1 引 言
大量的工程实践证明,硬岩或复合地层盾构掘进将造成刀具异常损坏严重、刀具消耗量大,刀具检查、更换占用大量作业时间,掘进效率低下,极大制约了盾构机在复合地层以及硬岩中的应用。
例如, 在广州地铁三号线某区间盾构掘进花岗岩半断面地层时,共耗时1.5个月,其中大量时间被用于地层加固、刀具检查、更换, 掘进时间仅用 20d,掘进工时利用率约为 44.4%。在刀具检查和更换条件良好的 TBM 施工过程,刀具更换和检查同样也占用了大量时间,据统计秦岭隧道硬岩 TBM 掘进平均换刀时间占用率为 27%。
在硬岩地层盾构掘进过程中,由于刀具磨损未被及时发现并更换而引发的机械事故屡见不鲜。滚刀刀圈磨损后如果不及时更换,将进一步造成刀毂磨损,进而造成轴承、刀轴的磨损;若仍不更换、继续掘进,将造成刀盘损坏,轻者造成拉槽,重者导致刀盘解体。例如,广州地铁四号线某区间盾构在微风化混合岩中掘进,刀具异常磨损而未及时发现, 在掘进参数异常的情况下仍继续掘进。 进舱检查后发现,中心刀严重偏磨,刀盘中心十字架及周边后移变形损坏,刀盘中心回转体向后位移了近 70 mm,刀盘外缘钢板磨穿。
刀具磨损、 失效的常见的判断方法有以下几种:
1、根据掘进参数的异常变化判断刀具损坏;
2、停机后由人工进舱逐个刀具检查;
3、在刀具上安装液压或电子传感器系统, 刀具磨损到一定程度就会自动报警指示;
4、根据岩碴形状变化判断滚刀磨损情况等。
目前,最有效、最可靠的方法还是停机后人工进舱检查,这种方法只能在稳定地层中使用。在不稳定地层中需首先进行地层加固或压气作业,成本很高。而根据掘进参数的异常变化判断刀具损坏是一种成本比较低的方法,但目前仍属于凭感觉、凭经验的判断方法,缺乏定量的分析。
诸多文献中提出了运用掘进参数检测硬岩盾构滚刀磨损的计算方法, 但该方法未考虑土舱压力的影响。 在全断面硬岩中,一般采用空舱掘进,即土舱压力近乎设为 0。采用该计算方法, 总体上规律性较强。 但对于半断面硬岩中采用半舱掘进或土压平衡掘进的工况, 或者采用泥水平衡盾构掘进硬岩的工况,该方法的计算结果误差则较大。
鉴于此, 本文在以往研究的推导计算公式的基础上,通过引入土舱压力,对掘进速度与刀盘扭矩的计算模型进行修正,以期使该方法既适用于土压平衡盾构, 也适用于泥水平衡盾构在半断面或全断面硬岩掘进中刀具损坏的判断。
2 掘进参数计算模型的修正
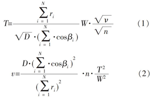
在文以往研究中推导了土压平衡盾构在硬岩中掘进速度与有效推力、有效扭矩的关系,式以及扭矩与有效推力、掘进速度的关系式如下。

式中:T为刀盘有效扭矩(驱动刀具破岩的扭矩,不含摩擦阻力矩);W为盾构有效推力(即刀具 破岩荷载,不含摩擦阻力);v为掘进速度;n为刀盘转速;D为盾构机刀盘直径;ri为第i把滚刀安装直径;N为滚刀数量;βi 为滚刀安装角度。
由于实际施工中还难以直接量测有效推力和有效扭矩,所记录的是包括各种摩擦力的总推力和总扭矩,故还必须进一步对式(1)、式(2)进行变换。
总推力等于有效推力、盾壳所受摩擦力、后续台 车牵引力,以及土舱压力产生的反作用力之和;而刀 盘总扭矩等于刀盘有效扭矩、刀盘面板和刀盘外周 所受摩擦力矩,以及搅拌棒所受舱内碴土摩擦力矩之和,则:

式中:Wt为盾构掘进总推力;w。为盾壳所受摩 擦力和后续台车牵引力之和;Ws为土舱压力的反作用力;p为土舱平均压力。
移项得:

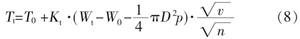
则掘进过程总扭矩Tt 为:

式中:Tt 为盾构掘进总扭矩;To为刀盘面板和 刀盘外周所受摩擦力矩,以及搅拌棒所受舱内碴土摩擦力矩等之和。

将式(5)、式(7)代人整理得:

式中To、Wo、Kt 等系数可通过多元回归分析得到。
将式(5 )、式(7)以及相关系数代人式(2)得到:

式(8)、式(9)是在滚刀完好情况下建立起来的总扭矩与总推力、掘进速度之间半理论、半经验的计算公式。
一般情况下,滚刀完好时,按照此公式得到的计算值与实际值之间的偏差值将比较小;滚刀磨损后,计算值与实际值之间的偏差值将增大,故可采用数理统计方法通过对比掘进速度或扭矩的计算值与实际值之间的偏差值来判断滚刀磨损状况。
3 模型修正后的计算结果对比
可以看出式(8)、式(9)中已包含了土舱压力P对掘进速度和扭矩的影响,而计算公式未考虑土舱压力p的影响。为考察引人土舱压力后 计算结果的变化,将两种计算结果对比如下。
3.1 隧道地质条件
莞惠城际铁路某区间隧道采用土压平衡复合式盾构施工,本文选择该工程右线硬岩段168~180环掘进数据为对比研究对象。该段隧道埋深约23m, 地表地势较平坦,地下水主要为基岩裂隙水。
隧道上方从上到下地层分别为:人工填土层、残积粉质粘土 层、全风化混合片麻岩、强风化混合片麻岩和弱风化混合片麻岩。其中,隧道拱顶地层为强风化片麻岩, 裂隙发育,破碎一较破碎;隧道洞身为弱风化片麻岩,裂隙较发育,较完整一完整,岩石单轴抗压强度约为50~80MPa。
3.2 掘进参数计算模型的建立
选择168环作为建立刀盘扭矩计算模型的建模基准环,经过多元回归分别得到考虑土舱压力和不考虑土舱压力的刀盘扭矩及掘进速度的计算模型如下:
(1) 不考虑土舱压力的掘进参数计算模型:

回归模型样本容量为77,刀盘扭矩估计值的标准误差为374.9。
(2) 考虑土舱压力的掘进参数计算模型(修正模型):
回归模型样本容量为77,刀盘扭矩估计值的标 准误差为291.6。
掘进参数计算模型修正后的计算值与实际值对 比曲线如图1、图2所示。

图1 不同模型扭矩的计算值与实际值曲线对比

图2 不同模型掘进速度的计算值与实际值曲线对比
可以看出,两种计算模型的曲线与实际数据的变化趋势都比较吻合,但考虑土舱压力的修正模型的计算误差更小。
3.3 预报曲线对比
利用168环建立的计算模型对后续169~174环 掘进数据进行跟踪预报,结果如图3所示。可以看 出,168~172环两种计算模型的计算结果基本一致, 而171环之后两者的计算结果差异较大,不考虑土舱压力的计算模型计算结果基本不变,而修正模型 显示实际扭矩低于计算扭矩,预示该环可能更换过 刀具。经查施工记录,171环更换过1把滚刀,由此 可见,考虑土舱压力的修正计算模型能更好反映滚刀的磨损状况。

图3 不同计算模型计算结果对比曲线
4 应用实例分析
为检验修正模型的合理性和适应性,分别选取土压平衡盾构、泥水平衡盾构,以及TBM等不同类型掘进机在硬岩中的掘进数据进行研究。
4.1 土压平衡式盾构机掘进硬岩工程实例
4.1.1 工程概况
杭州地铁2号线某区间隧道长1102m,采用日本川崎公司制造的复合式土压平衡式盾构机施工。在区间中段遇到半断面强风化砂岩及中风化砂岩地层,岩层段长度约为45m(353?391环),砂岩最大单轴抗压强度约为50MPa,强风化砂岩上部为饱和含水淤泥质夹粉砂土,隧道顶部埋深约为8.5m,地面为城市交通主干道。
该盾构机进人半断面硬岩段掘进约为31m (353~379环)后,盾构掘进参数明显异常,出现推进速度小、总推力大、刀盘扭矩大、油温高等现象,总推力达29000kN,刀盘扭矩达4000kN.m,但推进速度仍几乎为0。由于该处隧道拱顶为饱和含水淤泥 质夹粉砂土,在进行地层加固前无法开舱检查刀具。
4.1.2模型分析结果
由于无法直接开舱检查刀具,为了判断刀具的磨损情况,对盾构进人硬岩段以后的掘进参数(354~379环,共26环,31.2m)进行分析,以便为判 断刀具磨损情况以及下步施工措施提供依据。
由于353环刚开始进人硬岩段,假设掘完353环时滚刀仍是完好的,选择354环掘进参数做为建模的基准环,基准环实际扭矩与计算扭矩曲线如图4所示,可见实际扭矩与计算扭矩曲线变化趋势是吻合的。

图4 建模基准环(354环)盾构刀盘扭矩曲线
从图5可看出,从354环开始,掘进8环(约为960cm)时,出现实际掘进速度低于计算速度,此时可能有刀具损坏;继续掘进到366环(掘进约为1870cm)时,实际掘进速度高于计算速度,此位置可能出现小段软夹层;掘进到368环(掘进约为2 100cm)时,实际掘进速度明显低于计算速度,并一直保持这 种偏离,判断刀具出现明显损坏。从368环刀具可能 损坏到379环无法掘进而停机,累计掘进了约10 环,约为12m。

图5 硬岩段354~379环盾构掘进速度曲线
4.1.3 开舱检查情况
经过地层加固,停机1个多月后方开舱检查,发现刀具损坏严重,其中有28把滚刀全部损坏,大部分为偏磨,部分滚刀刀圈已断裂、脱落;有6把贝壳刀也磨损严重,如图6所示。经过刀具更换后盾构成功穿越了该段硬岩。

图6 刀具磨损照片
4.2 泥水平衡式盾构掘进硬岩工程实例
4.2.1 工程概况
广州市轨道交通九号线某区间隧道采用日本三菱公司生产的泥水平衡式盾构施工。盾构穿越一段 半断面中风化灰岩,灰岩侵人隧道长为55 m,凸起 高度为2.1~4.9 m,最大抗压强度约为85 MPa;灰岩 上部为可塑的〈4N-2〉粉质粘土、〈5C-2> 硬塑残积粘 土,隧道拱顶以上主要为粘土地层,局部为中砂层, 覆土厚度为8.5 m,如图7所示。

图7 硬岩段地质剖面示意
4.2.2 模型分析结果
该段硬岩中间有一凹槽,选择后面岩面比较高的硬岩段作为研究对象,第336环处岩面达到最高,将此环作为基准环。基准环实际扭矩与计算扭矩曲线如图8所示,可见实际扭矩与计算扭矩曲线变化趋势高度吻合。
图9为硬岩段336~350环盾构掘进速度曲线,可以看出,实际掘进速度与计算速度变化趋势一致,没有出现大的偏差,判断不会出现比较严重的刀具损坏现象。
4.2.3 开舱检查情况
本硬岩段共进行过两次气压开舱检查刀具工作。第一次在掘进至338环处进行气压开舱检查。

图8 建模基准环(336环)盾构刀盘扭矩曲线

图9 硬岩段336~350环盾构掘进速度曲线
发现刀具均为正常磨损,磨损量为3~5mm左右,未发现偏磨或其它异常损坏情况,无需进行刀具的更换。
第二次在掘进至350环处进行气压开舱检查,发现除31#滚刀出现刀圈崩块外(图10),其它刀具磨损均匀,磨损量为3~7 mm左右,故第二次开舱除 对31#滚刀进行更换外未对其它刀具进行更换。

图10 31#滚刀刀圈崩块照片
4.3 复合式TBM掘进硬岩工程实例
4.3.1工程概况
重庆市轨道交通六号线二期工程某区间隧道采用全断面掘进法(复合式TBM)施工,TMB挖掘机施工段隧道跨度为6.0m,高为6.05m。
根据地质勘察报告,该段隧道覆土层厚度为20-33.2m,隧道洞身主要位于侏罗系中统沙溪庙组砂质泥岩和夹薄层状砂岩中。其中,中一微风化砂质泥岩,岩体较完整,属软质岩,岩体基本质量等级为Ⅳ级;中风化砂岩岩心呈柱状、长柱状,裂隙较发育一不发育,岩体较完整,属较软岩,岩体基本质量等级为Ⅳ级。
4.3.2 模型分析结果
由于本段隧道围岩属于软质岩,刀具磨损少,长距离跟踪计算数据量太大,故专门选择已知的换刀点前后的掘进数据进行分析。根据实际换刀记录,选择换刀掘进1环后的535环做为建模基准环,基准环的刀盘扭矩曲线如图11所示,两者高度吻合。

图11 建模基准环(535环)盾构刀盘扭矩曲线
图12为532-539环盾构掘进速度曲线,可以看出,换刀后实际掘进速度与计算速度曲线很吻合,而换刀前,两者偏差明显。

图12 532~539环盾构掘进速度曲线
4.3.3 刀具更换情况
根据施工记录,2011年3月12日进舱检查,掌子面为砂岩,将磨损量大于15mm以上的滚刀全部更换,共换刀38把。
5 结束语
大量的工程实践证明,硬岩或复合地层盾构掘进将造成刀具异常损坏严重、刀具消耗量大,刀具检查、更换占用大量作业时间,造成掘进效率低下。
硬岩地层盾构掘进过程,滚刀刀圈磨损后如果不及时更换,将造成滚刀整体失效;若仍不更换继续 掘进,则造成刀盘损坏,导致重大设备事故。
目前刀具磨损判断方法仍主要凭感觉、凭经验,及时判断并更换磨损的滚刀是复合地层,以及硬岩 盾构掘进施工中急需解决的技术问题。
本文探讨了根据掘进参数判断刀具损坏的分析计算方法,考虑了土舱压力的影响,对原计算模型进行了修正,计算结果的准确性得到了提高,使本方法也适用于泥水平衡盾构在硬岩中的刀具磨损判断。 经过若干工程的检验证明,本方法具有可行性,对辅助判断刀具磨损情况具有参考价值。但由于掘进参数受多种因素影响,本文提出的方法仍有待进一步完善以及更多的工程验证。为避免误判,最有效、最可靠的方法还是停机后人工进舱检查。
相关资料推荐:
https://ziliao.co188.com/d63287144.html
知识点:运用盾构掘进参数跟踪判断滚刀损坏的研究
0人已收藏
0人已打赏
免费3人已点赞
分享
隧道工程
返回版块2.96 万条内容 · 280 人订阅
回帖成功
经验值 +10
全部回复(0 )
只看楼主 我来说两句抢沙发