σz而变成大主应力,而σz=γz变为小主应力,且始终保持不变。当σx增大到σ1f时,由σ1f和σz=γz构成的应力圆与抗剪强度曲线相切,如图Ⅱ所示,称为被动极限应力圆。此时,土体处于被动极限平衡状态,称为被动朗肯状态。最大值σ1f称为朗肯被动土压力pp,此时土体中存在过墙踵的滑动面,与大主应力作用面(竖直面)的夹角为45o+φ/2,则与水平面的夹角为45o-φ/2。




主动土压力强度与深度成正比,沿墙高呈三角形分布,如图所示。




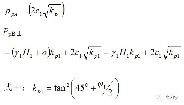
当挡土墙在外力作用下推向土体,并达到极限平衡状态时,称为被动朗肯状态。此时,被动土压力强度pp是大主应力,而σz=γz是小主应力,则根据极限平衡条件有:



被动土压力强度与Z成正比,沿墙高呈三角形分布,如图所示。


由两部分叠加而成,如图所示,则单位长上的被动土压力为:

5.几种情况下朗肯土压力计算

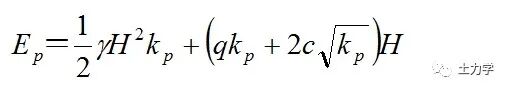
当填土面有均布荷载作用时,如图所示。通常将均布荷载换算成当量土重,即用假想的土重代替均布荷载,则当量土层厚度为:








若墙背直立,光滑,墙后填土面水平,则可采用郎肯土压力理论,图为多层土的情况,其重度,粘聚力C和内摩擦角各不相同。




有了主动土压力的分布图形,可通过求图形的面积和形心的方法来求主动土压力的大小及作用点(作用方向垂直墙背)。
(a)第一层


(c)第三层

有了被动土压力分布曲线,可通过求图形面积和形心的方法来求被动土压力的大小及作用点。


水土合算是指地下水位以下取饱和重度γsat和总应力强度指标c、φ来计算总的水土压力,水压力不再单独计算。
对于砂土和粉土,一般采用水土分算法;对于粘性土,可采用水土分算法,也可采用水土合算法。

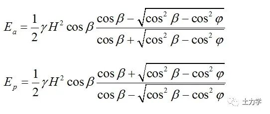
当填土表面与水平面夹角β≠0时,如果假设土压力作用方向与填土倾斜表面平行,则也符合朗肯土压力条件,应用朗肯理论和莫尔应力圆可导出土压力计算公式,又称为应力圆法,其无粘性土主动、被动土压力强度计算公式如下:


显然当β=0时,结果与前述朗肯公式相同。
以上介绍的朗肯土压力理论应用弹性半无限土体的应力状态,根据土的极限平衡理论推导并计算土压力。其概念明确,计算公式简便。但由于假定墙背垂直、光滑、填土表面水平,使计算条件和适用范围受到限制。应用朗肯理论计算土压力,其结果主动土压力值偏大,被动土压力值偏小,因而是偏于安全的。
内容源于网络,如有侵权,请联系删除
相关资料推荐:
为什么库仑土压力和朗肯土压力计算结果差别那么大啊?
知识点:朗肯土压力理论
全部回复(0 )
只看楼主 我来说两句抢沙发