拱桥-以拱为承重结构的桥梁
反力-在竖向荷载作用下,拱的两端支承处除有竖向反力外,还有水平推力
受力性能-拱主要承受压力,而弯矩、剪力较小
建造材料-圬工拱桥、钢筋混凝土拱桥,钢管混凝土拱桥和钢拱桥
施工方法-拱架施工法,缆索吊装施工、无支架施工、转体施工以及劲性骨架施工等技术。
拱桥特点:
拱桥与梁桥外形不同,拱桥在竖向荷载作用下在支承处除了竖向力外,还有水平力的产生,使得拱内的弯矩大大减小。拱肋中主要是受压的轴力。
拱肋截面受压,可以充分发挥全截面材料的性能,从而能较大地高跨越能力。
相对于梁式和索式结构,拱桥的变形较小,行车条件好。
水平推力的存在使得拱桥对基础条件的要求较高。


空腹拱桥组成





总体布置-确定桥梁长度、分跨、桥面标高、主拱矢跨比和墩台尺寸等。桥面高程-由线路设计与总体布置及设计综合研究决定。拱顶底面高程-满足拱顶最小填料厚度和主拱拱顶截面高度的要求。起拱线高程-根据拱顶底面标高和桥下净空要求(通航泄洪等)拟定。基础底面高程-根据地基情况决定。

矢跨比:矢高与跨度的比值。拱桥的最重要设计控制参数。满足泄洪和通航要求,还应从经济、结构受力、施 工等方面综合分析比较确定。
拱的水平推力同矢跨比成反比。


等跨分孔和不等跨分孔。

不平衡水平推力的处理:







拱轴线选择-形状直接影响主拱截面内力的分布与大小,选择拱轴线的原则,也就是尽可能降低由于荷载产生的弯矩值。

理想拱轴线-仅承受压力,无弯矩和剪力作用。合理拱轴线-荷载压力线尽量接近理想拱轴线。“五点重合法” -采用悬链线时,设计拱轴线与恒载压力线在拱顶、1/4跨和拱脚5处重合。
混凝土拱圈断面的设计选择



板拱是指主拱(圈)采用整体实心矩形截面的拱。按照主拱所采用的材料,可分为石板拱、混凝土板拱和钢筋混凝土板拱等。
A.宽度考虑
板拱宽度即为拱圈的宽度;板宽略小于桥面宽度(便于排水);考虑人行道外挑等因素来减小板宽设置。

B.厚度考虑

肋拱是指用两条或多条分离的平行窄拱圈?即拱肋作为主拱圈的拱;肋拱具有自重轻,恒载内力小,的优点,可以充分发挥钢筋混凝土等材料的性能,在大中型拱桥中得到广泛应用。
、
A.(单一)拱肋的截面选择


B.(单一)拱肋的轮廓尺寸

箱拱:主拱圈由多室箱构成的拱,箱形拱通常采用箱式板拱预制拼装施工。


A.拱圈的截面尺寸

B.箱拱内横隔板设置考虑


C.拱箱间的横向连接细节
横向接头的作用:保障各预制箱形拱肋形成拱圈时的整体受力性能。


D.拱箱的吊装分段及纵向连接细节
吊装分段:拱肋肋的纵向分段(3~7段),减小吊装重量;纵向接头:确保拱肋纵向受力的整体性。

拱轴线的选择与确定;
成桥状态的内力分析和强度、刚度、稳定验算;
施工阶段的内力分析和稳定性验算验算。


有限元的分析方法

拱轴线的形状直接影响主截面的内力分布与大小,选择拱轴线的原则,是要尽可能降低荷载产生的弯矩。
最理想的拱轴线是与拱上各种荷载作用下的压力线相吻合。因为此时每一截面上都只有轴压力而无弯矩与剪力,应力最均匀,材料强度可以得到充分利用。
实际工程中由于活载、主拱圈弹性压缩以及温度、收缩等因素的作用,实际上得不到理想的拱轴线(压力线与拱轴线不可能是吻合的)。
根据混凝土拱桥恒载比重大的特点,在实用中一般采用恒载压力线作为拱轴线,恒载作用愈大,这种选择就愈显得合理。
对于活载较大的铁路混凝土拱桥,则可考虑采用恒载加一半活载(全桥均布)的压力线作为拱轴线。
选择拱轴线时,除了考虑主拱受力有利以外,还应该考虑外形美观、施工简便等因素
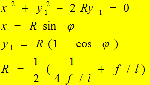
(一)圆弧线拱:线形最简单,施工最方便。但圆弧拱轴线一般与恒载压力线偏离较大,使拱圈各截面受力不够均匀。常用于15~20m以下的小跨径拱桥。园弧线的拱轴方程为:


只有当圆弧形上作用满布均布的径向荷载时,其拱轴才与恒载压力线重合。当f/l较小时,两者出入还不算大,采用圆弧拱并不使恒载内力增大过多;但当f/l接近1/2时,恒载压力线的两端将位于拱脚截面中心上相当远,为了解决这个问题,实践中常在拱脚处设置护拱,以帮助拱圈受力。
(二)抛物线拱
在竖向均布荷载作用下,拱的合理拱轴线是二次抛物线。对于恒载集度比较接近均布的拱桥(如矢跨比较小的空腹式钢筋混凝土拱桥,或钢筋混凝土桁架拱和刚架拱等轻型拱桥),往往可以采用抛物线拱。其拱轴线方程为:


为了使拱轴线尽量与恒载压力线相吻合,也常采用高次抛物线(3次、4次抛物线)作为拱轴线的。
(三)悬链线拱
实腹式拱桥的恒载集度从拱顶到拱脚均匀增加,其压力线是一条悬链线(如下图)。一般采用恒载压力线作为实腹式拱桥的拱轴线。
空腹式拱桥的恒载从拱顶到拱脚不再是连续分布的(如下图),其恒载压力线是一条不光滑的曲线,难于用连续函数来表达。目前最 普遍的还是采用悬连线作为空腹拱的拱轴线,仅需拱轴线在拱顶、跨径的四分之一点和拱脚初与压力线重合。

二、悬链线的拱轴方程
1、拱轴方程的建立
如果拱轴线为恒载压力线,由对称性原则,拱顶截面的内力为:


为了计算拱轴线(压力线)的一般方程,需首先知道恒载的分布规律。



假定实腹式拱的恒载集度与拱轴坐标成线性关系,其任意截面的恒载可以用下式表示:




?由悬链线方程可以看出,当拱的跨度和矢高确定后,拱轴线各点的坐标取决于拱轴系数m。其线线形可用l/4点纵坐标y1/4的大小表示:





由上计算m值的公式可以看出,除拱脚倾角φj为未知数外,其余均为已知;
在具体计算m值时可采用试算法:



(1)空腹式拱m值的确定
空腹式拱桥中,桥跨结构的恒载由两部分组成,即主拱圈承受由实腹段自重的分布力和空腹部分通过腹孔墩传下的集中力(如左图)。由于集中力的存在,拱的压力线为在集中力作用点处有转折的曲线。但实际设计拱桥时,由于悬链线的受力情况较好,故多用悬链线作为拱轴线。
为了使悬链线与其恒载压力线重和,一般采用“ 五点重和法”确定悬链线的m值。即要求拱轴线在全拱(拱顶、两1/4l点和两拱脚)与其三铰拱的压力线重和。其相应的拱轴系数确定如下




相关资料推荐:
https://ziliao.co188.com/zbd129225.html
知识点:拱桥拱轴线设计超详细图文
0人已收藏
0人已打赏
免费5人已点赞
分享
桥梁工程
返回版块19.44 万条内容 · 657 人订阅
阅读下一篇
拱桥的设计与计算详解有同行留言问拱桥的设计经验值,以下表格是各类桥梁设计经济跨径和极限跨径。 钢筋混凝土及预应力混凝土系杆拱桥: 1. 常用跨径: 大于60m。 2. 建筑高度: 建筑高度一般为跨径的1/55~1/100。 3. 特点: 梁高仅有同等跨径连续梁的一半,混凝土及钢筋用量也优于连续梁,但施工复杂。 4. 适用范围: 建筑高度有严格限制或要求曲线形优美的桥梁。
回帖成功
经验值 +10
全部回复(1 )
只看楼主 我来说两句 抢板凳不错的资料,谢谢楼主分享。。。
回复 举报