1
序 言
在世界范围内,大跨度桥梁的修建越来越多(图1),而大跨度桥梁由于其结构的纤柔,几何非线性效应较为明显,因而在设计与研究工作中,桥梁结构几何非线性分析也会越来越多地得到应用。在本系列文章说桥(10)中曾简要地介绍了桥梁几何非线性的概念和原理,但由于该问题的复杂性,本文想再稍微深入一点解释其中的一些概念和方法。当然解释的方式还是秉承本系列文章的一贯风格,即尽量简单、通俗、易懂。
墨西拿大桥方案(主跨3300m悬索桥)
苏通大桥(主跨1088m斜拉桥)
图1 纤柔的大跨度桥梁结构(图片引自互联网)
2
几何非线性问题的描述方法
在读有关几何非线性的文献时,常常看到“拉格朗日描述”和 “欧拉描述”这样的提法,有些教科书里直接采用数学表达式来对此进行介绍,理解起来似乎要花一点力气才行。在这里我想先从概念上来解释这个问题,然后再给出数学表达式。
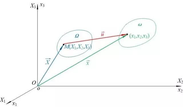
在进行几何非线性分析时,要对分析的对象进行数学描述,该对象可以是固体(如桥梁结构)或者流体(如空气或水),这些固体或流体可以看作由众多的质点构成。由于考虑几何非线性效应,因此分析时必须考虑由于固体或流体的运动(位移)而引起的其形状、尺度及位置的变化,并且这种变化历程显然与时间有关。也就是说,在分析中,构成固体或流体的质点由于处在运动中,因此其位置不仅是空间坐标的函数,而且还是时间的函数。这就要求我们在对分析对象进行数学描述时,要能够描述固体或流体的任一质点M在任一时刻t运动到了空间的什么位置x。注意,这里有三个要素需要通过数学方法来表达,即质点M的表达、时间t的表达以及空间位置x的表达。其中时间t比较好办,就用一个时间变量t表达即可。而质点M和位置x可以用空间坐标表达,并且最好用两套固定坐标系分别表达(图2),一套固定坐标系X(X1,X2,X3)用于表达固体或流体的任一质点M在t=0时刻的位置,即初始位置M=M(XJ,J=1,2,3),用以区分固体或流体的不同质点,并称该坐标系为物质坐标系或者拉格朗日坐标系。另一套固定坐标系x(x1,x2,x3)用于表达空间中的任一位置x,即x=(xi,i=1,2,3),用以区分空间中不同的位置,并称该坐标系为空间坐标系或欧拉坐标系。为了方便,一般可取两套坐标系完全重合(如图2所示),但要注意它们各自所表达的内容是不同的,一个表达物体的质点(有物质),一个表达空间中的位置(与有无物质无关,此处的空间指牛顿力学中“绝对空间”)。
在描述质点运动时,如果认为质点M=M(XJ,J=1,2,3)在t时刻运动到了x=(xi,i=1,2,3)位置,即采用如下(张量形式)的数学描述:
xi=xi(XJ,t),i,J=1,2,3 (1)
则由于是以拉格朗日坐标XJ作为自变量,所以叫作拉格朗日描述。
如果换个角度来看问题,认为在t时刻,占据空间位置x=(xi,i=1,2,3)的是质点M=M(XJ,J=1,2,3),即采用如下数学描述:
XI=XI(xj,t),I,j=1,2,3 (2)
则由于是以欧拉坐标xj作为自变量,所以叫作欧拉描述。
显然,在理论上,上述两种描述是等价的并且可以相互变换的,任何一种描述都可以用来分析几何非线性问题,只不过对于不同的问题采用不同的描述其方便程度不同而已。一般对于固体力学问题,采用拉格朗日描述较为方便,而对于流体力学问题,采用欧拉描述要方便一些。
图2 拉格朗日坐标与欧拉坐标
3
初始构形、参考构形及现时构形
上面的叙述中,为了便于说明,假定拉格朗日坐标描述t=0时刻的物质质点。实际上,拉格朗日坐标不一定只用来描述t=0时刻的物质质点,它可以用来描述t时刻以前的任一时刻的质点。这涉及到另外三个名词的定义,即初始构形、参考构形及现时构形。
如上所述,分析几何非线性问题时,把分析的对象(固体或流体)看作众多质点的集合,它们要占据空间中的区域,该区域被称之为构形。由于这些质点处于运动之中,因此在不同的时刻,分析的对象所占据的空间区域或者说其构形是不同的。初始构形是指分析的对象在t=0时刻所占据的空间区域,用Ω0表示;现时构形是分析的对象在当前时刻t所占据的区域,用ω表示;而参考构形是指分析的对象在t时刻以前的某一时刻所占据的区域(当然也包括t=0时刻的初始构形),用Ω表示。参考构形用来作为分析现时构形的参考,也因此而得名。拉格朗日坐标是用来描述参考构形的。图2中示出了参考构形和现时构形的关系,其中矢量X为质点M的参考坐标,矢量x为质点M的现时位置坐标,矢量u为质点M的位移。
4
非线性方程及其求解方法
采用有限元法进行桥梁结构分析时,若考虑几何非线性因素,则得到的结构方程组是非线性的,这种非线性是因为几何方程为非线性方程所导致的。
求解非线性方程组一般采用线性化方法,即把求解过程分解为许多步骤来进行,在每一步骤中,把非线性方程组当作线性方程组进行计算。这种分解可以是分为许多迭代步骤,每一迭代步按线性计算(称为迭代法,包括牛顿-拉普森法,修正牛顿-拉普森法,拟牛顿-拉普森法等);也可以是把求解的荷载或位移分为许多增量步,每一增量步按线性计算(称为增量法,包括欧拉-柯西法,修正欧拉-柯西法,半增量法等);也可以迭代法与增量法混合使用(称为混合法,包括欧拉-牛顿法,欧拉-修正牛顿法,欧拉-拟牛顿法,欧拉一次迭代法等)。混合法是在增量法的每一增量步内再进行迭代,是目前使用比较多的方法。
分步计算时,在某计算步(迭代步或增量步)内,非线性的单元增量刚度方程为如下形式
(3)
其中:
(4)
[ko]e是单元线弹性刚度矩阵。
[kσ]e是初应力刚度矩阵或称几何刚度矩阵,它与本计算步的单元位移增量{Δu}e无关,在本计算步内是线性的。但它与本计算步的初应力有关,即与之前的位移增量可能相关。

(5)
式中[BN]和[BN*]为非线性几何矩阵,与单元位移增量{Δu}e有关,因此[kl]e在本计算步内是非线性的,称为单元大位移刚度矩阵。
{p}e为单元节点力,{r}e为单元初应力节点力,与本计算步的初应力有关,即与之前的位移增量可能相关。
从方程(3)可以看出,由于[kl]e为非线性刚度矩阵,所以直接求解方程(3)单元刚度方程所组集而成的总体刚度方程比较困难。而由上面可知,目前求解非线性方程组一般采用线性化方法,所以,在实际求解非线性有限元方程组时,在每一迭代步和增量步内,不考虑大位移刚度矩阵[kl]e,因而使得每一步计算都是线性的。但由于每一步计算之后,会更新(不同的方法可能不完全相同)结构的构形、线性刚度矩阵、几何刚度矩阵以及初应力节点力向量,因此,整个求解过程还是非线性的,从而可以得到正确的非线性解。
5
非线性有限元的T.L法与U.L法
如上所述,对于桥梁结构等固体力学几何非线性问题,采用拉格朗日描述比较方便,即采用与参考构形相关的拉格朗日坐标XJ为自变量。在用有限元法分步求解该问题时,例如采用混合法求解时,如果采用初始构形作为参考构形,则称为全拉格朗日法(Total Lagrange),简称T.L法。如果采用现时构形的前一个相邻的构形(即t-Δt时刻)作为参考构形,则称为修正的拉格朗日法(Updated Lagrange),简称U.L法。
以上简要介绍了桥梁结构几何非线性分析中用到的一些概念和方法,希望能够对读者有所帮助,更多有关非线性有限元的知识请参考相关文献。
内容源于网络,如有侵权,请联系删除
相关资料推荐:
https://ziliao.co188.com/s37148716.html
知识点:桥梁结构几何非线性
0人已收藏
0人已打赏
免费3人已点赞
分享
桥梁工程
返回版块19.44 万条内容 · 655 人订阅
阅读下一篇
浅说桥梁结构几何非线性1. 概 述 本文秉承本系列文章的一贯风格,用比较浅显的方式来说明桥梁结构的几何非线性特性,而尽量避免严格而复杂的理论推导,旨在给读者一个直观的概念。至于具体的非线性分析方法,有大量的教科书和参考书可以学习,此处不作详细介绍。 2.非线性是个啥?
回帖成功
经验值 +10
全部回复(0 )
只看楼主 我来说两句抢沙发