
简支梁桥和非简支梁桥汽车荷载内力计算公式的表达形式完全相同,即


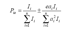
桥梁横断面,共有5片主梁,单位力P=1加载点距横断面中心的距离为e。某一主梁i的横向分布影响线竖坐标值为:


刚性横梁法没有考虑主梁截面的抗扭刚度的影响,计算的横向分布影响线略偏(偏安全),但随着距径的增大,活载比例下降,这种偏差也就更小。


在刚性横梁法的基础上,计入主梁截面的抗扭刚度,便是修正的刚性横梁法。横向分布影响线的计算公式为:

E-主梁材料的抗压弹性模量;
G-主梁材料的剪切模量,取G=0.4E;
IT-主梁的抗扭惯矩;
I- 主梁的抗弯惯矩。
修正的刚性横梁法适用条件与刚性横梁法相同。

设单位力P=1作用于连续梁第i跨的跨中,其跨中的挠度为ω,取与第i跨跨径相等的简支梁,令其跨中挠度亦为ω,这跨简称为“等代简支梁”。


以三跨变截面连续梁桥或连续刚构为例说明计算过程。











1. 实体矩形截面

2.由两个或多个实体矩形组成的非闭合截

3.空心板截面和单箱单室截面
附图3-a)为空心板截面,附图3-b)为单箱单室截面。这些截面的抗扭惯矩可以近似地采用薄壁闭合截面的理论公式进行计算:


4.圆管截面

5.单箱多室截面




相关资料推荐:
https://ziliao.co188.com/p48068553.html
知识点: 连续梁桥和连续刚构桥汽车荷载横向分布系数计算
0人已收藏
0人已打赏
免费2人已点赞
分享
桥梁工程
返回版块19.44 万条内容 · 654 人订阅
阅读下一篇
为什么装配式桥梁的横向分布系数的计算方法很多?美桥欣赏 纽约 Brooklyn Bridge 在问题探讨之前,首先介绍一下与“荷载横向分布”相关的背景资料。 桥梁是一个空间结构,在计算机前时代,如何使空间分析平面化,是各国桥梁学者研究的热点,尤其是自二十世纪三十年代以来,在处理这一问题的过程中形成了诸多流派,其力学模型大都是一种近似处理,也都存在着各自的缺点。
回帖成功
经验值 +10
全部回复(0 )
只看楼主 我来说两句抢沙发