土木在线论坛 \ 道路桥梁 \ 其他路桥软件 \ 如何在ETABS中模拟土体-上部结构的相互作用?

如何在ETABS中模拟土体-上部结构的相互作用?

发布于:2022-09-15 14:39:15 来自:道路桥梁/其他路桥软件 [复制转发]
问题:

如何在ETABS中模拟土体-上部结构的相互作用?
解答:
ETABS中可以通过定义基于土层剖面和独立柱基础的点弹簧,来模拟基础对上部结构的作用。
点击 【定义>弹簧属性>点弹簧】 ,添加点弹簧属性,弹簧刚度选择来源于土层剖面和基础尺寸,并选择相应的 土层剖面 独立柱基础 ,输入结构的第一阶模态周期,即可完成定义。
图片
首先,程序由用户输入的第一周期,得到土体的无量纲频率参数:
图片

然后,根据无量纲频率参数和独立柱基础尺寸,得到土体的阻尼修正系数,计算公式如下:

图片
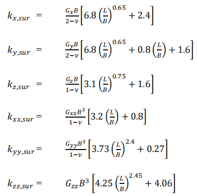
最后,根据等代土体的剪切模量和独立柱基础尺寸,分别得到静力和动力作用下土体对上部结构的约束,即六个自由度方向的刚度、阻尼及阻尼系数。计算公式如下:
①静力 状态下的 弹簧刚度
图片
②动力状态下的弹簧刚度
图片
③阻尼
图片
 式中的辐射阻尼比图片
④阻尼系数
图片

 综上,得到了模拟土体-上部结构相互作用的点弹簧刚度阻尼阻尼系数

相关资料推荐:

ETABS中文版使用指南视频

https://ziliao.co188.com/s38350752.html



知识点:ETABS中模拟土体-上部结构的相互作用


全部回复(0 )

只看楼主 我来说两句抢沙发
这个家伙什么也没有留下。。。

其他路桥软件

返回版块

3.58 万条内容 · 127 人订阅

猜你喜欢

阅读下一篇

材料的时间相关属性

问题:   如何在ETABS中实现材料的时间相关属性?  解答:  在材料定义的高级属性中,点击“时间相关属性”弹出时间相关属性对话框,定义或查看材料的时间相关属性。  在“时间相关属性”区域,根据需要勾选随着时间变化的强度、徐变或收缩属性; 

回帖成功

经验值 +10