1.计算公式推导
如果挡土墙不向任何方向发生位移或转动,此时作用在墙背上的土压力称为静止土压力,用P0表示。如建筑物地下室的外墙面,由于楼面的支撑作用,外墙几乎不会发生位移,则作用在外墙面上的填土侧压力可按静止土压力计算。

静止土压力强度p0,如同半空间直线变形体在土的自重作用下,无侧向变形时的水平侧应力。表示半无限土体中深度z处土单元的应力状态。已知其水平面和垂直面都是主应力面,作用于该土单元上的竖直向应力就是自重应力,则竖直向和水平向应力可按计算自重应力的方法来确定。

假设挡土墙静止不动,在墙后土体中深度Z处任取一单元体,


由上式可见,静止土压力强度沿墙呈三角形分布,则作用在单位墙长的静止土压力为:

2.静止土压力系数K0的求法
K0与土的性质、密实程度、应力历史等因素有关,一般取:砂土K0=0.35~0.50,粘性土K0=0.50~0.70,
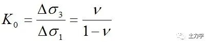
K0的数值也可通过室内的或原位的静止侧压力试验测定。其物理意义:在不允许有侧向变形的情况下,土样受到轴向压力增量△σ1将会引起侧向压力的相应增量△σ3,比值△σ3/△σ1称为土的侧压力系数或静止土压力系数k0。

①压缩仪法:在有侧限压缩仪中装有测量侧向压力的传感器。
②三轴压缩仪法:在施加轴向压力时,同时增加侧向压力,使试样不产生侧向变形。
上述两种方法都可得出轴向压力与侧向压力的关系曲线,其平均斜率即为土的侧压力系数。
毕肖普(Bishop,1958)通过试验指出,对于正常固结粘土和无粘性土,K0可近似地用下列经验公式表示:


图所示为超固结比OCR与K0值范围的关系,可以看出,对于OCR值较大的超固结土,K0值大于1.0。

3.几种情况下的求解
(1)成层土且有超载

对于成层土且有超载的情况,第n层土底面处静止土压力分布大小可按下式计算,即

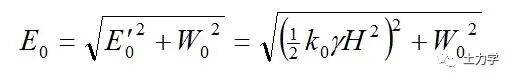
若墙后有地下水时,水下应取浮重度,同时应考虑静水压力,如下图所示。



内容源于网络,如有侵权,请联系删除
相关资料推荐:
知识点:静止土压力计算
全部回复(0 )
只看楼主 我来说两句抢沙发