7 预应力基本原理
随着预应力混凝土结构的广泛应用与发展,以及国内外规范(标准)中提出的“极限状态理念”的不断演变,最原始的预应力基本原理已经逐渐被遗忘或淡化了。我们有必要从预应力的基本原理出发来进行思考以便对预应力有更深刻的理解,而不是仅仅以满足规范(标准)条文的要求为目的。因为规范(标准)条文本身不会设计出受力合理而又耐久性好的结构。
钢筋混凝土结构在Lambot和Monier等先驱创造性应用几十年后,其性能慢慢被人们所理解。在新旧世纪之交,Considere,Rabut,Morsch和其他专家基于弯矩与钢筋拉应力之间的平衡,提出了更简便的模型:如桁架类推法和截面解析法等。
显而易见,钢筋混凝土结构受拉区的应力增长到一定程度就会产生裂缝。
裂缝在人造混凝土结构中一直存在,即便当时的人们对其(机理)并不理解,而工程师对这些裂缝感到很不满意,于是他们试图通过人为地施加压力来避免开裂,很快便出现了通过张拉钢筋以产生所需预压应力的思路。而实际(应用)上,直到几十年后在Freyssinet推动下,才真正发展了成熟的预应力技术,他使用高强度钢丝在混凝土构件中产生持久的压力。
基本上,工程师们通过预应力技术在混凝土构件中产生压力储备,从而达到消除或控制拉应力和裂缝的目的。
工程师很快就开发出了设计预应力结构的高超技能:Freyssinet和后来的Guyon发表(文章)提出,应该设计预应力以平衡载荷,以使结构达到合理的受力状态。
“平衡荷载”,这就是理解预应力效应的关键,以及预应力体系建立的基本原理。这一概念非常重要,比任何规范(标准)都重要。
这个思想在Franz Dischinger的专利设计图纸中得到了非常清楚的体现:他在三十年代设计了体外预应力,以非常现代的设计方案去抵抗荷载。这发生在现代体外预应力得到应用的五十年之前(图7.1)。通过在结构中计算预应力效应的两种方法可以给出更理论化的方案。 
图7-1 Dischinger专利中的图纸
“内力”方法是在结构的横截面中引入等效预应力静荷载(图7.2):
其中轴向力:N=FΧcosa
剪力:V=FΧsina
xy平面中弯矩:M=eΧFΧcosa
当然,这些等效静荷载在超静定结构中会产生次内力。

图7-2 预应力效应(截面)内力分析法
“外力”方法是直接计算预应力筋作用在混凝土结构上的力(图7.3):
锚固力,FA和FB;
钢束弯曲产生的分布法向力,F(x)/R(x)
与钢束平行的分布摩擦力,dF(x)/dx
外力分析法通过预应力清楚地表达了载荷的平衡方式:分布的法向力F(x)/R(x),直接平衡掉了一部分外部载荷。
图7-3 预应力效应(结构)外力分析法
现代规范通过极限状态设计理念来保障结构安全性和耐久性。
如果考虑分项系数的荷载组合小于结构承载能力极限状态抗力,则结构安全。
在一般的分析中,认为钢筋和(有粘结)预应力筋之间没有本质区别。但有些规范上用分项安全系数对预应力效应进行了考虑;而实际上在分项荷载作用下,有粘结预应力筋和普通钢筋一样会在张力下松弛,可以通过配置更多的预应力或采用更高的配筋率来保证结构安全。
一些工程师对极限状态的考虑过于保守,而忽视了设计的其他方面,往往导致其低估了预应力的作用。这种情况在中、大跨度桥梁中特别明显,因为这些结构由预应力(而不是普通钢筋)起主要作用。
正常使用极限状态主要通过裂缝宽度来控制耐久性和抗疲劳性,即使疲劳导致的预应力断裂可以认为是达到了承载能力极限状态。疲劳设计由高频动力荷载控制,其破坏机理不同于静力荷载。
正常使用极限状态还应控制变形。但是现有规范对徐变产生的变形无法准确估算。只有完美的荷载平衡才能有效控制结构的长期变形和转角,对永久载荷平衡的详细分析参见第7.3节
即使某些规范不涉及这一方面的内容,设计和构造也必须对结构几何形状进行合理的控制。这对于分步建造的桥(例如自由悬臂法)特别重要。
在正确估算荷载的基础上,可以准确分析每个施工步骤的结构变形,然后在必要时根据这些预测的变形设置预拱度,这就是施工控制。这个分析过程必须按照实际施工阶段一步步进行。在最后一个设计阶段,工程师必须精确计算结构的时间依存性影响,如摩阻损失的发展,混凝土的收缩徐变,以及预应力筋的松弛等。
施工过程中精确的几何测量让变形控制得以实现。如果测量发现一些不正常的变化,则可以对载荷和预应力进行调整来控制施工标高(例如斜拉桥中的调索),并采取对策来调整构造几何形状。也可以通过预应力筋的有效应力检测来控制摩擦损失,这有助于分析和评估桥梁的实际状况。当然,斜拉桥索力的监控对于控制几何形状更为重要。
基于极限状态理论的规范通常着眼于分析桥梁的运营极限状态。但由于结构的复杂性,按施工阶段进行逐步分析也必须得到重视。当然在目前的条件下,也不需要在每个施工状态都对结构的安全性进行全面的分析。但工程师必须意识到,在任何情况下都需要通过简单的复核来确认安全性,即保证桥梁结构没有倒塌的风险。
为了减少混凝土徐变引起的无法准确计算的变形和挠曲,有必要让预应力弯矩来平衡主要的永久载荷。通过一些实例发现恒载过大,或预应力超配,都将产生不利的变形和挠曲。
预制梁由于截面惯性矩有限,在活荷载下产生的截面应力变化很大,因而常用于建造轻型结构。设计时为了满足规范要求,特别是在追求“全预应力”目标时,往往需要使用预应力在下翼缘中施加较大的预压应力。这种方法通常使得永久载荷下的应力分布极不平衡,上翼缘应力不大,而下翼缘应力较高(图7.4)。




图7-4 后张预应力预制梁桥实例:主要施工阶段中跨应力对比图(全预应力和部分预应力)
在这种情况下,徐变将使预制梁和整桥向上弯曲。由于徐变大小取决于许多不受控制的因素,因此向上的变形跟预测值相比有时大很多,有时小很多。
良好的设计必须有效地控制这些不确定性因素,因而有必要通过更好地平衡永久载荷,使结构在横截面中产生更好的应力分布。增大截面惯性矩和采用“部分预应力”的概念显然是有利的。
当八十年代为顶推桥梁开发体外预应力时,一些承包商建议在顶推前安装直的和居中的体外束,并在桥梁的运营状态中保留这些体外束。
显然,直的和居中的预应力束只产生法向力而不抵抗任何外荷载。它们会在腹板中产生较大的剪切应力,并且在横截面中产生正应力,在支点下翼缘和跨中的上翼缘产生较大的压应力。当然徐变会产生不确定的下挠。
弯起束受力更好(图7.5):它们减小了腹板中的剪切应力而且可以平衡大部分的永久性荷载。

图7-5 顶推梁的典型体外预应力布置
最经典的例子是用悬臂法建造的桥梁。
在Finsterwalder或者法国的Courbon第一次工程应用中,悬臂法仅通过简单的连接就在跨中合拢了。当然,只有一部分由永久载荷产生的负弯矩通过预应力得到平衡了(利用预应力产生的法向力)。这导致混凝土徐变产生很大的挠曲。这变形比预期大得多,当时没有精确的算法,但普遍认为是徐变效应。有一段时期(当时技术不像现在这样先进时)又认为是预应力的松弛和摩擦损失造成的。
中跨铰接的结构形式不被采用的很长一段时间中,桥梁建设持续发展。但由部分未平衡的永久物载荷引起的徐变仍然存在,并产生较大的超静定效应;一些建于六十年代和七十年代初的桥梁必须通过额外的预应力进行加强。在某些情况下,对于高度受限的大跨箱梁桥,中跨出现了不可接受的变形(Parrot的渡轮桥.Grand Mere Bridge)。
【Parrot ferry bridg:位于美国加州,桥墩最大高度108m,主跨195m,1979年通车;是一座淹没的水库桥,其桥墩通常被淹没在加利福尼亚中部卡拉维拉斯县的新梅隆湖下。其主跨为195米,是美国有史以来建造的最长的预应力混凝土梁桥之一。作为最早使用特殊轻质混凝土的桥梁之一,中跨在开启后大约5个月下垂了近一英尺,在接下来的十年中又下垂了近一英尺。考虑下挠显著,对大桥进行了检测,并决定在桥的中央三分之一处增加支撑梁,以防止任何进一步的下垂。从那时起,这座桥一直表现完美。



】
【加拿大魁北克Grand-Mere大桥全长285米,三跨连续刚构,跨径分别为39.6、181.4和39.6 m,边跨压重,在建成的1977年中跨在北美是一纪录。这座桥是一座优雅细长的结构,横跨圣莫里斯河。在中跨,箱梁的纵深与纵深呈抛物线关系,梁高从9.75米变化至2.90米。因为施工及设计和知识局限性等其他多种因素,跨中持续下挠,1991年采用体外束进行了加固。




】
随着七十年代后期对混凝土徐变认识的提高和计算科学知识的发展,徐变变形的计算方法已经基本上成熟了,可以用来计算混凝土徐变的超静定效应。不幸的是,最近架设的Chevire大桥(该桥为跨中正交异性板挂孔梁)证明了铰接中跨大变形的原因是徐变效应。在这一类桥梁中,由于桥梁布置的原因,只有一小部分永久荷载由预应力平衡,底板压应力非常高,顶板压应力很小。
必须指出的是:尽管我们对混凝土徐变有了更深的认识,处理大型计算有了更强的能力,但是当截面压应力分布极不均匀时,徐变效应的预测(尤其是挠曲)结果并不可靠。这种情况下预应力仅平衡了小部分永久荷载。
基于对某些桥梁的精确分析,瑞士Renaud Favre最近在几个出版物中公开发表了相同的想法[R.Favre a.aL 1995 -7.1]。
斜拉桥是永久载荷完美平衡的最佳实例:在良好的设计中,拉索力根据平衡永久载荷的需要来精确计算,并且预应力筋在所需区域内居中布置,以保持这种完美的平衡(图7.6)。徐变仍然产生变形,但变形在所有横截面上几乎是均匀的。斜拉桥徐变效应可以得到很好的控制,而且可以通过运营几年后的调索来进行调整。
当忘记这些简单的原则时,会出现一些问题。法国一座小型斜拉桥的主梁上布置了薄而高的纵肋;为了避免极端活载荷下较高的拉应力,设计人员决定通过偏心预应力和增加拉索张力在底部翼缘产生压应力。在施工期间,徐变得到了很好的控制。但是当施工过程发生变化后,应力分布产生意想不到的徐变变形,而且这些变形无法进行调整。

图7-6 柔性斜拉桥永久荷载的完美平衡
总之,永久载荷必须通过预应力弯矩矩(或斜拉桥中的索力)很好地平衡,以产生良好的设计——限制剪应力(以及弯曲和斜交桥中的扭转应力)。设计应让结构在永久载荷下产生尽可能均匀的纵向应力图,并控制徐变变形和影响,尤其是变形。
一些工程师认为所有或几乎所有的永久载荷必须通过预应力力矩来平衡,例如Renaud Favre提出的80%到90%;但是,经验证明这通常是不经济的,因此在具有中等跨度的传统桥梁中,可以通过预应力力矩平衡60%或70%的永久载荷比较合适。当然,永久荷载的比例会随着跨度的增加而增加,很长的跨度——例如通过悬臂法建造的长跨度桥梁以及更柔的混凝土构件,亦或者斜拉桥等,这个比例必须接近100%。
规范无法提出这些建议,但这些建议必须被视为桥梁设计艺术的基础,以建设安全和耐用的结构。业主或工程师也可以在合同中指明预应力平衡永久荷载的百分比。
随着最近体外预应力的应用,必须用一些词来区分粘合和无粘结预应力的结构特性。
在粘结预应力中,预应力筋通过灌浆连接到同一高度的混凝土上,并在活荷载作用下保持相同的应变变化。如果以拉应力为正,我们可以得到(式7.7):

如果预应力没有粘连。管道和预应力之间没有摩擦。两个锚固段之间的钢束伸长由相应的混凝土伸长率决定(节段或者开裂的现浇节段内):

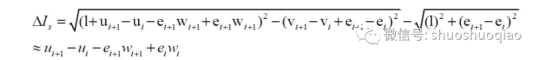
对于体外束,如果预应力不能滑动,则两个连续的转向器之间的长度变化由它们的位移控制(图7.8):

其中e是预应力偏心率。u和v纵向和横向位移,w是对应的参照位置的转角。
当然,预应力和导管之间的摩擦可以改变无粘结预应力的关系,而转向器上的滑动可以改变体外预应力的拉力分布。

图7-7 梁内无粘结钢束
图7-8 转向器之间的体外束
但总体上讲,用粘结体内预应力建设的桥梁可以用经典方法进行分析——可以在每个横截面上进行分析,因为内部钢束的应力直接与混凝土变形相协调。反之,无粘结或体外预应力的应力由结构整体变形给出,而不是逐段协调。无粘结或体外预应力钢束桥梁极限状态下的分析必须采用特定的方法进行(本文无法详述),除非保守地假定在无粘结或体外束中忽略应力变化。对于使用极限状态,可以简单假定无粘结和钢束没有应力变化,因为小的偏转将应力变化降低到很小。
FIB打算制作专门针对无粘结和体外束的文件。鉴于此,本节仅重申在极限状态下无粘结和体外束不能作为灌浆钢束来进行分析的观点。(而具体内容不做陈述)
绝对清楚的是,体内预应力和体外预应力都可以成为一个很好的解决方案,前提是设计遵循预应力的基本原理,并且结构施工质量可以保证耐久性。
虽然它可能被认为是一个构造细节,但必须强调的是,逐跨施工的桥梁中将所有体外束连接起来是危险的:无论出于何种原因的“后施工”跨度破坏,都会产生所有“前施工”跨度的逐渐崩溃。虽然在海湾战争期间,当其中一个跨度被炸弹炸毁(水泥浆堵塞了一个支承上的“后施工”锚块)时,这种钢束布置没有导致Bubiyan桥中的高架桥逐渐坍塌。但这种现象另一座Bubiyan桥上发生了,就是南非的Injaka高架桥,这个桥梁在顶推过程中由于导梁和箱梁之间的连接失效后导致逐跨连续倒塌。
【南非Injaka顶推施工事故:
1998年7月6日,位于普马兰加的因加卡大桥坍塌,造成14人死亡(包括该桥的设计者Marelize Gouws女士),19人受伤。他们大多数人都站顶推桥面上。该工程的业主是水利和林业部。业主委托VKE咨询工程师设计这座桥,横跨博斯博克兰附近的恩格瓦里坦尼河(Ngwaritsane River)。承建商Concor Holdings (Pty)有限公司获委任,根据VKE提供的设计资料设计临时工程,并建造有关建筑物。
该桥为七跨连续结构,总长度为300米,采用顶推法施工。钢导梁被连接到第一段的前端,它的作用是降低悬臂梁的弯矩、相应的剪力和顶推过程中的支座反力。为了在顶推过程中使桥梁能够在支架上滑动,结合使用了临时滑动支柱与永久支座。经过4年的调查,该桥倒塌调查终于在2002年5月中旬公布。
调查的目的有两方面:
确定事故责任
为今后预防类似灾害积累经验。
Adv Hans fabicius和他的法律团队发现,咨询工程师和承包商双方在许多方面存在疏忽。
崩溃的原因有一长串缺点,可归纳如下:
缺乏称职的人员和监督
钢导梁结构不够坚固(连接)
错误的临时工程滑轨
临时支座放置错误
不准确置入临时支座板
主梁设计没有足够的安全系数
如果采用正常的设计和项目管理原则,上述情况是可以避免的。
桥面出现了裂缝,作为出问题的警告信号,但没有人把它们当回事。第一类裂纹是Mr Khanyile (Concor支座板放置)观察到的,靠近箱角的纵向裂纹。这些都是拉伸裂缝,这表明西侧已经失效了很长一段时间。Concor的De Sa先生和Jordao先生看到了其他横向裂缝。这些都是在他到达现场的头几天报告的。
VKE的比肖夫先生意识到裂缝是一个严重的问题,它们的大小和位置表明了问题的严重性。他做了一些计算,认为这是合理正确的。然后,发出指令,让顶推继续进行。在发现这种损坏之后,一个合理的承包商是不会着手进行主梁顶推工作的,不管工程师在那个阶段可能批准了什么,也可能没有批准什么。
有许多警告迹象,如果有经验丰富的工作人员和适当的控制和警报,大桥的倒塌本来是可以避免的。
该桥倒塌的事件是桥面底板被2号墩西侧一个或多个支座穿通时发生,一旦发生这种情况,整个桥梁的倒塌是不可避免的,当然,结构其他部分可能存在其他缺陷,包括强度不足的钢导梁。底板被贯穿的主要原因是将临时支座直接放在底板下,而不是放置在最有利的腹板位置。为什么不能向承包商提供临时支座的确切尺寸和位置仍然是一个谜,如果不是通过图纸,那么至少是通过明确规定的项目规范。


】
必须强调的是,预应力筋在施工阶段通常不会灌浆,因此必须在考虑无粘结的情况下,对许多桥梁的结构安全性进行分析。实际上,当体外束发生意外负荷或动作时,这些钢束来不及产生应力变化。如果设计师不清楚这种情况,它可能导致失败。就像在施工过程中出现悬浇梁破坏——一个预制节段梁,由于没有在接头处加固,当悬臂梁中的预应力和开启故障的接头没有适当地平衡载荷时,其悬臂部分在中跨处断裂。
最后。必须明确指出,预应力混凝土桥梁必须具有延展性,而预应力不能单独产生延性,必须进行适当配筋加强以避免整体和局部的脆性破坏。
预制节段拼装的桥梁当然也可以具备延展性。当接缝在极限状态下张开时,压应力集中到两个板中的一个,特别是在相应的节点处(图7.9)。已经验证,在剪切力大的支撑附近出现大的接缝开口是非常危险的。但是在分项载荷下,接缝一般可以在跨中张开。在任何情况下,都必须在张开接头两侧的受压区域(主要在相应节点)中进行配筋加强,以避免压缩构件的局部裂缝和相应的破坏(图7.10和7.11)。

图7-9 极限状态下连续梁桥跨中加载时张开接缝分布

图7-10 跨中处接缝配筋保证局部延性

图7-11 临近支座处接配筋保证局部延性
未来(计划)文件中的一个特殊章节将专门用于预制节段梁的设计和剪力键的布置,以保证必要的安全性和延展性。
混凝土结构的耐久性主要取决于材料的质量,最重要的是混凝土的质量。混凝土越紧实,越耐用。高性能混凝土的最新发展是耐久性方面的重大进步,特别是当混凝土强度达到或高于80MPa时。回顾一些优秀的工程师(如Freyssinet)的耐用结构,可以注意到它们是用当时特别高强度的混凝土制成的。
另一个重要的耐久性因素是钢筋的保护层,其厚度必须足以防止钢筋腐蚀并能防止锈蚀引起的混凝土保护层破坏。当然,保护层必须与主体结构混凝土相结合,这使得混凝土保护层能更有效地保护钢筋。
对于预应力混凝土结构的耐久性,关键问题是预应力筋的防腐。第一个要点是预应力钢的选择。工程师必须杜绝使用极易腐蚀的钢丝、钢绞线和钢筋。好的防腐性能比强度高和价格便宜要得到更优先的考虑。第二点是管道和水泥浆的防腐效率:水泥浆(或替代它的产品)必须方便设计,而且其化学成分本身没有腐蚀性并且要有利于钢筋的防腐;而且要有良好的流动性,以避免空隙、离析和漏浆。最后,腐蚀防护系统必须由合格的代理商按照现有技术进行施工,并能受到严格的质量控制。
预应力混凝土结构的质量直接取决于预应力和水泥浆的质量以及安装人员的专业能力。没有设计规范可以避免这些方面的问题,或者对其进行补偿。
设计对耐久性的影响不是很大,但不容忽视。在设计过程中,预应力的效应往往被低估了。设计通过引入纵向和横向预应力,用来消除在永久和频繁载荷下的拉伸应力和裂缝,特别是在冬季使用除冰盐或其他侵蚀性环境中的区域,结构耐久性得到了提高。
随着规范的不断进步,规范变得越来越复杂,涵盖了越来越多的细节以至于预应力基本原理反而被忽略。工程师经常失去了对设计的把控能力,过分依赖于有限元分析。再加上规范构造的(保守)要求,设计时往往出现很高的配筋要求。当某些区域的配筋率达到过高时会产生一些施工问题,这在(混凝土结构)与钢、组合结构的竞争中也往往是一个显著的缺点。
清楚地理解结构的力学行为和传力路径是良好设计的必要条件,这可以通过例如拉压杆理论构建的简单或更复杂的模型来帮助分析。
工程师必须掌握和控制他们的设计,并清楚地了解预应力钢束和普通钢筋放置在混凝土结构中的目的,以及控制它们产生的力。
总之,设计师必须清楚地组织结构中的力流,并使用预应力来平衡载荷,尤其是平衡载荷,以实现高效耐用的结构。
预应力的先驱们清楚地掌控了他们的设计,能够按照自己的意愿控制荷载。建筑科学的发展具有很大的复杂性,如公众和当局的需求、降低成本的压力等。计算机给出的很多意外结果以及规范的复杂化使得结构设计变得更加困难。但是,现代设计师面临的挑战是开发简单有效的设计,控制传力路径,并在更复杂的情况下控制变形、裂缝和耐久性。
内容源于网络,旨在分享,如有侵权,请联系删除
相关资料推荐:
预应力混凝土的基本原理
https://ziliao.co188.com/p63396724.html
知识点: 预应力基本原理
0人已收藏
0人已打赏
免费3人已点赞
分享
桥梁工程
返回版块19.44 万条内容 · 655 人订阅
阅读下一篇
铁路桥涵极限状态法设计规范之分项系数刍议1 新规范在设计方法上的巨大进步 在经历了20年左右的征求意见、等待、争议和众多同仁的不懈努力之后,《铁路桥涵极限状态法设计规范》(以下简称新规范)终于要在今年六月开始执行了。无论还有多少争议和不足,新规范都代表铁路桥涵设计方法上的巨大进步,都是一个里程碑。纵观世界各国的桥涵设计规范,绝大多数都早已采用极限状态法,这是设计规范向概率方法发展的必由之路。
回帖成功
经验值 +10
全部回复(0 )
只看楼主 我来说两句抢沙发