斜拉桥主要由主梁、索塔和斜拉索三大部分组成。主梁一般采用混凝土结构、钢-混凝土组合结构、钢结构或钢和混凝土混合结构;索塔采用混凝土、钢-混凝土组合或钢结构;大部分采用混凝土结构;斜拉索则采用高强材料(高强钢丝或钢绞线)制成。今天来浅析一下斜拉桥结构计算特点及建模思路分享。
斜拉桥设计计算特点
斜拉桥是一种高次超静定结构(图1a),其自重引起的内力和变形可以通过调整斜拉索的张拉力而人为地进行调整。因此斜拉桥的设计计算策略与其它桥型有所不同。
图1
在一般桥型如连续梁桥的设计中,一旦结构尺寸、材料和施工方法等确定下来,结构的恒载内力也就随之确定了,无法人为地再进行大的调整。而斜拉桥则不同,设计时是先通过成桥阶段的结构分析和调索,选定设计者所满意的恒载内力和变形状态(注意,关键是在一定范围内可选择,所以不同的人会选不同的状态),即所谓成桥阶段理想状态。然后以此状态为目标状态,寻找为达到该目标状态所需的施工过程和斜拉索的张拉力,即寻找所谓各施工阶段理想状态。两种设计计算过程简略示于图2中。
图2a 斜拉桥
图2b 连续梁桥
斜拉索的作用
一般认为,对于弹性分析而言,斜拉索的作用是为主梁提供一系列弹性支承,如图1b所示。在荷载的作用下,主梁发生挠曲,使斜拉索伸长变形,因而产生拉力(相当于弹性支承的反力)。我们称之为“被动受力”,即其受力是因主梁的变形而引起的。这种比拟有一定的道理,但不确切。对于成桥后施加的荷载,如汽车荷载、二期恒载等而言,斜拉索确实相当于弹性支承。但对于主梁自重来说,就不完全是这样了。因为斜拉索在安装或调索时要进行张拉,这部分张拉力占斜拉索最终索力的大部分。而这种张拉力是以外荷载的形式作用在主梁和桥塔上的(图3),是一种“主动施力”,即它不是因结构变形而引起的拉力,而是其拉力引起结构的变形。正是由于斜拉索的这种主动施力的特征,才使得人们可以通过调索来达到调整结构内力和变形的目的。
因此可以这样说,对在斜拉索锚固之后由其他因素施加在主梁上的荷载而言,斜拉索对主梁起着弹性支承的作用。而对于在斜拉索锚固之前的结构而言,斜拉索是以其张力作为外荷载作用在梁和塔上来影响结构内力的。
图3
主梁受力特征
为说明问题,先分析一种特殊的情况,假设斜拉桥的梁和塔是一次性全部安装上去,并且斜拉索是同时张拉的,后面再分析实际分阶段施工的情况。
根据前面的分析,主梁在其自重作用下的受力和约束状态不是支承于一系列弹性支承(斜拉索)上且跨度为斜拉索间距的连续梁,而是跨度为L1+L2+L1的连续梁或简支梁(视梁与塔墩的连接情况而定),其上作用着两个强大的力系,一个是梁的自重q,另一个是斜拉索的张力(图3)。这两个力系在梁中分别产生巨大的内力和变形,但因它们在竖向的作用效应方向相反且绝对值相近,所以梁的最终受力状态是两者之差。这个差相对于这两个力系单独产生的效应而言,其数值很小。而主梁的承载力也是按这个很小的差来设计的。
在两个强大力系作用下处于平衡状态的结构,其内力和位移对这两个力系是十分敏感的。只要其中任何一个发生了不大的变化,二者之差就会成倍甚至几十倍地变化。因此,与其它桥型相比,对斜拉桥的施工控制计算有更高的要求,因为施工中的误差可能会引起结构较大响应。
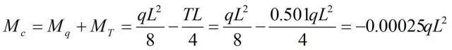
现举一简单例子来说明这种敏感性有多大。如图4所示,一跨度为L的简支梁,其自重荷载集度为q,在跨中作用一向上的集中力(相当于拉索的拉力)T=0.501qL。此时跨中截面的弯矩为

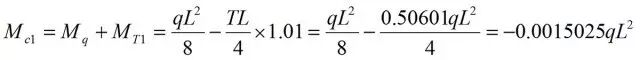
现假定拉力T发生了+1%的偏差,则跨中截面弯矩变为

变化量达

上面讨论的是一种极端的情况,实际的斜拉桥是分阶段施工的,每浇筑或拼装一段梁就张拉一对索,直至合龙。这样,先安装的斜拉索对其后施加的荷载而言(包括其后的斜拉索张拉力和梁自重),就相当于弹性支承的作用,其拉力也因此而发生改变。因此,整个结构是由具有弹性支承且承受斜拉索张力和梁自重荷载的一系列结构逐步演变为成桥状态的。后面张拉的索和安装的梁段对前面已安装的索和梁段产生影响,但前面张拉的索和安装的梁段对后面安装的索和梁段则影响很小。
显然,对这样形成的结构,其内力和位移对前述两个力系的敏感性应该介于图1b和图3或图4所示情况之间。下面举一个实际结构的例子来说明其影响。图5所示为一座斜拉桥,跨度为194+518+194米(不计辅助墩的话),全飘浮体系,施工方法为悬臂拼装,计算时分阶段模拟实际的施工过程。成桥后中跨四分之一跨度处的恒载弯矩为-11669kN-m,由跨中向塔方向数第二根索处弯矩为最大弯矩(绝对值最大),其值为-13257kN-m。假如将斜拉索的初始张力减少5%,则中跨四分之一跨度处恒载弯矩变为最大弯矩,其值为-17193kN-m,增加了约47%,原最大弯矩处变为-13415kN-m,仅变化了约1%。之所以跨中附近变化量很小,是因为该处的梁段和索是较晚安装的,受其它索的影响很小。

图5
初学者容易产生的认识错误:“既然斜拉索拉力是一种荷载,那么对线弹性体系,因荷载与内力或位移成正比。所以,若斜拉索拉力变化,结构的内力也会成比例地变化。例如,若索力增大一倍,则内力和位移也随之增大一倍”。从上面的例子可以看出,结构的总内力并不与T(或q)成正比,而是与二者的综合作用成正比。事实上,线弹性体系的荷载与内力或位移之间的线性关系是指总的荷载与总的内力或位移之间的关系,而不是与力系中某一个或某几个力之间的关系。
活载作用情况
对活载来说,斜拉索相当于梁的弹性支承(图1b)。但由于其弹簧刚度较小,因此若活载较大,例如铁路荷载,就会产生较大的变形和内力。这就是相对而言,为什么斜拉桥在铁路上应用不如公路上普遍的原因。当然,这并不是说铁路桥梁不能采用斜拉桥形式,近年来我国铁路或者公铁两用斜拉桥已经取得了令人瞩目的成就。
MIDAS软件计算思路
MIDAS.CIVIL软件中模拟索有三种类型;分别为桁架单元—小位移,拉压均可;只受拉桁架—小位移,只受拉;索单元—大位移,只受拉。这里小位移—线弹性计算,忽略结构变形;大位移—几何非线性,考虑变形影响。

midas模型对应概念区别
计算中如何得到初始单元内力?


恩斯特弹模修正
如何计算体内力与体外力?
(一)体内力:把握核心是无应力索长。

(二)体外力:把握核心是等代荷载。

调索思路:斜拉桥的塔要直:主塔尽量承受轴向压力;梁要平:主梁尽量弯矩比较均匀;索力变化均匀:短索索力小,长索索力大;支座反力:支座尽量不出现负反力。
目前常用的成桥调索方法为:弹性支撑连续梁法;零位移法;最小弯曲能法(最小弯矩法);影响矩阵法。最小弯曲能法(最小弯矩法):放大塔梁索轴向刚度—放大10^4-10^5次或者减小梁塔抗弯刚度—减小10^4-10^5次。其中放大塔梁索轴向刚度,这种对于系杆拱桥和无背索斜拉桥的调索应用更多。如无背索斜拉桥结构分析:


目前常用的施工过程调索方法为:倒拆正装法;施工过程影响矩阵法;无应力状态法;正装迭代法。

无应力状态法受力模式思路
正装迭代法的基本思路为:先假定一个安装索力,且节点安装坐标假定为成桥设计标高,进行一次正装计算,得到一个成桥状态;将该成桥状态与事先定好的合理成桥状态进行比较,求出差值。利用索力影响矩阵,根据最小二乘法原理,通过使两个成桥状态的控制量差值最小来计算安装索力的调整量,得到新的安装索力;再进行新的一轮正装计算,直至收敛为止。该方法只需作正装计算,且将不闭合原因造成的影响通过最小二乘法原理减小到最低限度。

总之,1.斜拉索锚固之后才能充当主梁弹性支撑,否则只能是外荷载;2.主梁是处于自重q和拉索拉力T两种平衡力系之下的,且对非常敏感,两者稍有变化,影响成倍或数十倍增加;3.后张索对已锚固索影响较大,反之则小;4.线弹性体系的荷载与内力或位移的关系,体现在结构整体关系,而不是局部某一个或者几个。
相关资料推荐:
https://ziliao.co188.com/d63514202.html
知识点:浅谈斜拉桥设计计算及建模经验
0人已收藏
0人已打赏
免费3人已点赞
分享
桥梁工程
返回版块19.44 万条内容 · 655 人订阅
阅读下一篇
桥梁加固设计,从规范到加固方法,一次性了解!桥梁加固原因 1、随着经济的发展,交通量增大,载重等级发生变化。 2、早年设计的指导思想注重于材料的节省,安全度低,一般来说造成断面单薄、安全储备低,其中最典型的是双拱桥。 3、桥梁耐久性差和年久老化,如砖拱桥。 4、修建的桥梁,因设计失当或施工质量差,也存在加固的问题。 规范加固设计计算基本假定 直接加筋类加固构件特点是后加补强材料只承担车辆荷载及后加荷载产生的内力,与原结构钢筋相比,其应变(应力)相对滞后,一般情况下在极限状态时,其应力达不到抗拉强度设计值。
回帖成功
经验值 +10
全部回复(0 )
只看楼主 我来说两句抢沙发