土木在线论坛 \ 道路桥梁 \ 道路工程 \ 钢筋和混凝土材料的基本性能

钢筋和混凝土材料的基本性能

发布于:2022-09-07 15:17:07 来自:道路桥梁/道路工程 [复制转发]

看图识钢筋和混凝土

图片

图1 盘圆钢筋   

图片

图2 带肋钢筋

图片

图3 混凝土施工现场

图片

图4 钢筋混凝土梁的图纸表达


01

钢筋的种类和级别

我国常用的钢筋(钢丝)有热轧钢筋、中强度预应力钢丝、清除应力钢丝、钢绞线和预应力螺纹钢筋等。其中热轧钢筋按外形又分为光圆钢筋和变形钢筋;按强度高低分为HPB300、HRB400、HRBF400、RRB400、HRB500、HRBF500。

图片

图5 热轧钢筋的外形

钢筋混凝土结构中的纵向受力钢筋宜采用HRB400、HRB500、HRBF400、HRBF500钢筋;也可采用HPB300和RRB400钢筋,其中RRB400级钢筋的可焊性、机械连接性能及施工适应性降低,一般可用于对延性及加工性能要求不高的构件中,如基础、大体积混凝土以及楼板、墙体等,不宜用作重要部位的受力钢筋,不应用于直接承受疲劳荷载的构件。

表1  热轧钢筋符号

图片

混凝土结构中使用的钢材,按化学成分可分为碳素钢和普通低合金钢。根据钢材中含碳量的多少,碳素钢通常可分为低碳钢(含碳量少于0.25%)、中碳钢(含碳量0.25%~0.6%)和高碳钢(含碳量0.6%~1.4%)。钢筋中碳的含量增加,强度就随之提高,但塑性和可焊性降低。

《混凝土结构设计规范》规定,用于钢筋混凝土结构和预应力混凝土结构中的普通钢筋,可采用热轧钢筋;用于预应力混凝土结构中的预应力筋,可采用预应力钢丝、钢绞线和预应力螺纹钢筋。

图片

图6 多股钢绞线


02

钢筋的力学性能

钢筋混凝土结构所用的钢筋,按其拉伸试验所得到的应力-应变曲线性质的不同,分为有明显屈服点的钢筋(如热轧钢筋,也称为软钢)和无明显屈服点的钢筋(如高强度钢丝、预应力螺纹钢筋,也称为硬钢)两大类。

有明显屈服点的钢筋

有明显屈服点的钢筋拉伸时的典型应力-应变曲线见图7,其拉伸性能分为弹性阶段、屈服阶段、强化阶段和颈缩阶段四个阶段。反映钢筋力学性能的指标主要有屈服强度、延伸率和屈强比。屈服强度是钢筋强度设计时的主要依据,这是因为构件中的钢筋应力达到屈服点后,钢筋将产生很大的塑性变形,即使卸去荷载也不能恢复,这就会使构件产生很大的裂缝和变形,以致不能使用。

软钢有两个强度指标:一是屈服强度,它是钢筋混凝土构件设计时钢筋强度取值的依据。因为钢筋屈服以后产生了较大的塑性变形,这将使构件变形和裂缝宽度大大增加以致影响正常使用,故设计中采用屈服强度作为钢筋的强度限值。另一个强度指标是极限强度,一般用作钢筋的实际破坏强度。

图片

图7 有明显屈服点钢筋的应力-应变关系

无明显屈服点的钢筋

无明显屈服点的钢筋拉伸时,其应力-应变曲线见图8。在实用上通常取相应于残余应变为0.2%时的应力作为假定的屈服点(也称条件屈服点),用σ0.2表示。对于预应力钢丝、钢绞线和热处理钢筋,规范规定取条件屈服强度为0.85σb

图片

图8 无明显屈服点钢筋的应力-应变关系


03

钢筋的弹性模量

钢筋的弹性模量是根据拉伸试验中测得的弹性阶段的应力-应变曲线确定的。弹性模量E=σ/ε。由于钢筋在弹性阶段的受压性能与受拉性能类同,所以同一种钢筋的受压弹性模量与受拉时相同。各类钢筋的弹性模量见表。

表2 钢筋的弹性模量(×10^5N/mm?

图片


04

钢筋的计算指标

钢筋的强度标准值

结构所用材料的性能均具有变异性,例如按同一标准生产的钢材,不同时生产的各批钢筋的强度并不完全相同,即使是用同一炉钢轧成的钢筋,其强度也有差异。因此为保证结构设计时材料强度取值的可靠性,一般对同一等级的材料,取一定保证率的强度值作为该等级的标准值。《混凝土结构设计规范》规定,材料强度的标准值应具有不少于95%的保证率。热轧钢筋的强度标准值根据屈服强度确定,对无明显屈服点的钢筋强度标准值根据极限抗拉强度确定。普通钢筋、预应力钢筋的强度标准值见下表。

表3 普通钢筋强度标准值(N/mm?

图片

表4 预应力钢筋强度标准值(N/mm?

图片

钢筋的强度设计值

钢筋混凝土结构按承载能力设计计算时,钢筋应采用强度设计值,强度设计值为强度标准值除以材料的分项系数γs,按不同钢材种类,取值范围为γs=1.10~1.20。钢筋的强度设计值见下表。

表5 普通钢筋强度设计值(N/mm?

图片

表6 预应力钢筋强度设计值(N/mm?

图片


05

钢筋的变形性能

钢筋除了有上述的两个强度指标(屈服强度和极限强度)外,还有两个塑性指标:延伸率(或总伸长率)和冷弯性能。这两个指标反映了钢筋的塑性性能和变形能力。

延伸率

钢筋的延伸率是指钢筋试件上标距为10d或5d(d为钢筋试件直径)范围内的极限伸长率,记为δ10或δ5。钢筋的延伸率越大,表明钢筋的塑性和变形能力越好。钢筋的变形能力一般用延性来表示,钢筋应力-应变曲线上屈服点至极限应变之间的应变值反映了钢筋延性的大小。

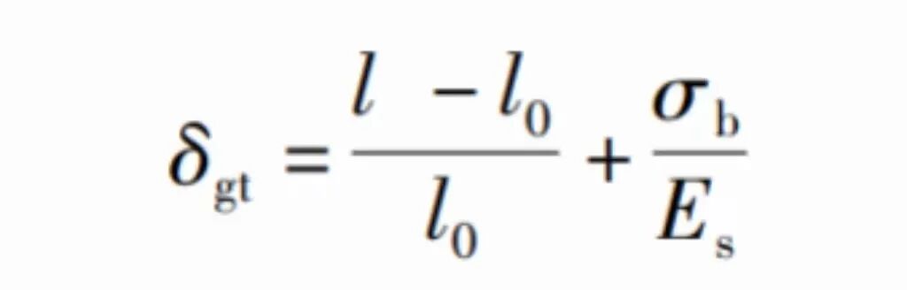
延伸率仅能反映钢筋拉断时残余变形的大小,其中还包含了断口颈缩区域的局部变形。近年来国际上已采用钢筋最大力下的总伸长率(均匀伸长率)δgt来表示钢筋的变形能力。

钢筋在达到最大应力δb时的变形包括塑性变形和弹性变形两部分,故最大力下的总伸长率δgt可表示如下:

图片
图片

图9 钢筋最大力下的总伸长率

钢筋最大力下的总伸长率δgt既能反映钢筋的塑性变形,又能反映钢筋的弹性变形,量测结果原始标距L0的影响较小,也不产生人为误差。因此《混凝土结构设计规范》采用δgt评定钢筋的塑性性能,并要求各种钢筋最大力下的总伸长率δgt值不应小于下表所规定的数值。

表7 普通钢筋及预应力钢筋在最大力下的总伸长率限值

图片
图片

图10 最大力下的总伸长率量测方法

冷弯性能

为了使钢筋在使用时不会脆断,加工时不致断裂,还要求钢筋具有一定的冷弯性能。冷弯是在常温下将钢筋围绕某个规定直径D(D规定为1d,2d,3d等)的辊轴弯曲一定的角度(90°或180°),如图所示。弯曲后的钢筋应无裂纹、鳞落或断裂现象。

图片

图11 钢筋的冷弯


06

钢筋的疲劳性能

钢筋在重复、周期动荷载作用下,经过一定次数后,钢筋发生脆性的突然断裂破坏,而不是单调加载时的塑性破坏,这种破坏称为疲劳破坏。此时钢筋的最大应力低于静荷载作用下钢筋的极限强度。钢筋的疲劳强度是指在某一规定应力变化幅度内,经受一定次数循环荷载后,才发生破坏的最大应力值。一般认为,在外力作用下,钢筋疲劳断裂是由钢筋内部的缺陷造成的,这些缺陷一方面引起局部的应力集中,另一方面由重复荷载的作用,使已产生的微裂纹时而压合,时而张开,使裂痕逐渐扩展,导致最终断裂。

影响钢筋疲劳强度的因素很多,如应力变化幅度、最小应力值、钢筋外表面的几何形状、钢筋直径、钢筋种类、轧制工艺和试验方法等,其中最主要的为钢筋的疲劳应力幅。


07

钢筋的冷加工

为了节约钢材和扩大钢筋的应用范围,常常对热轧钢筋进行冷拉、冷拔、冷轧和冷轧扭等机械加工。钢筋经冷加工后,其力学性能发生了较大变化。

钢筋的冷拉

冷拉是在常温下用机械方法将有明显流幅的钢筋拉到超过屈服强度即强化阶段中的某一应力值,如图12中的K点,然后卸载至零。由于K点的应力已超过弹性极限,故卸载至应力为零时应变并不等于零,其残余应变为OO′。若卸载后立即重新加载,则应力-应变曲线将沿着O′KDE变化,K点为新的屈服点(大致等于冷拉应力值),表明钢筋经冷拉后,屈服强度提高,但塑性降低。这种现象称为冷拉强化。

图片

图12 冷拉钢筋的应力-应变曲线

钢筋在冷拉后,未经时效前,一般没有明显的屈服台阶,而经过停放或加热后进一步提高了屈服强度恢复了屈服台阶,这种现象称为时效硬化。

冷拉只能提高钢筋的抗拉屈服强度,其抗压屈服强度将降低。因此在设计中冷拉钢筋不宜作受压钢筋使用。另外,在焊接时的高温作用下,冷拉钢筋的冷拉强化效应将完全消失,因此,钢筋应先焊接,然后进行冷拉。

钢筋的冷拔

钢筋纵向经拉伸长度拔长,横向经挤压直径减小,使钢筋纵、横向都产生塑性变形。经过几次冷拔的钢丝,强度大为提高,但塑性降低。冷拔可同时提高钢筋的抗拉和抗压强度。


08

混凝土结构对钢筋性能的要求

(1)适当的强度和屈强比。

屈服强度与极限抗拉强度之比称为屈强比,它代表了钢筋的强度储备,也一定程度上代表了结构的强度储备。屈强比小,则结构的强度储备大,但比值太小则钢筋强度的有效利用率低,所以钢筋应具有适当的屈强比。

(2)足够的塑性。

在工程设计中,要求混凝土结构承载能力极限状态为具有明显预兆的塑性破坏,避免脆性破坏,抗震结构则要求具有足够的延性,这就要求其中的钢筋具有足够的塑性。另外,在施工时钢筋要弯转成型,因而应具有一定的冷弯性能。

(3)可焊性。

要求钢筋具备良好的焊接性能,在焊接后产生裂纹及过大的变形,以保证焊接接头性能良好。我国生产的热轧钢筋可焊,而高强钢丝、钢绞线不可焊。

(4)耐久性和耐火性。

热轧钢筋的耐火性能最好,冷拉钢筋其次,预应力筋最差。设计时应注意设置必要的混凝土保护层厚度以满足对构件耐火极限的要求。

(5)与混凝土具有良好的粘结。

粘结力是钢筋与混凝土得以共同工作得基础,其中钢筋凹凸不平得表面与混凝土间得机械咬合力是粘结力得主要部分,所以变形钢筋与混凝土的粘结性能最好,设计中优先选用变形钢筋。

另外,在寒冷地区要求钢筋具备抗低温性能,以防止钢筋低温冷脆而致破坏。



相关资料推荐:

大学课件第二章 钢筋和混凝土的材料性能

https://ziliao.co188.com/p62392403.html



知识点:钢筋和混凝土材料的基本性能


  • daghy
    daghy 沙发

    看一下。。多了解下这方面的知识

    2022-09-07 16:12:07

    回复 举报
    赞同0
这个家伙什么也没有留下。。。

道路工程

返回版块

15.09 万条内容 · 689 人订阅

猜你喜欢

阅读下一篇

混凝土结构的一般概述

混凝土结构的基本概念

回帖成功

经验值 +10