第六章:钢筋混凝土受压构件承载力计算
6.2偏心受压构件正截面承载力计算
钢筋混凝土偏心受压构件多采用矩形截面,截面尺寸较大的预制柱可采用工字形截面和箱形截面。圆形截面主要用于桥墩、桩和公共建筑中的柱。
大量试验表明:构件截面变形符合平截面假定,偏压构件的最终破坏是由于混凝土压碎而造成的。
偏心受压构件的破坏形态与偏心距e0和纵向钢筋配筋率有关。
偏心受压短柱试件的破坏可分为两类:
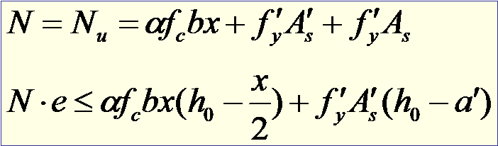
1、受拉破坏(也称为大偏心受压破坏)

◆轴向压力偏心距较大,截面部分受拉、部分受压。如受拉区配筋量适中,则构件在受力后,受拉区先出现横向裂缝。随着荷载增加,裂缝不断开展延伸,受拉钢筋应力首先达到屈服强度。
◆ 此后,裂缝迅速开展,受压区高度减小。
◆ 最后受压侧钢筋A's 受压屈服,压区混凝土压碎而达到破坏。
◆ 这种破坏具有明显预兆,变形能力较大,破坏特征与配有受压钢筋的适筋梁相似,承载力主要取决于受拉侧钢筋。
◆ 形成这种破坏的条件是:偏心距e0较大,且受拉侧纵向钢筋配筋率合适,通常称为大偏心受压。
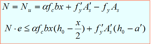
2、受压破坏(小偏心受压)
产生受压破坏的条件有两种情况:
⑴当相对偏心距e0/h0较小,截面全部受压或大部分受压。
⑵或虽然相对偏心距e0/h0较大,但受拉侧纵向钢筋配置较多时。
◆ 截面受压侧混凝土和钢筋的受力较大。
◆ 而受拉侧钢筋应力较小。
◆ 当相对偏心距e0/h0很小时,‘受拉侧’还可能出现“反向破坏”情况。
◆ 截面最后是由于受压区混凝土首先压碎而达到破坏。
◆ 承载力主要取决于压区混凝土和受压侧钢筋,破坏时受压区高度较大,远侧钢筋可能受拉也可能受压,破坏具有脆性性质。
◆ 第二种情况在设计应予避免,因此受压破坏一般为偏心距较小的情况,故常称为小偏心受压。
3、受拉破坏和受压破坏的界限
◆ 即受拉钢筋屈服与受压区混凝土边缘极限压应变ecu同时达到。
◆ 与适筋梁和超筋梁的界限情况类似。
◆ 因此,其相对界限受压区高度仍为:

大小偏心受压的分界:


附加偏心距和偏心距增大系数
1、附加偏心距
由于施工误差、荷载作用位置的不确定性及材料的不均匀等原因,实际工程中不存在理想的轴心受压构件。为考虑这些因素的不利影响,引入附加偏心距ea,即在正截面受压承载力计算中,偏心距取计算偏心距e0=M/N与附加偏心距ea之和,称为初始偏心距ei。

参考以往工程经验和国外规范,附加偏心距ea取20mm与h/30 两者中的较大值,此处h是指偏心方向的截面尺寸。
偏心距增大系数η




矩形截面正截面承载力设计计算
非对称配筋截面:构建截面两侧所配置的钢筋不相等(数量或直径不同)。不对称配筋比较经济,但是施工不够方便。
对称配筋截面:构件截面两侧配置了相等的钢筋。对称配筋要多用一些钢筋,但构造简单、施工方便,特别是构件在不同的荷载组合下,同一截面可能承受数量相近的正负弯矩时,更应该采用对称配筋。
一、不对称配筋截面设计
基本公式

1、大偏心受压(受拉破坏)
已知:截面尺寸(b×h)、材料强度( fc、fy,fy' )、构件长细比(l0/h)以及轴力N和弯矩M设计值
若ηei>eib.min=0.3h0,
一般可先按大偏心受压情况计算

1)As和A's均未知时


★若A's<0.002bh
则取A's=0.002bh,然后按A's为已知情况计算。

★若As<ρminbh ,应取As=ρminbh。
2)A's为已知时
先由第二式求解x

★若As<ρminbh ,应取As=ρminbh。


★若As<ρminbh ,应取As=ρminbh。
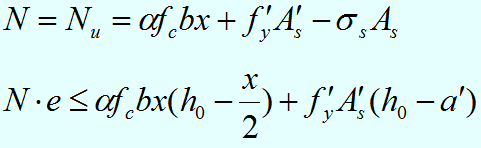
2、小偏心受压(受压破坏)




另一方面,当偏心距很小时,如附加偏心距ea与荷载偏心距e0方向相反,
则可能发生As一侧混凝土首先达到受压破坏的情况,这种情况称为“反向破坏”。此时通常为全截面受压,由图示截面应力分布,对A's取矩,可得,


e'=0.5h-a'-(e0-ea), h'0=h-a'


重新求解
和A's

用基本公式求解非常麻烦,迭代计算方法

对于Ⅱ级钢筋和

二、不对称配筋截面复核




二、对称截面




相关资料推荐:
https://ziliao.co188.com/p62451333.html
知识点:偏心受压构件正截面承载力计算
0人已收藏
0人已打赏
免费5人已点赞
分享
道路工程
返回版块15.09 万条内容 · 689 人订阅
阅读下一篇
轴心受压构件正截面承载力计算第六章:钢筋混凝土受压构件承载力计算 6.1轴心受压构件正截面承载力计算 受压构件有两种:轴向压力通过构件截面重心的轴心受压构件;轴向压力不通过构件截面重心,而与截面重心有一偏心距e0的偏心受压构件。截面上同时作用有通过截面重心的轴向压力N和弯矩M的压弯构件,也是偏心受压构件。 严格的说,实际工程中不存在真正的轴心受压构件。 钢筋混凝土轴心受压柱按箍筋配置方式和作用分为两类:①配有纵向钢筋和普通箍筋的柱;②配有纵向钢筋和螺旋形箍筋的柱。
回帖成功
经验值 +10
全部回复(0 )
只看楼主 我来说两句抢沙发