荷载及荷载组合
公路桥梁下部结构设计荷载分为三类,即永久荷载(恒载);可变荷载(按期对桥涵结构的影响程度又分为基本可变荷载(或荷载)和其他可变荷载);偶然荷载。偶然荷载在设计试用期内不一定出现,但一旦出现,其值很大且持续时间很短,一般指地震作用及船只或漂浮物撞击力。
永久荷载包括结构物重力、土的重力及土侧压力、预加应力、混凝土收缩徐变影响力,基础变位影响力及水的浮力。其中结构物重力包括桥上一切静荷载如桥面铺装、人行道板、主梁、灯柱、护栏及其他附属物重力在梁致电上反力、墩台本身重力及基础台阶上土重力。
基本可变荷载包括汽车、人群荷载及由车辆荷载产生的冲击力、离心力及土侧压力等。
其他可变荷载包括风荷载、汽车制动力、流水压力、冰压力、温度影响力及支座摩阻力。
荷载组合参见《公路桥涵设计通用规范》(JTGD60-2015)4.1.6条及4.1.7条:
4.1.6公路桥涵结构按承载能力极限状态设计时,应采用以下两种作用效应组合:
1.基本组合。永久作用的设计值效应与可变作用设计值效应相组合,其效应组合表达式为:





设计弯桥时,当离心力与制动力同时参与组合时,制动力标准值或设计值按70%取用。
2偶然组合。永久作用标准值效应与可变作用某种代表值效应、一种偶然作用标准值效应相组合。偶然作用的效应分项系数取1.0;与偶然作用同时出现的可变作用,可根据观测资料和工程经验取用适当的代表值。地震作用标准值及其表达式按现行《公路工程抗震设计规范》规定采用。
4.1.7公路桥涵结构按正常使用极限状态设计时,应根据不同的设计要求,采用以下两种效应组合:
1作用短期效应组合。永久作用标准值效应与可变作用频遇值效应相组合,其效应组合表达式为:


2作用长期效应组合。永久作用标准值效应与可变作用准永久值效应相组合,其效应组合表达式为:

水平荷载效应计算
混凝土收缩+徐变在墩顶产生的水平力
按照公式:



活载产生的制动力
汽车制动力根据《公路桥涵设计通用规范》4.3.6条计算,一个设计车道上由汽车荷载产生的制动力标准值,按本规范第4.3.1条规定的车道荷载标准值在加载长度上计算的总重力的10%计算,但公路-I级汽车荷载的制动力标准值不得小于165KN,公路-II级汽车荷载的制动力不得小于90KN。同向行驶双车道的汽车荷载制动力标准值为一个设计车道制动力标准值的两倍;同向行驶三车道为一个设计车道的2.34倍;同向行驶四车道为一个设计车道的2.68倍。
制动力按集成刚度分配法分配给各桥墩,因此分配给各桥墩的制动力:

制动力的着力点在桥面以上1.2m,计算墩台时,可移至支座铰中心或支座底座面上。计算刚构桥、拱桥时,制动力的着力点可移至桥面上,但不计因此产生的竖向力和力矩。

桥墩上的风荷载
根据《公路桥涵设计通用规范》4.3.7条计算

各参数具体解释详见《公路桥涵设计通用规范》4.3.7条。
桥墩的风载阻力系数K1可依据桥墩的断面形状、尺寸比及高宽比值的不同由《公路桥涵设计通用规范》表4.3.7-6查得。表中没有包括的断面,其K1值宜由风洞试验取得。
桥墩的顺桥向风荷载标准值可按横桥向风压的70%乘以桥墩迎风面积计算。
支座摩阻力
支座摩阻力标准值可按下式计算:


离心力
当弯道桥的曲线半径等于或小于250m时,应计算汽车荷载引起的离心力。汽车荷载离心力标准值为《公路桥涵设计通用规范》4.3.1条规定的车辆荷载(不计冲击力)标准值乘以离心力系数C计算。离心力系数按照下式计算:


离心力的着力点的桥面以上1.2m处(为计算简便也可移至桥面上,不计由此引起的作用效应)。
流水压力标准值
根据《公路桥涵设计通用规范》4.3.8条,作用在桥墩上的流水压力标准值可按下式计算:

流水压力合力的着力点,假设在设计水位线以下0.3倍水深处。

冰荷载
根据《公路桥涵设计通用规范》4.3.9条,对具有竖向前棱的桥墩,冰压力可按下述规定取用:
冰对桩或墩产生的冰压力标准值可按下式计算:

当流冰范围内桥墩有倾斜表面时,冰压力应分解为水平分力和竖向分力。
地震力(偶然作用)
地震峰值加速度等于0.10g、0.15g、0.20g、0.30g地区的公路桥涵,应进行抗震设计。

撞击力(偶然作用)
根据《公路桥涵设计通用规范》4.4.2条,位于通航河流或有漂流物的河流中的桥梁墩台,设计时应考虑船舶或漂流物的撞击作用。
根据《公路桥涵设计通用规范》4.4.3条,桥梁结构必要时可考虑汽车的撞击作用。汽车撞击力标准值在车辆行驶方向去1000KN,在车辆行驶垂直方向取500KN,两方向的撞击力不同时考虑,撞击力作用于车道以上1.2m处,直接分布于撞击涉及的构件上。对于设有防撞设施的结构构件,可视防撞设施的防撞能力,对汽车撞击力标准值予以折减,但折减后的汽车撞击力标准值不应低于上述规定的1/6。
盖梁的作用:将上部结构荷载传递到下部,转换受力特点。盖梁的形式:常见的盖梁多为矩形。为节省材料根据桥墩盖梁的受力特点,桥墩盖梁也常在悬臂下部切去部分呈变截面状;在多联相连的桥梁中,梁高不等时在伸缩缝位置会出现“L”形盖梁,对多孔简支结构有时会出现倒“T”形盖梁。
1盖梁荷载效应及荷载组合
荷载
(1)恒载:上部结构自重,包括上部结构梁、桥面铺装、护栏、桥墩盖梁等结构自重;混凝土收缩及徐变作用、基础变位作用等。
(2)可变荷载
根据规定的汽车荷载及人群荷载等,分别按其在盖粱上可能产生的最不利情况,求出支点最大反力(汽车荷载要乘以冲击系数〕作为盖梁的活载。
活载横向分布计算。当活载对称布置,按杠杆法计算,当活载非对称布置时,按刚性横梁法(或偏心受压法、刚接板梁法或G-M法)计算。
施工吊装荷载。盖梁在施工过程中,荷载的不对称性很大,各截面将产生很大的弯矩,因而要根据当时的架桥施工方案可能出现的施工荷载进行组合,对各截面的受弯、受剪进行验算。构件吊装时,构件重力应乘以动力系数1.2或0.85,并视构件具体情况作适当增减。施工阶段应力按设计规范《公路钢筋混凝上及预应力混凝土桥涵设计规范》(JTGD62一2018)第7.2条计算。
桥墩沿纵向水平力计算。
桥墩沿纵向水平力有制动力、温度力、支座摩阻力以及地震力等。设有板式橡胶支座的简支、连续桥而简支梁或连续梁排架式柔性墩台,应根据支座与墩台的抗推刚度的刚度集成情况分配和传递制动力。
设有板式橡胶支座的简支刚性墩台,按单跨两端的板式橡胶支座的抗推刚度分配制动力。设有固定支座、活动支座(流动或摆动支座、聚四氟乙烯板支座)的刚性墩台传递的制动力,按规范公路钢筋混凝土及预应力混凝土桥涵设计规范只(JTGD62一2018)中表4.3.6的规定采用.每个活动支座传递的制动力,其值不应大于其摩阻力,当大于摩阻力时,按摩阻力计算。
荷载组合
荷载最不利组合:荷载的效应组合应满足《公路桥涵设计通用规范》JTGD60-2004第4.1.6-4.1.10的相关规定。验算截面配筋及验算截面强度时,采用基本组合,即应满足规范4.1.6条规定,组合其中一种、两种、三种以上活荷载,并取最不利组合进行计算正截面强度验算;截面裂缝验算时,应采用作用的短期效应组合和长期效应组合,即应满足规范4.1.7条规定,组合其中一种、两种、三种以上活荷载,并取最不利组合进行计算截面裂缝验算。
盖梁计算模型确定
根据《公路钢筋混凝土及预应力混凝土桥涵设计规范》8.2.1条:墩台盖梁与柱应按刚构计算。当盖梁与柱的线刚度()之比大于5时,双柱式墩台盖梁可按简支梁计算,多柱式墩台盖梁可按连续梁计算。
计算连续梁盖梁支座的负弯矩时,可按《公路钢筋混凝土及预应力混凝土桥涵设计规范》第4.2.4条的规定考虑柱支承宽度的影响,圆形截面柱可换算为边长等于0.8倍直径的方形截面柱。
《公路钢筋混凝土及预应力混凝土桥涵设计规范》8.2.2条:本节规定的钢筋混凝土盖梁,其跨高比为:

公路桥的墩台盖梁,据调查分析,其跨高比l/h大多数在3~5之间,属于深受弯构件的短梁,但未进入深梁范围,所以其计算方法应按深受弯构件计算,而其构造则不必按深梁的特殊要求。

普通钢筋混凝土盖梁应计算以下内容
⑴持久状况极限状态抗弯承载能力计算。
⑵持久状况正常使用极限状态计算。
①抗裂验算
·正截面抗裂验算――正截面混凝土拉应力验算。
·斜截面抗裂验算――斜截面混凝土主拉应力验算。
②挠度验算
盖梁内力计算
公路桥梁桩柱式墩的盖梁通常采用双悬臂梁式,计算时的控制截面选在支点和跨中截面。在计算支点负弯矩时,采用非对称布置活载与恒载组合的反力;在计算跨中正弯矩时,采用对称布置活载与恒载组合的反力。桥墩沿纵向的水平力以及上部结构活载的偏心对盖梁将产生扭转,计算中应加以考虑。
盖梁内力可以通过手算得来,但是比较繁琐,具体计算实例可参考《公路桥涵设计手册墩台与基础(第二版)》。
下面介绍如何通过有限元软件建模,提取出盖梁截面的内力。
首先对盖梁进行结构离散,即划分单元建立盖梁模型,原则是在支座处、柱顶、特征断面(跨中、1/4)处均需设置节点。如果需要考虑墩柱和盖梁的框架作用,还需要把墩柱建立进来;柱底的边界条件视情况而定,如果是整体承台或系梁连接,可视为柱底固结;如果是无系梁的桩柱,可以将桩使用弹性支撑或等代模型的方式来模拟。
1.输入总体信息
计算类型为:全桥结构安全验算
计算内容:勾选计算活载
桥梁环境:相对湿度为0.6
规范选择中交04规范。

2.输入单元信息
输入单元信息,建立墩柱、盖梁及垫石单元模型,对于T梁或小箱梁,因为支座间距比较大不能将车轮直接作用在盖梁上,我们还需要在盖梁上设置虚拟桥面单元来模拟车道面,与盖梁采用主从约束来连接,虚拟桥面连续梁的刚度至少大于盖梁的100倍。建立模型如下:

对于空心板梁,由于支座间距较小,可以将盖梁直接作为桥面单元,不需设置虚拟桥面

虚拟桥面为连续梁时,刚度可在特征系数里修改。

3.输入施工信息
第一施工阶段:安装所有杆件

添加边界条件

添加虚拟桥面与盖梁的主从约束:虚拟桥面与盖梁的主从约束需要使用两种情况分别模拟:虚拟桥面简支梁和虚拟桥面连续梁;这两种方法分别是模拟墩台手册中的杠杆法和偏心受压法;其目的是杠杆法控制正弯矩截面;偏心受压法控制负弯矩截面。

对于虚拟桥面连续梁改为简支梁,支座相应的虚拟桥面单元增加节点,添加对应的主从约束即可。
第二施工阶段:添加永久荷载,若自重系统为0,还需要添加盖梁自重。

4.输入使用信息
主要描述盖梁活荷载的处理。使用桥梁博士时,程序有自动横向布载功能,用户只需将单列车的最大支反力输入到横向分布调整系数中,把车辆的行车范围和人群加载范围输入到横向加载有效区域即可,让车辆的两个轮子在行车范围内布载。

打开活荷载输入对话框,将单列车的最大反力输入横向分布系数中,此时的横向分布系数,已经不是真正意义的横向分布系数,它的大小就是一列汽车(或一辆挂车)对这个横向结构的作用力的大小。可取纵向一列车的最大支反力,该值可由纵向计算时,使用阶段支撑反力汇总输出结果里面,汽车MaxQ对应下的最大值,除以纵向计算时汽车的横向分布调整系数来算得),进行最不利加载。
勾选横向加载,输入汽车和人群的横向加载有效区域:


在活载输入对话框中人群集度和人行道宽度填入1,因为在人群荷载反力及横向加载区域已考虑了人群集度和宽度。
模型建立完成,执行项目计算,可查看计算结果,提取截面内力。
盖梁正截面抗弯验算
正截面抗弯检算根据《公路钢筋混凝土及预应力混凝土桥涵设计规范》(JTGD62-2018)中8.2.4的有关公式进行计算。钢筋混凝土盖梁的正截面抗弯承载力应按下列计算:

钢筋混凝土盖梁两端位于柱外的悬臂部分设有外边梁时,当外边梁作用点至柱边缘的距离(圆形截面柱可换算为变长等于0.8倍直径的方形截面柱)大于盖梁截面高度时,其正截面和斜截面承载力按照《公路钢筋混凝土及预应力混凝土桥涵设计规范》第5章有关内容计算。当边梁作用点至柱边缘距离等于或小于盖梁截面高度时,可按照该规范第8.5.3条“撑杆—系杆体系”方法计算悬臂部分正截面抗弯承载力;斜截面抗剪承载力可按钢筋混凝土一般受弯构件计算。
盖梁斜截面抗剪验算
根据《公路钢筋混凝土及预应力混凝土桥涵设计规范》(JTGD62-2018)中8.2.5~8.2.6进行计算。
钢筋混凝土盖梁的斜截面抗剪承载力按下列规定计算:




钢筋混凝土盖梁两端位于柱外的悬臂部分设有外边梁时,当边梁作用点至柱边缘距离等于或小于盖梁截面高度时,斜截面抗剪承载力可按钢筋混凝土一般受弯构件计算,具体参见规范5.2.7~5.2.10条。
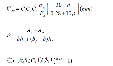
盖梁裂缝宽度验算
裂缝宽度检算根据《公路钢筋混凝土及预应力混凝土桥涵设计规范》(JTGD62-2018)中6.4.3~6.4.4的有关公式进行计算。按正常使用极限状态作用短期效应组合并考虑长期效应影响,分别对结构支点处上翼缘和跨中下翼缘进行抗裂计算。
矩形、T形和I形截面钢筋混凝土构件及B类预应力混凝土受弯构件,其最大裂缝宽度可按下列公式计算:

受弯构件由荷载(或作用)短期效应组合引起的开裂截面纵向受拉钢筋的应力,可按下列公式计算:

计算的裂缝宽度要满足《公路钢筋混凝土及预应力混凝土桥涵设计规范》(JTGD62-2018)6.4.2要求。
盖梁挠度验算
钢筋混凝土和预应力混凝土受弯构件,在正常使用极限状态下的挠度,可根据给定的构件刚度用结构力学的方法计算。
受弯构件的刚度可根据《公路钢筋混凝土及预应力混凝土桥涵设计规范》6.5.2条进行计算:
钢筋混凝土开裂构件等效截面的抗弯刚度:

受弯构件在使用阶段的挠度应考虑荷载长期效应的影响,即按荷载短期效应组合和按上式规定的刚度计算的挠度值,乘以挠度长期增长系数,挠度长期增长系数可按下列规定取用:

中间强度等级可按线性内插法取用。
钢筋混凝土和预应力钢筋混凝土受弯构件按上述计算的长期挠度值,在消除结构自重产生的长期挠度后梁式桥主梁的最大挠度处不应超过计算跨径的1/600;梁式桥主梁的悬臂端不应超过悬臂长度的1/300。
根据《公路钢筋混凝土及预应力混凝土桥涵设计规范》(JTGD62-2018)8.2.9条:跨高比的钢筋混凝土盖梁可不作挠度计算。
桥墩墩身计算
桥墩墩顶集成刚度计算
桥墩抗推刚度计算

板式支座抗推刚度计算



墩顶与支座集成刚度的计算
在墩顶有一排支座串连,再与墩顶刚度串连,串连后的刚度即为支座顶部由支座与桥墩联合的集成刚度。其计算公式为:

墩柱计算长度
墩柱属于受压构件,轴心受压构件的计算需要确定构件的稳定系数,偏心受压构件需要确定墩柱的偏心增大系数,稳定系数、长细比及偏心增大系数的求解都与构件的计算长度有关。受压构件的计算长度与墩柱两端的连接方式有关。
我国《公路钢筋混凝土及预应力混凝土桥梁设计规范》JTGD62-2018,美国规范AASHTO14版(1989)附录C或AASHTO-LRFD第一版(1994)表4.6.2.5-1、英国规范BS5400(1984)均对计算长度做了规定,现将几种规范的取值列于下表进行对比,如表1所示。

注:①L为顶底点间长度;
②美国AASHTO规范,分子为接近理论值的近似值,也是偏安全考虑的采用值,分母为理论值。
实际工程的支承条件,往往与表中所示条件有出入。如墩顶与梁铰接或墩顶与梁固结,因墩有一定柔性,由于混凝土收缩、徐变和温度变化,墩上端必随上部结构的伸缩而作水平移动,移动及移动量将影响计算长度。计算长度与墩顶移动量有很大关系,而墩顶移动量则与梁的刚度有关,更与墩顶及相邻墩顶的抗推刚度有较大的、直接的关系,因此可以根据墩及相邻墩的抗推刚度,并考虑墩相互约束的关系,求取计算长度。在计算墩顶抗推刚度时,墩顶按铰接考虑,未考虑墩梁整体浇注的固结因素。规范上的墩梁固结,其中梁应为刚度无限大,墩顶完全固结于梁内,实际上这样做不到也不存在。故本设计原则,在midas建立计算模型,对轴心受压构件进行屈曲模态分析,根据轴心受压杆件的弹性分析,并与欧拉临界公式、稳定分析联系起来,得到下列公式:

由上述公式,结合国内外规范,本设计原则对墩柱的计算长度系数取值如表2:

墩身内力计算
桥墩所受外力:考虑桥墩桩柱上的永久作用反力、盖梁的重量及桩柱自重;桩柱承受的汽车荷载按设计荷载进行最不利加载计算,最后经作用效应组合,求得最不利的作用效应,桥墩的水平力有温度作用下支座的摩擦阻力和汽车制动力等。

墩身内力计算,随着计算机技术的普及与应用,目前桩柱计算广泛采用有限元法,按桩、土、柱、梁等上、下部结构联合计算,这是一种最合理、最准确、最为简便的方法。对于柔性墩简支梁桥,一次迭代法和三推力方程法方便手算,也不太复杂,所以仍然应用较多。而集成刚度法和柔度传递法主要用于柔性墩连续梁桥计算。
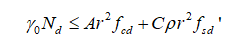
墩身强度验算(按偏心受压构件计算)
常规等截面桥墩可采用偏心受压构件进行计算,较为复杂的花瓶墩、T型墩等需进行简化模型计算或进行实体分析。本文只针对常规桥墩进行讲解。
桥梁墩台的强度验算截面通常选取墩身的底面与墩身截面突变处。采用悬臂式墩帽的墩身,应对于墩帽交界处的墩身截面进行验算。当桥墩较高时,由于危险截面不一定在墩身底部,需要沿墩身每隔2-3米选取一个截面验算。
分别按照承载能力极限状态(基本组合)(Md)和正常使用极限状态(长期组合和短期组合)(MS,Ml)计算桥墩弯矩。
基本组合用于验算正截面抗压承载能力;正常使用极限状态下的裂缝宽度,应按作用(或荷载)短期效应组合并考虑长期效应影响进行验算。
以上组合均考虑长期作用(收缩+徐变)、可变作用(温降、汽车荷载)产生的效应。根据《公路桥涵设计通用规范》(JTGD60-2018)4.1.6条及4.1.7条进行计算:
根据《公路钢筋混凝土及预应力混凝土桥涵设计规范》5.3.9条,沿周边均匀配置纵向钢筋的圆形截面钢筋混凝土偏心受压构件,其正截面抗压承载力计算应符合下列规定:




墩身裂缝验算
根据《公路钢筋混凝土及预应力混凝土桥涵设计规范》6.4.1条:钢筋混凝土构件和B类预应力混凝土构件,在正常使用极限状态下的裂缝宽度,应按作用(或荷载)短期效应组合并考虑长期效应影响进行验算。
根据《公路钢筋混凝土及预应力混凝土桥涵设计规范》6.4.2条,圆形截面钢筋混凝土偏心受压构件,其最大裂缝宽度可按下列公式计算:

由上面公式计算出的最大裂缝宽度,根据《公路钢筋混凝土及预应力混凝土桥涵设计规范》6.4.2条:钢筋混凝土构件和B类预应力混凝土构件,其计算的最大裂缝宽度不应超过下列规定的限值:
1钢筋混凝土构件
1)I类和II类环境0.20mm
2)III类和IV类环境0.15mm
2采用精轧螺纹钢筋的预应力混凝土构件
1)I类和II类环境0.20mm
2)III类和IV类环境0.15mm
3采用钢丝或钢绞线的预应力混凝土构件
1)I类和II类环境0.10mm
2)III类和IV类环境环境不得进行带裂缝的B类构件设计。
桥墩位移验算
《公路钢筋混凝土及预应力混凝土桥涵设计规范》(JTGD62-2018)已取消相关内容,可参考85规范5.1.3条。
简支梁桥的墩台沉降和位移的容许限值(cm),不宜超过下列规定:
墩台平均总沉降值(不包括施工中的沉降)
相邻墩台平均总沉降差值(不包括施工中的沉降)
墩台顶面平均水平位移值
注:1.为相邻墩台间最小的跨径长度,以m计,跨径小于25m时,仍以25m计算;
2.设置在坚硬岩石地基上的任何桥梁可不计算沉降;
3.钢筋混凝土钻(挖)孔桩式或排架式墩台以及基桩承台上的墩台顶面水平位移值,可视具体条件决定,以能保证正常使用为原则。
承 台
承台底面单桩竖向力
承台底面单桩竖向力设计值可按下列公式计算:



承台正截面抗弯承载力验算
梁式体系
根据《公路钢筋混凝土及预应力混凝土桥涵设计规范》8.5.2条内容:
当承台下面外排桩中心距墩台身边缘大于承台高度时,其正截面抗弯承载力可作为悬臂梁按《公路钢筋混凝土及预应力混凝土桥涵设计规范》5.5.2条“梁式体系”进行计算。
1.承台截面计算宽度
1)当桩中距不大于三倍桩边长或桩直径时,取承台全宽;
2)当桩中距大于三倍桩边长或桩直径时


2.承台计算截面弯矩设计值应按下列公式计算(4.1节图):

撑杆—系杆体系
当外排桩中心距墩台身边缘等于或小于承台高度时,承台短悬臂可按“撑杆—系杆体系”计算撑杆的抗压承载力和系杆的抗拉承载力。
1.撑杆抗压承载力可按下列规定计算:





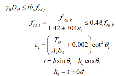
承台斜截面抗剪承载力验算
根据《公路钢筋混凝土及预应力混凝土桥涵设计规范》8.5.4条内容:承台的斜截面抗剪承载力计算应符合下列规定(见本章第一节图):



当承台的同方向可作出多个斜截面破坏时,应分别对每个斜截面进行抗剪承载力计算。
承台冲切承载力验算
根据《公路钢筋混凝土及预应力混凝土桥涵设计规范》8.5.4条内容:承台应按下列规定进行冲切承载力验算:
柱、墩台下冲切破坏锥体
柱或墩台向下冲切的破坏锥体应采用自柱或墩台边缘至和应桩顶边缘连线构成的锥体




角桩和边桩上冲切破坏锥体
对于柱或墩台向下的冲切破坏锥体以外的角桩和边桩,其向上冲切承台的冲切承载力按下列规定计算:





基 础
桩基础是桥梁基础中常用的形式。当地基层较软弱,且较厚时,常采用桩基础,以满足地基强度、稳定性和控制地基沉降的要求。
桩基础的作用是将墩台处传来的外力由桩群经过地基上部较软弱土层传到较深的土层中去。
根据承载性质桩基可分为摩擦桩、端承桩(支承、嵌固)。
基桩内力和位移计算(m法)
1.土的弹性抗力及其分布规律




《公路桥涵地基与基础设计规范》附录P介绍了按m法计算弹性桩水平位移及作用效应。
2.按m法计算弹性桩水平位移及作用效应:
根据《公路桥涵地基与基础设计规范》附录P进行计算。
(1)桩的计算宽度可以按下式计算:







(2)基桩中桩的变形系数可按下列公式计算:





在软件中输入外荷载和根据算得的桩弹性变形系数以及地基变形系数等参数。


从上图的计算结果可以看出,桩身的最大弯矩,一般在地面以下3m左右。提取该计算截面的内力进行截面验算、裂缝验算。
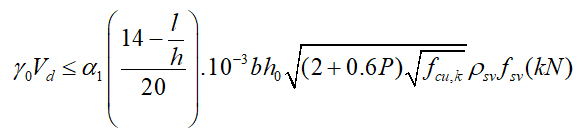
摩擦桩单桩容许承载力











端承桩单桩容许承载力




如果桩较长(摩擦嵌岩桩),桩端弯矩很小,考虑岩层变化、风化差异、裂隙发育等不利因素,可按照1.5~2d的嵌岩深度考虑。
桩身强度验算
根据《公路钢筋混凝土及预应力混凝土桥涵设计规范》5.3.9条和5.3.10条相关规定作偏心受压构件计算。计算方法同墩身强度验算。
利用桥梁博士“基础设计“模块计算出截面内力

桩身弯矩图、剪力图、桩侧土压力图如下所示:


其中桩基的计算长度新版规范中并未作出说明,可参考85规范:桩的屈曲与一般压杆屈曲是不相同的,桩埋入土中的部分受到四周土的约束作用,可以减小屈曲时的计算长度,对于强度、稳定计算式有利的,但是屈曲时的理论计算长度比较复杂,它与桩两端实际连接情况、土的密实程度等因素密切有关。目前缺乏较准确的试验资料,屈曲计算长度值暂时按下表计算。

提取出验算截面的内力,根据《公路钢筋混凝土及预应力混凝土桥涵设计规范》5.3.9条和5.3.10条相关规定作偏心受压构件计算。
桩身裂缝验算
正常使用极限状态下的裂缝宽度,应按作用(或荷载)短期效应组合并考虑长期效应影响进行验算。
根据《公路钢筋混凝土及预应力混凝土桥涵设计规范》6.4.5条偏心受压构件裂缝宽度公式计算,其中桩基计算长度根据6.1.3节介绍方法取值。桩基裂缝宽度计算方法同墩身裂缝验算。
裂缝宽度要满足《公路钢筋混凝土及预应力混凝土桥涵设计规范》6.4.2条要求。
扩大基础
地基承载力验算
1.荷载组合
根据《公路桥涵地基与基础设计规范》1.0.8条:
地基进行竖向承载力验算时,传至基底或承台地面的作用效应应按正常使用极限状态的短期效应组合采用;同时尚应考虑作用效应的偶然组合(不包括地震作用)。
作用效应组合值应小于或等于对于的抗力—地基承载力容许值或单桩承载力容许值。
(1)当采用作用短期效应组合时,其中可变作用的频遇值系数均取为1.0,且汽车荷载应计入冲击系数。
填料厚度(包括路面厚度)等于或大于0.5m的拱桥、涵洞,以及重力式墩台,其地基计算可以不计入汽车荷载应计入冲击系数。
(2)当采用作用效应的偶然荷载组合时,其组合表达式按照下式采用,但不考虑结构重要性系数。


2.地基承载力
根据《公路桥涵地基与基础设计规范》4.2.2~4.2.4条进行计算:



基础稳定性验算
1.基础抗倾覆稳定验算
根据《公路桥涵地基与基础设计规范》4.4.1条进行验算基础的抗倾覆稳定性:



2.基础抗滑移稳定性验算
根据《公路桥涵地基与基础设计规范》4.4.2条进行验算基础的抗滑移稳定性:

3.稳定性系数规定值
根据《公路桥涵地基与基础设计规范》4.4.3条验算墩台抗倾覆和抗滑移稳定性时,稳定性系数不应小于下表的规定:

相关资料推荐:
https://ziliao.co188.com/p63467967.html
知识点:桥梁下部结构计算流程
0人已收藏
0人已打赏
免费9人已点赞
分享
桥梁工程
返回版块19.44 万条内容 · 655 人订阅
阅读下一篇
桥梁钢模板在制作工艺上的要求桥梁钢模板在制作工艺上的要求 桥梁钢模板的使用主要是在架造铁路和公路上面的桥梁钢模板,其能够进行多次的使用,能够将混凝土浇筑成型出美观设备,钢模板厂家之后使用建筑的工程中,桥梁钢模板的制作工艺上是有要求的。 1、桥梁钢模板中的胎膜的设置,为了能够方便的进行加工,并且还需要质量,是适合设置一种统一的桥梁钢模板的胎膜,钢模板厂家能够在桥梁钢模板上的各个部位上面的胎膜上面进行拼接和组装,对于桥梁钢模板的胎膜是须要设置在比较坚实的场地上面,并且还要将其抄平校正。
回帖成功
经验值 +10
全部回复(0 )
只看楼主 我来说两句抢沙发