预应力混凝土(PC)构件中混凝土的预压应力σpc,是业内专业人员非常熟悉的一个概念,是指预加力在PC构件横截面的混凝土中引起的压应力,具体位置一般指在外荷载作用下横截面的受拉区域。
但就是这样一个众所周知的概念,在具体应用时以及在不同的设计规范中却仍然存在差异,导致某些计算结果或者验算指标也不相同。例如:在我国《公路钢筋混凝土及预应力混凝土桥涵设计规范 JTG3362-2018》、《铁路桥涵混凝土结构设计规范TB 10092-2017》及《铁路桥涵设计规范(极限状态法)Q/CR 9300-2018》中就有不同的涵义,使得某些条文的计算结果亦不同,比如抗裂性计算、预应力损失及有效预应力计算等。

通过深入分析,发现这种差异是由于对预压应力的涵义采用了不同的设定所导致的,而且不同的设定还导致了规范中其他有关规定的不协调性。本文拟就此问题作深入的分析,并对规范条文给出建议。

图1 大跨PC桥梁结构计算简图
PC构件预压应力的
几种不同涵义
如上所述,预压应力σpc的定义较为简单明确,就是预加力的作用效应中的混凝土应力,但需注意的是预加力效应有三个组成部分:
效应1:预加力主效应,即预加力作用在横截面上的荷载直接在横截面上引起的与时间无关的效应。其所引起的预压应力为σpc1;
效应2:预加力弹性次效应,即在超静定结构上施加预加力,由于预加力引起的弹性变形受到约束而产生的与时间无关的次效应。其所引起的预压应力增量为⊿σpc2;
效应3:预加力徐变次效应,即在超静定结构上施加预加力,由于预加力引起的徐变变形受到约束而产生的与时间相关的次效应。其所引起的预压应力增量为⊿σpc3。
在正常使用极限状态,与上述三部分效应相应的预压应力涵义也有三种:
涵义1:只包括效应1,即σpc1。只把主效应计入预压应力(抗力),把次效应计入荷载效应(作用);
涵义2:只包括效应1和效应2,用σpc2=σpc1+⊿σpc2表示。只把与时间无关的次效应⊿σpc2计入预压应力(抗力),把与时间相关的次效应⊿σpc3计入荷载效应(作用);
涵义3:包括效应1、效应2和效应3,用σpc3 =σpc1+⊿σpc2+⊿σpc3表示。把与预加力相关的效应都计入预压应力(抗力),不作为荷载效应(作用)。
在这三种涵义中,涵义3最为合理,分类也最为清晰,把凡是预加力引起的混凝土压应力都算作预压应力。涵义1次之,因次效应是变形受到约束而产生内力和变形重分布,从工程实用角度,将其作为荷载效应也说得过去。相对而言,涵义2的分类最为牵强,把一部分次效应计入抗力,而把另一部分计入作用。
在我们的教科书中,由于主要以静定的简支梁为背景讲述预应力效应,不涉及次效应影响,所以也都没有涉及预压应力具体涵义问题。

对预应力其他相关
指标涵义的影响
采用上述三种不同的预压应力涵义,不仅仅涉及到预压应力σpc本身,还涉及到预应力其他指标的内涵,因为这些指标在工况和数值上必须跟预压应力对应且协调,它们包括:预应力钢筋的有效预应力σpe、预应力损失σl以及荷载引起的应力σst。只要看一下它们的表达式,并考虑它们的相互关系就会明白其中的道理,本文后面也会进行分析。

对现行桥梁设计规范
条文的影响
如上所述,跟预压应力σpc相关的预应力指标的涵义会随σpc涵义的不同而不同,在设计规范中的表达式和定义也应因此而不同。但遗憾的是,现行的设计规范对此缺乏较为清晰的描述和定义,有些条文还相互不协调或不对应,不同的规范使用者会理解为不同的涵义,导致计算结果产生一些偏差。这种偏差虽然不算很大,但作为设计规范,必须保持其内部的完备、协调和统一。
为简便且不失一般性,以后张法预应力构件为例。
4.1 公路桥涵设计规范
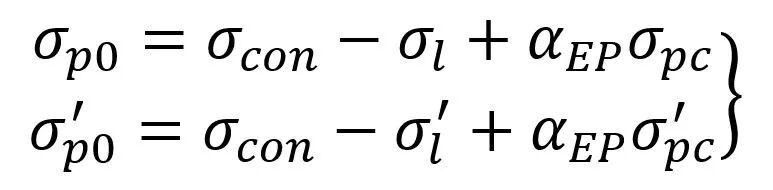
在《公路钢筋混凝土及预应力混凝土桥涵设计规范 JTG3362-2018》条文6.1.6中,给出了预压应力σpc、预应力钢筋合力点处混凝土法向应力等于零时的预应力钢筋应力σp0以及预应力钢筋的有效预应力σpe的表达式(采用规范中的公式编号,下同):
(6.1.6-4)
(6.1.6-5)
(6.1.6-6)
式(6.1.6-4)中的Mp2为预应力次弯矩,规范中没有明确说明它是本文前述的效应2(弹性次效应)还是效应2与效应3之和,但按照很多规范的习惯以及该公路桥规其他条文的描述判断,应该是指效应2。所以该桥规中的预压应力采用的是前述的涵义2。且不论采用该涵义是否合理,这里明显存在一个不完备之处,预应力次效应中不仅仅次弯矩Mp2引起正应力,次轴力Np2也会引起的(如连续刚构等结构就会有次轴力),所以公式(6.1.6-4)应该增加一项+Np2/An。
根据本文上一节所述,与预压应力有关的其他预应力指标也应该明确说明其涵义,但规范中似乎也缺少这样的说明。
首先,有效预应力σpe应该是与预压应力σpc相同工况时对应的应力,所以也应该包含次效应的影响。根据式(6.1.6-5),式(6.1.6-6)可以改写为
(6.1.6-6’)
式中σp0是混凝土预压应力消失(消压)时的钢筋应力,是对应一种特定的客观状态时的钢筋应力,与次效应无关,也不应随预压应力涵义的人为设定而变化,因此由式(6.1.6-6’)可知,有效预应力σpe会随着预压应力σpc的涵义设定不同而不同。而由式(6.1.6-5)可知,要保持σp0不随σpc的涵义不同而变化,在预应力损失σl中,也必须包含次效应引起的钢筋应力变化,这显然应该包含在弹性压缩损失σl4中。这样式(6.1.6-5)右侧后两项中的次效应影响就互相抵消,σp0因此与次效应无关,自然也不受σpc的涵义设定影响。
在该规范关于弹性压缩损失σl4计算的条文6.2.5中,没有说明是否包含次效应影响,从完善规范角度,应该增加说明。
受预压应力涵义影响的规范条文还有6.3.1条,关于正截面抗裂性计算,以式(6.3.1-1)为例:
(6.3.1-1)
式中σst是在作用频遇组合下构件抗裂验算截面边缘混凝土的法向拉应力。
由该式可明显看出:
(1)如果预应力次效应影响包含在预压应力σpc中,就不应再包含在荷载应力σst中,即应该明确说明频遇组合中不包含预应力次效应,但该规范以及《公路桥涵设计通用规范 JTG D60-2015》中都没有这样的说明,这容易导致使用者在频遇组合中也计入预应力次效应;
(2)预应力次效应如果是压应力,则包含在σpc更不利,如果是拉应力,则包含在σst中更不利。
4.2 铁路桥涵设计规范
《铁路桥涵混凝土结构设计规范TB 10092-2017》及《铁路桥涵设计规范(极限状态法)Q/CR 9300-2018》对预压应力的规定相同,故仅以TB 10092-2017为例进行说明。因符号与公路桥规不同,为统一,转换为一致的形式。
由规范条文7.3.5的表达式:
(7.3.5-1)
可以看出,铁路桥规的预压应力采用了涵义1,即只计入主效应,而把次效应计入了荷载效应中。规范中其他有关指标的规定也都是与此涵义一致的,这可以从其相关条文和计算式判断出。但从清晰明确角度,与公路桥规类似,尚应对有关指标和作用组合的内容进行更明确的说明。

对现行桥梁设计规范的建议
根据本文第2节的分析,理论上看,采用涵义3最为合理,这样定义的预压应力是预加力的全部效应引起的,最符合预压应力的定义。但由于包含了预应力徐变次效应的影响,所以预压应力σpc、预应力钢筋的有效预应力σpe、预应力损失σl等都与预应力徐变次效应相关,都是时间的函数,使计算变得较为复杂。至于涵义2,如前所述,理论上确实有些牵强,同为次效应,没有道理把一部分计入抗力,而另一部分计入荷载。
从对计算结果影响的方面看,采用不同的σpc涵义,真正影响计算结果的只有截面抗裂性计算,例如公路桥规的式(6.3.1-1)和(6.3.1-2),铁路桥规的式(7.3.9-1)、(7.3.9-2)、(7.3.7-1)及(7.3.7-2),因为在这些计算式中,预压应力与荷载应力分别乘以不同的系数,次效应计入不同的项里,结果自然不同。对于其他指标的影响,或者只改变其涵义和标志性数值,如σpe和σl,或者由于表达式中预压应力与荷载应力具有相同的系数而不产生影响。
因此,从工程实用角度,建议对预压应力采用涵义1,即现行铁路桥规的作法,只把主效应计入预压应力。与采用涵义3相比,也不会产生较大误差。当然,在规范中还需明确说明相关指标的涵义。
相关资料推荐:
公路桥梁抗震设计规范 JTG/T 2231-01-2020
https://ziliao.co188.com/p63359167.html
知识点:PC预压应力的不同涵义及其对桥梁设计规范的影响
0人已收藏
0人已打赏
免费3人已点赞
分享
桥梁工程
返回版块19.44 万条内容 · 655 人订阅
阅读下一篇
体外预应力加固钢梁桥的设计计算桥梁是保证公路和铁路畅通运行的关键. 目前, 随着经济的发展, 交通量、车辆载重、行车密度日益增加, 而陈旧桥梁大都承载力不足, 已不能适应交通发展的需要, 因而对陈旧桥梁的加固改造将是今后的研究课题。我国现有钢桥中绝大多数是中小跨度的简支钢梁桥, 跨度小于32 m 的钢桥约占钢桥总数的70%, 所以从应用较广的简支钢梁桥着手研究其加固改造具有较普遍的意义. 体外预应力法是当前桥梁加固的最理想的措施之一, 它的投资较少, 可以在不中断行车情况下进行, 操作简便灵活.
回帖成功
经验值 +10
全部回复(0 )
只看楼主 我来说两句抢沙发