第十章:预应力混凝土结构
10.3张拉控制应力和预应力损失
张拉控制应力 σcon
张拉控制应力是指张拉预应力钢筋时允许的最大张拉应力,其值为张拉设备(如千斤顶油压表)所控制的总的张拉力除以预应力钢筋面积得到的应力值。
从充分发挥预应力优点的角度考虑,张拉控制应力宜尽可能地定得高一些,σcon定得高,形成的有效预压应力高,构件的抗裂性能好,且可以节约钢材。但是张拉控制应力不是越高越好,它的取值主要根据构件的抗裂要求而定。如果张拉应力过高,会带来以下问题:
①σcon越高,构件的开裂荷载与极限荷载越接近,使构件在破坏前无明显预兆,构件的延性较差。
②在施工阶段会使构件的某些部位受到拉力甚至开裂,对后张法构件有可能造成端部混凝土局部受压破坏。
③有时为了减少预应力损失,需对钢筋进行超张拉,由于钢材材质的不均匀,可能使个别钢筋的应力超过它的实际屈服强度,而使钢筋产生较大塑性变形或脆断,使施加的预应力达不到预期效果。
④增加预应力钢筋的应力松弛损失。
⑤构件反拱值可能过大。
⑥对张拉设备、机具和锚具等提出更高的要求,经济效益不好。
σcon也不能定得过低,它应有下限值。否则预应力钢筋在经历各种预应力损失后,对混凝土产生的预压应力过小,达不到预期的抗裂效果。
《规范》规定了张拉控制应力允许值
| 项次 |
钢筋种类 |
张拉方法 |
| 先张法 |
后张法 |
| 1 |
消除应力钢丝 |
0.75fptk |
0.75fptk |
| 2 |
热处理钢筋 |
0.70fptk |
0.65fptk |
fptk——预应力钢筋强度标准值。
张拉控制应力大小的确定与预应力钢筋的品种和施加预应力的方法有关。
冷拉热轧钢筋塑性较好,有明显的流幅,以屈服强度作为标准值,故σcon定得高,冷拔低碳钢丝、钢绞线、热处理钢筋属于无明显流幅的钢筋,塑性差,且以极限抗拉强度作为标准值,故σcon定得低。
先张法构件的σcon值适当高于后张法构件,原因在于先张法的张拉力是由台座承受,预应力钢筋受到实足的张拉力,当放松钢筋时,混凝土受到压缩,钢筋随之缩短,从而使预应力钢筋中的应力有所降低,而后张法的张拉力是由构件承受,构件受压后立即缩短,所以张拉设备所指示的控制应力是已扣除混凝土弹性压缩后的钢筋应力,为了使两种方法所得预应力保持在相同水平,故后张法的σcon应适当低于先张法。
预应力损失及其组合
预应力损失的组成及减少预应力损失的措施
钢筋的张拉控制应力,从开始张拉至构件使用;由于张拉工艺和材料特性等原因将不断降低,这种预应力降低的现象称为预应力损失。预应力损失包括以下6项:
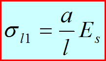
1)锚具变形和钢筋内缩引起的预应力损失σl1
当为直线型预应力钢筋时

a——张拉端锚具变形和钢筋回缩值;
l——张拉端至锚固端之间的距离。
当为曲线型预应力钢筋时,由于钢筋回缩受到曲线型孔道反向摩擦力的影响,σl1要降低,而且构件各截面所产生的损失值不尽相同,离张拉端越远,其值越小。至离张拉端某一距离,预应力损失σl1降为零,此距离为反向摩擦影响长度。
减少此项损失的措施有:
①选择变形小或预应力钢筋内缩小的锚具,尽量减少垫板数;
②对先张法构件,选择长台座。
2)预应力钢筋与孔道壁之间摩擦引起的预应力损失 σl2



k——考虑孔道局部偏差对摩擦影响的系数:
x——张拉端至计算截面的孔道长度,可近似取该孔道在纵轴上的投影长度,
μ——预应力钢筋与孔道壁的摩擦系数,
θ——从张拉端至计算截面曲线型孔道部分切线的夹角(以弧度计)。
减少该项损失,可采取以下措施:
①对较长的构件可在两端进行张拉;
②采用超张拉,张拉程序可采用:


当第一次张拉至1.1σcon时,预应力钢筋应力沿EHD分布,当张拉应力降至0.85σcon,由于钢筋回缩受到孔道反向摩擦力的影响,预应力沿FGHD分布,当再张拉至σcon时,钢筋应力沿CFGHD分布,可见,超张拉钢筋中的应力比一次张拉至σcon的应力分布均匀,预应力损失要小一些。
3)混凝土加热养护时,受张拉的钢筋与承受拉力的设备之间温差引起的损失 σl3
为了缩短先张法构件的生产周期,混凝土常采用蒸汽养护办法。升温时,新浇的混凝土尚未结硬,预应力筋与台座之间的温差△t使钢筋受热自由伸长,但两端的台座是固定不动的,即距离保持不变,于是钢筋就松了,钢筋的应力降低;降温时,预应力钢筋与混凝土已黏结成整体,加上两者的温度线膨胀系数相近,二者能够同步回缩,放松钢筋时因温度上升钢筋伸长的部分已不能回缩,因而产生了温差损失。仅先张法构件有该项损失。

减少此项损失的措施有:
①采用二次升温养护。先在常温下养护至混凝土强度等级达到C7.5~C10,再逐渐升温至规定的养护温度,这时可认为钢筋与混凝土已结成整体,能够一起胀缩而不引起预应力损失;
②在钢模上张拉预应力钢筋。由于钢模和构件一起加热养护,升温时两者温度相同,可不考虑此项损失。
4)钢筋应力松弛引起的预应力损失σl4
钢筋的应力松弛是指钢筋在高应力作用下及钢筋长度不变条件下,其应力随时间增长而降低的现象。
钢筋应力松弛有以下特点:
①应力松弛与时间有关,开始快,以后慢;
②应力松弛与钢材品种有关。冷拉钢筋、热处理钢筋的应力松弛损失比碳素钢丝、冷拔低碳钢丝、钢绞线要小;
③张拉控制应力σcon高,应力松弛大。
采用超张拉可使应力松弛损失有所降低。超张拉程序为:

因为在较高应力下持荷两分钟所产生的松弛损失与在较低应力下经过较长时间才能完成的松弛损失大体相当,所以经过超张拉后再张拉至σcon时,一部分松弛损失已完成。
5)混凝土的收缩徐变引起的预应力损失σl5
混凝土结硬时产生体积收缩,在预压力作用作用下,混凝土会发生徐变,这都会使构件缩短,构件中的预应力钢筋跟着回缩,造成预应力损失
先张法构件


后张法构件


σpc, σpc′——分别为完成第一批预应力损失后受拉区、受压区预应力钢筋合 力点处混凝土法向压应力;
fcu′——施加预应力时混凝土的实际立方体抗压强度。一般fcu′不等于构件混凝土的立方体强度fcu ,但要求 fcu≥0.75 fcu′;
Ap ,Ap′——分别为受拉区和受压区预应力钢筋截面面积,对称配筋的构件,取ρ,ρ′,此时配筋率应按钢筋截面面积的一半进行计算;
A0 ,An′——分别为混凝土换算截面积、净截面面积。
后张法构件收缩徐变损失比先张法构件小,原因是后张法构件在施加预应力时,混凝土的收缩已完成一部分。以上公式适用于一般相对湿度环境,高湿度环境下,σl5,σl5′应降低,反之则增加。
减少此项损失的措施有:
①采用高标号水泥,减少水泥用量,降低水灰比;
②采用级配良好的骨料,加强振捣,提高混凝土的密实性;
③加强养护,以减少混凝土的收缩,
④控制混凝土应力σpc,要求 σpc≤0.5fcu`,以防止发生非线性徐变。
6)用螺旋式预应力钢筋作配筋的环形构件由于混凝土的局部挤压引起的预应力损失σl6
仅后张法有这项损失。当D≤3m,σl6=30MPa,当D>3m,不考虑该项损失。此处D为环形构件的直径。
(2)预应力损失值的组合
为了计算方便,《规范》把预应力损失分为两批,混凝土受预压前产生的预应力损失为第一批预应力损失σlⅠ,而混凝土受预压后产生的预应力损失为第二批预应力损失σlⅡ 。

内容源于网络,旨在分享,如有侵权,请联系删除
相关资料推荐:
https://ziliao.co188.com/p63243190.html
知识点:张拉控制应力和预应力损失
全部回复(1 )
只看楼主 我来说两句 抢板凳看一下。。增加下这方面的知识。
回复 举报