土木在线论坛 \ 道路桥梁 \ 道路工程 \ 受弯构件正截面受弯承载力计算

受弯构件正截面受弯承载力计算

发布于:2022-09-22 15:26:22 来自:道路桥梁/道路工程 [复制转发]

第四章:钢筋混凝土受弯构件的正截面承载力计算

4.2受弯构件正截面受弯承载力计算


爱看不看

计算原则

1)计算方法的基本假定

平截面假定:截面应变保持平面。(平截面假定提供了变形协调的几何关系。多年来,国内外对用各种钢筋配筋的受弯构件进行了大量的实验,结果表明,在各级荷载作用下,一定的标距范围内的平均应变值随截面高度线性分布。根据平截面假定,截面上任意点的应变与该点到中和轴的距离成正比。)

不考虑受拉区混凝土的抗拉强度:对于极限状态下的承载力计算来说,受拉区混凝土的作用很小,完全可以忽略不计。

有明显屈服点的钢筋,其应力应变关系可简化为理想的弹塑性曲线

钢筋应力的绝对值不应大于其相应的强度设计值,受拉钢筋的极限拉应变取0.01.

图片
纵向钢筋的应力—应变关系方程

图片

受压区混凝土的应力应变关系采用理想化的应力-应变曲线

图片
图片
2)适筋梁与超筋梁破坏的界限

图片
图片
图片
3) 适筋梁与少筋梁的界限及最小配筋率ρmin

少筋破坏的特点是一裂就坏,所以从理论上讲,纵向受拉钢筋的最小配筋率应是这样确定的:按Ⅲa阶段计算钢筋混凝土受弯构件正截面受弯承载力与按Ia阶段计算的素混凝土受弯构件正截面受弯承载力两者相等。但是,考虑到混凝土抗拉强度的离散性,以及收缩等因素的影响,所以在实用上,最小配筋率   往往是根据传统经验得出的。为了防止梁“一裂即坏”,适筋梁的配筋率应大于ρmin

我国《混凝土设计规范》规定:

(1)受弯构件、偏心受拉、轴心受拉构件,其一侧纵向受拉钢筋的配筋率不应小于0.2%和45ft/fy中的较大值;

(2)卧置于地基上的混凝土板,板的受拉钢筋的最小配筋率可适当降低,但不应小于0.15%。

下面划重点

正截面受弯承载力计算

受弯构件正截面受弯承载力计算包括截面设计截面复核两类问题。

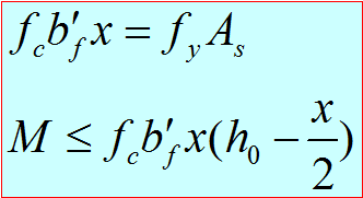
1)单筋矩形截面

基本公式及计算简图

图片

fc—混凝土抗压强度设计值;fy—钢筋抗拉强度设计值;

b、h—截面宽度和高度;As—受拉钢筋面积;M—设计弯矩;


适用条件

防止超筋脆性破坏

图片

防止少筋脆性破坏

图片

截面设计

一般步骤:作出板或者梁的计算简图→计算内力→计算配筋量→绘制截面配筋图。

已知:弯矩设计值M

求:截面尺寸b,h(h0)、截面配筋As,以及材料强度fy、fc

未知数:受压区高度x、 b,h(h0)、As、fy、fc

基本公式:两个

根据环境类别及混凝土强度等级,确定混凝土保护层最小厚度,再假定as,得h0,并按混凝土强度等级确定α1,解二次联立方程式。然后分别验算适用条件。

截面复核

已知:截面尺寸b,h(h0)、截面配筋As,以及材料强度    fy、fc

求:截面的受弯承载力 Mu>M

未知数:受压区高度x和受弯承载力Mu

基本公式:

图片

没有唯一解。设计人员应根据受力性能、材料供应、施工条件、使用要求等因素综合分析,确定较为经济合理的设计。


2)双筋矩形截面

一般来说在正截面受弯中,采用纵向受压钢筋协助混凝土承受压力是不经济的,工程中从承载力计算角度出发通常仅在以下情况下采用

  • 弯矩很大,按单筋矩矩形截面计算所得的ξ又大于ξb,而梁截面尺寸受到限制,混凝土强度等级又不能提高时;即在受压区配置钢筋以补充混凝土受压能力的不足。

  • 在不同荷载组合情况下,其中在某一组合情况下截面承受正弯矩,另一种组合情况下承受负弯矩,即梁截面承受异号弯矩,这时也出现双筋截面。

  • 此外,由于受压钢筋可以提高截面的延性,因此,在抗震结构中要求框架梁必须配置一定比例的受压钢筋。

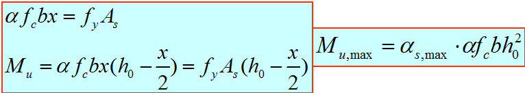
基本公式与计算简图

图片
图片
公式拆解

图片
受压钢筋与其余部分受拉钢筋As2组成的“纯钢筋截面”的受弯承载力与混凝土无关。因此,截面破坏形态不受As2配筋量的影响,理论上这部分配筋可以很大,如形成钢骨混凝土构件。

适用条件

防止超筋脆性破坏

图片

保证受压钢筋强度充分利用

图片
注意:双筋截面一般不会出现少筋破坏情况,故可不必验算最小配筋率。


截面设计

已知:弯矩设计值M,截面b、h、a和a`,材料强度fy、fy`、fc  。

求:截面配筋

可按下列流程操作

图片
截面复核

图片



3)T形截面

图片
受弯构件在破坏时,大部分受拉区混凝土早已退出工作,故将受拉区混凝土的一部分去掉。只要把原有的纵向受拉钢筋集中布置在梁肋中,截面的承载力计算值与原有矩形截面完全相同,这样做不仅可以节约混凝土且可减轻自重。

剩下的梁就成为由梁肋及挑出翼缘,两部分所组成的T形截面。

受拉钢筋较多,可将截面底部宽度适当增大,形成工形截面。工形截面的受弯承载力的计算与T形截面相同。

分类

图片
基本公式

第一类T形截面

图片

第二类T形截面

图片
截面设计

一般截面尺寸已知,求受拉钢筋截面面积As,故可按下述两种类型进行:

一般步骤:判断界面类型→求钢筋截面面积→验算

图片
图片

截面复核 

第一种类型

图片
第二种类型

图片
图片

相关资料推荐:

土木建筑第四章受弯构件正截面承载力计算

https://ziliao.co188.com/p62451192.html



知识点:受弯构件正截面受弯承载力计算


全部回复(0 )

只看楼主 我来说两句抢沙发
这个家伙什么也没有留下。。。

道路工程

返回版块

15.09 万条内容 · 689 人订阅

猜你喜欢

阅读下一篇

受弯构件的正截面的受力分析

第四章:钢筋混凝土受弯构件的正截面承载力计算 4.2受弯构件正截面受力分析 为了着重研究正截面的应力和应变规律,钢筋混凝土梁受弯试验常采用两点对称加载,使梁的中间短处于纯弯曲状态。如下图所示。在忽略自重的情况下,只受纯弯矩而无剪力,称为纯弯区段。在纯弯区段布置仪表,以观察加载后梁的受力全过程。荷载是逐级施加的,由零开始直至梁正截面受弯破坏。 受力过程 试验表明,钢筋混凝土梁从加载到破坏,正截面上的应力和应变不断变化,整个过程可分为三个阶段。

回帖成功

经验值 +10